
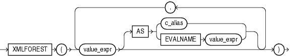
XMLForest converts each of its argument parameters to XML, and then returns an XML fragment that is the concatenation of these converted arguments.
If value_expr is a scalar expression, then you can omit the AS clause, and Oracle Database uses the column name as the element name.
If value_expr is an object type or collection, then the AS clause is mandatory, and Oracle uses the specified expression as the enclosing tag.
You can do this by specifying c_alias, which is a string literal, or by specifying EVALNAME value_expr. In the latter case, the value expression is evaluated and the result, which must be a string literal, is used as the identifier. The identifier does not have to be a column name or column reference. It cannot be an expression or null. It can be up to 4000 characters if the initialization parameter MAX_STRING_SIZE = STANDARD, and 32767 characters if MAX_STRING_SIZE = EXTENDED. See "Extended Data Types" for more information.
If value_expr is null, then no element is created for that value_expr.
The following example creates an Emp element for a subset of employees, with nested employee_id, last_name, and salary elements as the contents of Emp:
SELECT XMLELEMENT("Emp",
XMLFOREST(e.employee_id, e.last_name, e.salary))
"Emp Element"
FROM employees e WHERE employee_id = 204;
Emp Element
----------------------------------------------------------------
<Emp>
<EMPLOYEE_ID>204</EMPLOYEE_ID>
<LAST_NAME>Baer</LAST_NAME>
<SALARY>10000</SALARY>
</Emp>
Refer to the example for XMLCOLATTVAL to compare the output of these two functions.