10.11 ALTER DISKGROUP
Note:
This SQL statement is valid only if you are using Oracle ASM and you have started an Oracle ASM instance. You must issue this statement from within the Oracle ASM instance, not from a normal database instance. For information on starting an Oracle ASM instance, refer to Oracle Automatic Storage Management Administrator's Guide.
Purpose
The ALTER DISKGROUP statement lets you perform a number of operations on a disk group or on the disks in a disk group.
See Also:
-
CREATE DISKGROUP for information on creating disk groups
-
Oracle Automatic Storage Management Administrator's Guide for information on Oracle ASM and using disk groups to simplify database administration
Prerequisites
You must have an Oracle ASM instance started from which you issue this statement. The disk group to be modified must be mounted.
You can issue all ALTER DISKGROUP clauses if you have the SYSASM system privilege. You can issue specific clauses as follows:
-
The
SYSOPERprivilege permits the following subset of theALTERDISKGROUPoperations:diskgroup_availability,rebalance_diskgroup_clause,check_diskgroup_clause(without theREPAIRoption). -
If you are connected as
SYSDBA, you have limited privileges to use this statement. The following operations are always granted to users connected asSYSDBA:-
ALTERDISKGROUP...ADDDIRECTORY -
ALTERDISKGROUP...ADD/ALTER/DROPTEMPLATE(nonsystem templates only) -
ALTERDISKGROUP...ADDUSERGROUP -
SELECT -
SHOWPARAMETER
-
Table 10-1 shows additional privileges granted to users connected as SYSDBA under the conditions shown:
Table 10-1 Conditional Diskgroup Privileges for SYSDBA
| ALTER DISKGROUP Operation | Condition |
|---|---|
|
|
User must have read-write permission on the file. |
|
|
User must have read-write permission on the related file. |
|
|
User must have read-write permission on the related file. |
|
|
User must have read-write permission on the related file. |
|
|
Directory must contain only aliases and no files. User must have |
|
|
Directory must contain only aliases and no files. User must have |
|
|
User must be the owner of the user group. |
|
|
User must be the owner of the file. |
|
|
User must be the owner of the user group. |
|
|
User must be the owner of the user group. |
|
|
User must be the owner of the file. |
|
|
User must be the owner of the file and a member of the user group. |
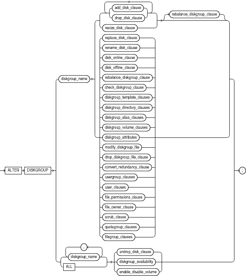
Syntax
alter_diskgroup::=
(add_disk_clause::=, drop_disk_clause::=, resize_disk_clause::=, replace_disk_clause::=, rename_disk_clause::=, disk_online_clause::=, disk_offline_clause::=, rebalance_diskgroup_clause::=, check_diskgroup_clause::=, diskgroup_template_clauses::=, diskgroup_directory_clauses::=, diskgroup_alias_clauses::=, diskgroup_volume_clauses::=, diskgroup_attributes::=, modify_diskgroup_file::=, drop_diskgroup_file_clause::=, convert_redundancy_clause::=, usergroup_clauses::=, user_clauses::=, file_permissions_clause::=, file_owner_clause::=, scrub_clause::=, quotagroup_clauses::=, filegroup_clauses::=, undrop_disk_clause::=, diskgroup_availability::=, enable_disable_volume::=)
drop_disk_clause::=
replace_disk_clause::=
rename_disk_clause::=
disk_online_clause::=
disk_offline_clause::=
timeout_clause::=
rebalance_diskgroup_clause::=
check_diskgroup_clause::=
diskgroup_template_clauses::=
qualified_template_clause::=
redundancy_clause::=
striping_clause::=
disk_region_clause::=
diskgroup_directory_clauses::=
diskgroup_alias_clauses::=
diskgroup_volume_clauses::=
add_volume_clause::=
(size_clause::=, redundancy_clause::=, disk_region_clause::=)
size_clause::=
modify_volume_clause::=
diskgroup_attributes::=
modify_diskgroup_file::=
drop_diskgroup_file_clause::=
convert_redundancy_clause::=
usergroup_clauses::=
user_clauses::=
file_permissions_clause::=
file_owner_clause::=
scrub_clause::=
quotagroup_clauses::=
filegroup_clauses::=
(add_filegroup_clause::=, modify_filegroup_clause::=, move_to_filegroup_clause::=, drop_filegroup_clause::=)
add_filegroup_clause::=
modify_filegroup_clause::=
move_to_filegroup_clause::=
drop_filegroup_clause::=
undrop_disk_clause::=
diskgroup_availability::=
enable_disable_volume::=
Semantics
diskgroup_name
Specify the name of the disk group you want to modify. To determine the names of existing disk groups, query the V$ASM_DISKGROUP dynamic performance view.
add_disk_clause
Use this clause to add one or more disks to the disk group and specify attributes for the newly added disk. Oracle ASM automatically rebalances the disk group as part of this operation.
You cannot use this clause to change the failure group of a disk. Instead you must drop the disk from the disk group and then add the disk back into the disk group as part of the new failure group.
To determine the names of the disks already in this disk group, query the V$ASM_DISK dynamic performance view.
QUORUM | REGULAR
The semantics of these keyword are the same as the semantics in a CREATE DISKGROUP statement. See QUORUM | REGULAR for more information on these keywords.
You cannot change this qualifier for an existing disk or disk group. Therefore, you cannot specify in this clause a keyword different from the keyword that was specified when the disk group was created.
See Also:
Oracle Automatic Storage Management Administrator's Guide for more information about the use of these keywords
Use this clause to assign the newly added disk to a failure group. If you omit this clause and you are adding the disk to a normal or high redundancy disk group, then Oracle Database automatically adds the newly added disk to its own failure group. The implicit name of the failure group is the same as the operating system independent disk name (see "NAME Clause").
You cannot specify this clause if you are creating an external redundancy disk group.
qualified_disk_clause
This clause has the same semantics in CREATE DISKGROUP and ALTER DISKGROUP statements. For complete information on this clause, refer to qualified_disk_clause in the documentation on CREATE DISKGROUP.
drop_disk_clause
Use this clause to drop one or more disks from the disk group.
DROP DISK
The DROP DISK clause lets you drop one or more disks from the disk group and automatically rebalance the disk group. When you drop a disk, Oracle ASM relocates all the data from the disk and clears the disk header so that it no longer is part of the disk group. The disk header is not cleared if you specify the FORCE keyword.
Specify disk_name as shown in the NAME column of the V$ASM_DISK dynamic performance view.
If a disk to be dropped is a quorum disk or belongs to a quorum failure group, then you must specify QUORUM in order to drop the disk. See QUORUM | REGULAR.
DROP DISKS IN FAILGROUP
The DROP DISKS IN FAILGROUP clause lets you drop all the disks in the specified failure group. The behavior is otherwise the same as that for the DROP DISK clause.
If the specified failure group is a quorum failure group, then you must specify the QUORUM keyword in order to drop the disks. See QUORUM | REGULAR.
FORCE | NOFORCE
These keywords let you specify when the disk is considered to be no longer part of the disk group. The default and recommended setting is NOFORCE.
-
When you specify
NOFORCE, Oracle ASM reallocates all of the extents of the disk to other disks and then expels the disk from the disk group and rebalances the disk group.Note:
DROPDISK...NOFORCEreturns control to the user before the disk can be safely reused or removed from the system. To ensure that the drop disk operation has completed, query theV$ASM_DISKview to verify thatHEADER_STATUShas the valueFORMER. Do not attempt to remove or reuse a disk ifSTATEhas the valueDROPPING. Query theV$ASM_OPERATIONview for approximate information on how long it will take to complete the rebalance resulting from dropping the disk.If you also specifyREBALANCE...WAIT(see rebalance_diskgroup_clause), then the statement will not return until the rebalance operation is complete and the disk has been cleared. However, you should always verify that theHEADER_STATUScolumn ofV$ASM_DISKisFORMER, because of the unlikely event the rebalance operations fails. -
When you specify
FORCE, Oracle Database expels the disk from the disk group immediately. It then reconstructs the data from the redundant copies on other disks, reallocates the data to other disks, and rebalances the disk group.The
FORCEclause can be useful, for example, if Oracle ASM can no longer read the disk to be dropped. However, it is more time consuming than aNOFORCEdrop, and it can leave portions of a file with reduced protection. You cannot specifyFORCEfor an external redundancy disk group at all, because in the absence of redundant data on the disk, Oracle ASM must read the data from the disk before it can be dropped.
The rebalance operation invoked when a disk is dropped is time consuming, whether or not you specify FORCE or NOFORCE. You can monitor the progress by querying the V$ASM_OPERATION dynamic performance view. Refer to rebalance_diskgroup_clause for more information on rebalance operations.
resize_disk_clause
Use this clause to specify a new size for every disk in a disk group. This clause lets you override the size returned by the operating system or the size you specified previously for the disks.
SIZE
Specify the new size in kilobytes, megabytes, gigabytes, or terabytes. You cannot specify a size greater than the capacity of the disk. If you specify a size smaller than the disk capacity, then you limit the amount of disk space Oracle ASM will use. If you omit this clause, then Oracle ASM attempts programatically to determine the size of the disks.
replace_disk_clause
Use this clause to replace one or more disks in the disk group. This clause allows you to replace disks with a single operation, which is more efficient than dropping and adding each disk.
For disk_name, specify the name of the disk you want to replace. This name is assigned to the replacement disk. You can view disk names by querying the NAME column of the V$ASM_DISK dynamic performance view.
For path_name, specify the full path name for the replacement disk.
FORCE
Specify FORCE if you want Oracle ASM to add the replacement disk to the disk group even if the replacement disk is already a member of a disk group.
Note:
Using FORCE in this way may destroy existing disk groups.
NOFORCE
Specify NOFORCE if you want Oracle ASM to return an error if the replacement disk is already a member of a disk group. NOFORCE is the default.
POWER
The POWER clause has the same semantics here as for a manual rebalancing of a disk group, except that the power value cannot be set to 0. See POWER.
WAIT | NOWAIT
The WAIT and NOWAIT keywords have the same semantics here as for a manual rebalancing of a disk group. See WAIT | NOWAIT.
rename_disk_clause
Use this clause to rename one or more disks in the disk group. The disk group must be in the MOUNT RESTRICTED state and all disks in the disk group must be online.
RENAME DISK
Specify this clause to rename one or more disks. For each disk, specify the old_disk_name and new_disk_name. If new_disk_name already exists, then this operation fails.
RENAME DISKS ALL
Specify this clause to rename all disks in the disk group to a name of the form diskgroupname_####, where #### is the disk number. Disk names that are already in the diskgroupname_#### format are not changed.
disk_online_clause
Use this clause to bring one or more disks online and rebalance the disk group.
ONLINE DISK
The ONLINE DISK clause lets you bring one or more specified disks online and rebalance the disk group.
Specify disk_name as shown in the NAME column of the V$ASM_DISK dynamic performance view.
The QUORUM and REGULAR keywords have the same semantics here as they have when adding a disk to a disk group. See QUORUM | REGULAR.
ONLINE DISKS IN FAILGROUP
The ONLINE DISKS IN FAILGROUP clause lets you bring all disks in the specified failure group online and rebalance the disk group.
If the specified failure group is a quorum failure group, then you must specify the QUORUM keyword in order to bring the disks online. See QUORUM | REGULAR.
ALL
The ALL clause lets you bring all disks in the disk group online and rebalance the disk group.
POWER
The POWER clause has the same semantics here as for a manual rebalancing of a disk group. See POWER
WAIT | NOWAIT
The WAIT and NOWAIT keywords have the same semantics here as for a manual rebalancing of a disk group. See WAIT | NOWAIT.
disk_offline_clause
Use the disk_offline_clause to take one or more disks offline. This clause fails if the redundancy level of the disk group would be violated by taking the specified disks offline.
OFFLINE DISK
The OFFLINE DISK clause lets you take one or more specified disks offline.
Specify disk_name as shown in the NAME column of the V$ASM_DISK dynamic performance view.
The QUORUM and REGULAR keywords have the same semantics here as they have when adding a disk to a disk group. See QUORUM | REGULAR.
OFFLINE DISKS IN FAILGROUP
The OFFLINE DISKS IN FAILGROUP clause lets you take all disks in the specified failure group offline.
If the specified failure group is a quorum failure group, then you must specify the QUORUM keyword in order to take the disks offline. See QUORUM | REGULAR.
timeout_clause
By default, Oracle ASM drops a disk shortly after it is taken offline. You can delay this operation by specifying the timeout_clause, which gives you the opportunity to repair the disk and bring it back online. You can specify the timeout value in units of minute or hour. If you omit the unit, then the default is hour.
You can change the timeout period by specifying this clause multiple times. Each time you specify it, Oracle ASM measures the time from the most recent previous disk_offline_clause while the disk group is mounted. To learn how much time remains before Oracle ASM will drop an offline disk, query the REPAIR_TIMER column of V$ASM_DISK.
This clause overrides any previous setting of the disk_repair_time attribute. Refer to Table 13-2 for more information about disk group attributes.
See Also:
Oracle Automatic Storage Management Administrator's Guide for more information about taking Oracle ASM disks online and offline
rebalance_diskgroup_clause
Use this clause to manually rebalance the disk group. During a rebalance operation, Oracle ASM redistributes data files evenly across all drives. This clause is rarely necessary, because Oracle ASM allocates files evenly and automatically rebalances disk groups when the storage configuration changes. However, it is useful if you want to perform a controlled rebalance operation. It allows you to include or exclude certain phases of a rebalance operation, pause and restart a rebalance operation, and adjust the power of a rebalance operation.
WITH | WITHOUT
A rebalance operation consists of the following phases: RESTORE (includes the RESYNC, RESILVER, or REBUILD phases), BALANCE, PREPARE, and COMPACT.
You can use the WITH or WITHOUT clause to instruct Oracle ASM to include or exclude specific phases of a rebalance operation. For example, if you have time constraints, you can include only the RESTORE phase. Or, if you are using flash storage disk groups or disk groups with flash cache, you can exclude the COMPACT phase, which is not beneficial for such disk groups.
-
Use the
WITHclause to include only the specified phases of a rebalance operation. You can specify any of phasesRESTORE,BALANCE,PREPARE, andCOMPACT. It is acceptable, but not necessary, to specifyRESTORE, because theRESTOREphase always occurs. -
Use the
WITHOUTclause to exclude the specified phases of a rebalance operation. You can specify any of the phasesBALANCE,PREPARE, andCOMPACT. You cannot specifyRESTORE, because theRESTOREphase must always occur.
The order in which you specify multiple phases in the WITH or WITHOUT clause does not matter. Oracle ASM will perform the phases of the rebalance operation in the proper order. You cannot specify the RESYNC, RESILVER, or REBUILD phases; they are part of the RESTORE phase.
If you omit the WITH and WITHOUT clauses, then Oracle ASM performs all phases of the rebalance operation.
You can monitor the progress of the rebalance operation by querying the V$ASM_OPERATION dynamic performance view.
See Oracle Automatic Storage Management Administrator's Guide for more information on the phases of a rebalance operation.
POWER
This clause lets you specify the power, or speed, of the rebalance operation. It also lets you stop the rebalance operation.
integer, specify a value from 0 to 1024:
-
A value of
1through1024specifies the power at which Oracle ASM is to perform the rebalance operation, with1representing the lowest possible power and1024representing the highest possible power. -
A value of
0stops an active rebalance operation. No further rebalancing will occur until the start of another manual or automatic rebalance operation on the disk group, and at that time the rebalance operation will start from the beginning. If you would like to have the option of later resuming the rebalance operation from where it left off, then instead stop the rebalance operation by specifyingMODIFYPOWER0. See the clause MODIFY POWER for more information.
If you omit the POWER clause, then the default power is determined as follows:
-
For flex disk groups, Oracle ASM rebalances each file group according the value of its
POWER_LIMITproperty. If thePOWER_LIMITproperty is not set for a file group, then Oracle ASM uses the value of theASM_POWER_LIMITinitialization parameter for the file group. -
For all other types of disk groups, if you omit the
POWERclause, then Oracle ASM rebalances the disk group according to the value of theASM_POWER_LIMITinitialization parameter.
WAIT | NOWAIT
Use this clause to specify when, in the course of the rebalance operation, control should be returned to the user.
-
Specify
WAITif you want control returned to the user after the rebalance operation has finished. You can explicitly terminate a rebalance operation running inWAITmode, although doing so does not undo any completed disk add, drop, or resize operations in the same statement. -
Specify
NOWAITif you want control returned to the user immediately after the statement is issued. This is the default.
MODIFY POWER
Use this clause to pause, resume, or change the power of an active rebalance operation.
You can specify integer as follows:
-
Specify
0to pause the rebalance operation. When you pause a rebalance operation in this manner, you can subsequently resume the operation from the phase where it left off by issuing anALTERDISKGROUP...MODIFYPOWER... statement. If you subsequently start a manual rebalance operation on the disk group using the clause POWER, or an automatic rebalance operation for the disk group occurs, then the rebalance operation will start at the beginning. -
Specify
1through1024to specify the power of the rebalance operation, with1representing the lowest possible power and1024representing the highest possible power. If a rebalance operation is running, then Oracle ASM changes the power without interrupting the operation. If a rebalance operation was previously paused with theMODIFYPOWER0clause, then the rebalance operation resumes at the specified power. -
Omit
integerto specify the default power. If a rebalance operation is running, then Oracle ASM changes the power to the default power without interrupting the operation. If a rebalance operation was previously paused with theMODIFYPOWER0clause, then the rebalance operation resumes at the default power. Refer to the clause POWER for information on how the default power is determined.
See Also:
-
Oracle Database Reference for more information on the
ASM_POWER_LIMITinitialization parameter and theV$ASM_OPERATIONdynamic performance view
check_diskgroup_clause
The check_diskgroup_clause lets you verify the internal consistency of Oracle ASM disk group metadata. The disk group must be mounted. Oracle ASM displays summary errors and writes the details of the detected errors in the alert log.
The CHECK keyword performs the following operations:
-
Checks the consistency of the disk.
-
Cross checks all the file extent maps and allocation tables for consistency.
-
Checks that the alias metadata directory and file directory are linked correctly.
-
Checks that the alias directory tree is linked correctly.
-
Checks that Oracle ASM metadata directories do not have unreachable allocated blocks.
REPAIR | NOREPAIR
This clause lets you instruct Oracle ASM whether or not to attempt to repair any errors found during the consistency check. The default is NOREPAIR. The NOREPAIR setting is useful if you want to be alerted to any inconsistencies but do not want Oracle ASM to take any automatic action to resolve them.
Deprecated Clauses
In earlier releases, you could specify CHECK for ALL, DISK, DISKS IN FAILGROUP, or FILE. Those clauses have been deprecated as they are no longer needed. If you specify them, then their behavior is the same as in earlier releases and a message is added to the alert log. However, Oracle recommends that you do not introduce these clauses into your new code, as they are scheduled for desupport. The deprecated clauses are these:
-
ALLchecks all disks and files in the disk group. -
DISKchecks one or more specified disks in the disk group. -
DISKSINFAILGROUPchecks all disks in a specified failure group. -
FILEchecks one or more specified files in the disk group. You must use one of the reference forms of the filename. Refer to ASM_filename for information on the reference forms of Oracle ASM filenames.
diskgroup_template_clauses
A template is a named collection of attributes. When you create a disk group, Oracle ASM associates a set of initial system default templates with that disk group. The attributes defined by the template are applied to all files in the disk group. Table 10-2 lists the system default templates and the attributes they apply to the various file types. The diskgroup_template_clauses described following the table let you change the template attributes and create new templates.
You cannot use this clause to change the attributes of a disk group file after it has been created. Instead, you must use Recovery Manager (RMAN) to copy the file into a new file with the new attributes.
Table 10-2 Oracle Automatic Storage Management System Default File Group Templates
| Template Name | File Type | Mirroring Level in External Redundancy Disk Groups | Mirroring Level in Normal Redundancy Disk Groups | Mirroring Level in High Redundancy Disk Groups | Striped | Region |
|---|---|---|---|---|---|---|
|
|
Control files |
Unprotected |
3-way mirror |
3-way mirror |
|
|
|
|
Data Files and copies |
Unprotected |
2-way mirror |
3-way mirror |
|
|
|
|
Online logs |
Unprotected |
2-way mirror |
3-way mirror |
|
|
|
|
Archive logs |
Unprotected |
2-way mirror |
3-way mirror |
|
|
|
|
Temp files |
Unprotected |
2-way mirror |
3-way mirror |
|
|
|
|
Data File backup pieces, data file incremental backup pieces, and archive log backup pieces |
Unprotected |
2-way mirror |
3-way mirror |
|
|
|
|
SPFILE |
Unprotected |
2-way mirror |
3-way mirror |
|
|
|
|
Disaster recovery configurations (used in standby databases) |
Unprotected |
2-way mirror |
3-way mirror |
|
|
|
|
Flashback logs |
Unprotected |
2-way mirror |
3-way mirror |
|
|
|
|
Block change tracking data (used during incremental backups) |
Unprotected |
2-way mirror |
3-way mirror |
|
|
|
|
Data Pump dumpset |
Unprotected |
2-way mirror |
3-way mirror |
|
|
|
|
Cross-platform converted data file |
Unprotected |
2-way mirror |
3-way mirror |
|
|
|
|
Automatic backup files |
Unprotected |
2-way mirror |
3-way mirror |
|
|
|
|
SPFILE |
Unprotected |
2-way mirror |
3-way mirror |
|
|
|
|
Oracle Cluster Registry file |
Unprotected |
2-way mirror |
3-way mirror |
|
|
ADD TEMPLATE
Use this clause to add one or more named templates to a disk group. To determine the names of existing templates, query the V$ASM_TEMPLATE dynamic performance view.
MODIFY TEMPLATE
Use this clause to modify the attributes of a system default or user-defined disk group template. Only the specified attributes are altered. Unspecified properties retain their current values.
Note:
In earlier releases, the keywords ALTER TEMPLATE were used instead of MODIFY TEMPLATE. The ALTER keyword is still supported for backward compatibility, but is replaced with MODIFY for consistency with other Oracle SQL.
template_name
Specify the name of the template to be added or modified. The maximum length of a template name is 30 characters. The name must satisfy the requirements listed in "Database Object Naming Rules".
redundancy_clause
Specify the redundancy level of the newly added or modified template:
-
MIRROR: Files to which this template are applied are protected by mirroring their data blocks. In normal redundancy disk groups, each primary extent has one mirror extent (2-way mirroring). For high redundancy disk groups, each primary extent has two mirror extents (3-way mirroring). You cannot specifyMIRRORfor templates in external redundancy disk groups. -
HIGH: Files to which this template are applied are protected by mirroring their data blocks. Each primary extent has two mirror extents (3-way mirroring) for both normal redundancy and high redundancy disk groups. You cannot specifyHIGHfor templates in external redundancy disk groups. -
UNPROTECTED: Files to which this template are applied are not protected by Automated Storage Management from media failures. Disks taken offline, either through system action or by user command, can cause loss of unprotected files.UNPROTECTEDis the only valid setting for external redundancy disk groups.UNPROTECTEDmay not be specified for templates in high redundancy disk groups. Oracle discourages the use of unprotected files in high and normal redundancy disk groups.
If you omit this clause, then the value defaults to MIRROR for a normal redundancy disk group, HIGH for a high redundancy disk group, and UNPROTECTED for an external redundancy disk group.
striping_clause
Specify how the files to which this template are applied will be striped:
-
FINE: Files to which this template are applied are striped every 128KB. This striping mode is not valid for an Oracle ASM spfile. -
COARSE: Files to which this template are applied are striped every 1MB. This is the default value.
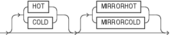
disk_region_clause
This clause lets you determine the Intelligent Data Placement attribute of the disk group file. Specify the region of the disk in which you want Oracle ASM to allocate extents for the file:
-
HOT: Extents are allocated in the region of the disk furthest away from the spindle. These outer tracks on the disk are longer than inner tracks, and so have more sectors and increased throughput. -
COLD: Extents are allocated in the region of the disk closest to the spindle. -
MIRRORHOTandMIRRORCOLD: Specify the region desired for the mirrored datablocks of the file.
If no space is available in the desired disk region, then Oracle ASM allocates extents in the other region but initiates a rebalance to adjust the size of the region.
See Also:
Oracle Automatic Storage Management Administrator's Guide for more information on Intelligent Data Placement
DROP TEMPLATE
Use this clause to drop one or more templates from the disk group. You can use this clause to drop only user-defined templates, not system default templates.
diskgroup_directory_clauses
Before you can create alias names for Oracle ASM filenames (see diskgroup_alias_clauses), you must specify the full directory structure in which the alias name will reside. The diskgroup_directory_clauses let you create and manipulate such a directory structure.
ADD DIRECTORY
Use this clause to create a new directory path for hierarchically named aliases. Use a slash (/) to separate components of the directory. Each directory component can be up to 48 bytes in length and must not contain the slash character. You cannot use a space for the first or last character of any component. The total length of the directory path cannot exceed 256 bytes minus the length of any alias name you intend to create in this directory (see diskgroup_alias_clauses).
DROP DIRECTORY
Use this clause to drop a directory for hierarchically named aliases. Oracle ASM will not drop the directory if it contains any alias definitions unless you also specify FORCE. This clause is not valid for dropping directories created as part of a system alias. Such directories are labeled with the value Y in the SYSTEM_CREATED column of the V$ASM_ALIAS dynamic performance view.
RENAME DIRECTORY
Use this clause to change the name of a directory for hierarchically named aliases. This clause is not valid for renaming directories created as part of a system alias. Such directories are labeled with the value Y in the SYSTEM_CREATED column of the V$ASM_ALIAS dynamic performance view.
diskgroup_alias_clauses
When an Oracle ASM file is created, either implicitly or by user specification, Oracle ASM assigns to the file a fully qualified name ending in a dotted pair of numbers (see file_specification). The diskgroup_alias_clauses let you create more user-friendly alias names for the Oracle ASM filenames. You cannot specify an alias name that ends in a dotted pair of numbers, as this format is indistinguishable from an Oracle ASM filename.
Before specifying this clause, you must first create the directory structure appropriate for your naming conventions (see diskgroup_directory_clauses). The total length of the alias name, including the directory prefix, is limited to 256 bytes. Alias names are case insensitive but case retentive.
ADD ALIAS
Use this clause to create an alias name for an Oracle ASM filename. The alias_name consists of the full directory path and the alias itself. To determine the names of existing Oracle ASM aliases, query the V$ASM_ALIAS dynamic performance view. Refer to ASM_filename for information on Oracle ASM filenames.
DROP ALIAS
Use this clause to remove an alias name from the disk group directory. Each alias name consists of the full directory path and the alias itself. The underlying file to which the alias refers remains unchanged.
RENAME ALIAS
Use this clause to change the name of an existing alias. The alias_name consists of the full directory path and the alias itself.
Restriction on Dropping and Renaming Aliases
You cannot drop or rename a system-generated alias. To determine whether an alias was system generated, query the SYSTEM_CREATED column of the V$ASM_ALIAS dynamic performance view.
diskgroup_volume_clauses
Use these clauses to manipulate logical Oracle ASM Dynamic Volume Manager (Oracle ADVM) volumes corresponding to physical volume devices. To use these clauses, Oracle ASM must be started and the disk group being modified must be mounted.
See Also:
Oracle Automatic Storage Management Administrator's Guide for more information about disk group volumes, including examples
add_volume_clause
Use this clause to add a volume to the disk group.
For asm_volume, specify the name of the volume. The name can contain only alphanumeric characters and the first character must be alphabetic. The maximum length of the name is platform dependent. Refer to Oracle Automatic Storage Management Administrator's Guide for more information.
For size_clause, specify the size of the Oracle ADVM volume. The Oracle ASM instance determines whether sufficient space exists to create the volume. If sufficient space does not exist, then the Oracle ASM instance returns an error. If sufficient space does exist, then all nodes in the cluster with an Oracle ASM instance running and the disk group mounted are notified of the addition. Oracle ASM creates and enables on those nodes a volume device that can be used to create and mount file systems.
The following optional settings are also available:
-
In the
redundancy_clause, specify the redundancy level of the Oracle ADVM volume. You can specify this clause only when creating a volume in a normal redundancy disk group. You can specify the following volume redundancy levels:-
MIRROR: 2-way mirroring of the volume. This is the default. -
HIGH: 3-way mirroring of the volume. -
UNPROTECTED: No mirroring of the volume.
You cannot specify the
redundancy_clausewhen creating a volume in a high redundancy disk group or an external redundancy disk group. If you do so, then an error will result. In high redundancy disk groups, Oracle Database automatically sets the volume redundancy toHIGH(3-way mirroring). In external redundancy disk groups, Oracle Database automatically sets the volume redundancy toUNPROTECTED(no mirroring). -
-
In the
STRIPE_WIDTHclause, specify a stripe width for the Oracle ADVM volume. The valid range is from 4KB to 1MB, at intervals of the power of 2. The default value is 128K. -
In the
STRIPE_COLUMNSclause, specify the number of stripes in a stripe set of the Oracle ADVM volume. The valid range is 1 to 8. The default is 4. IfSTRIPE_COLUMNSis set to 1, then striping becomes disabled. In this case, the stripe width is the extent size of the volume. This volume extent size is 64 times the allocation unit (AU) size of the disk group. -
In the
disk_region_clauseclause, specify the Intelligent Data Placement attribute of both the primary and nonprimary mirror of the disk group volume. The default for both isCOLD. See disk_region_clause for details on this clause.
modify_volume_clause
Use this clause to modify the characteristics of an existing Oracle ADVM volume. You must specify at least one of the following clauses:
-
In the
disk_region_clauseclause, specify the Intelligent Data Placement attribute of both the primary and nonprimary mirror of the disk group volume. The default for the primary mirror isCOLD. The default for mirror and high redundancy isHOT. See disk_region_clause for details on this clause. -
In the
MOUNTPATHclause, specify the mountpath name associated with the volume. Themountpath_namecan be up to 1024 characters. -
In the
USAGEclause, specify the usage name associated with the volume. Theusage_namecan be up to 30 characters.
RESIZE VOLUME Clause
Use this clause to change the size of an existing Oracle ADVM volume. In an Oracle ASM cluster, the new size is propagated to all nodes. If an Oracle Automatic Storage Management File System (ACFS) exists on the volume, then you must use the acfsutil size command instead of the ALTER DISKGROUP statement.
See Also:
Oracle Automatic Storage Management Administrator's Guide for more information about the acfsutil size command
DROP VOLUME Clause
Use this clause to remove the Oracle ASM file that is the storage container for an existing Oracle ADVM volume. In an Oracle ASM cluster, all nodes with an Oracle ASM instance running and with this disk group open are notified of the drop operation, which results in removal of the volume device. If the volume file is open, then this clause returns an error.
diskgroup_attributes
Use this clause to specify attributes for the disk group. Table 13-2 lists the attributes you can set with this clause. Refer to the CREATE DISKGROUP "ATTRIBUTE Clause" for information on the behavior of this clause.
modify_diskgroup_file
Use this clause to modify the Intelligent Data Placement attributes of an existing disk group file. When you modify the Intelligent Data Placement for a file, this action will apply to new extensions of the file, but existing file contents are not affected until a rebalance operation. To apply the new Intelligent Data Placement policy for existing file contents, you can manually initiate a rebalance. A rebalance operation uses the last specified policy for the file extents.
See Also:
-
disk_region_clause for more information on this clause
-
Oracle Automatic Storage Management Administrator's Guide for more information on manually rebalancing disk groups
drop_diskgroup_file_clause
Use this clause to drop a file from the disk group. Oracle ASM also drops all aliases associated with the file being dropped. You must use one of the reference forms of the filename. Most Oracle ASM files do not need to be manually deleted because, as Oracle Managed Files, they are removed automatically when they are no longer needed. Refer to ASM_filename for information on the reference forms of Oracle ASM filenames.
You cannot drop a disk group file it if is the spfile that was used to start up the current instance or any instance in the Oracle ASM cluster.
convert_redundancy_clause
You can use this clause to convert a NORMAL REDUNDANCY or HIGH REDUNDANCY disk group to a FLEX REDUNDANCY disk group. The disk group must have at least three failure groups before you start the conversion, and must be in the MOUNT RESTRICTED state for the duration of the conversion.
usergroup_clauses
Use these clauses to add a user group to the disk group, remove a user group from the disk group, or to add a member to or drop a member from an existing user group.
See Also:
Oracle Automatic Storage Management Administrator's Guide for detailed information about user groups and members, including examples
Use this clause to add a user group to the disk group. You must have SYSASM or SYSDBA privilege to create a user group. The maximum length of a user group name is 63 bytes. If you specify the user name, then it must be in the OS password file and its length cannot exceed 32 characters.
Use these clauses to add a member to or drop a member from an existing user group. You must be an Oracle ASM administrator (with SYSASM privilege) or the creator (with SYSDBA privilege) of the user group to use these clauses. The user name must be an existing user in the OS password file.
Use this clause to drop an existing user group from the disk group. You must be an Oracle ASM administrator (with SYSASM privilege) or the creator (with SYSDBA privilege) of the user group to use this clause. Dropping a user group may leave a disk group file without a valid user group. In this case, you can update the disk group file manually to add a new, valid group using the file_permissions_clause.
user_clauses
Use these clauses to add a user to, drop a user from, or replace a user in a disk group.
Note:
When administering users with SQL*Plus, the users must be existing operating system users and their user names must have corresponding operating system user IDs. However, only users in the same cluster as the Oracle ASM instance can be validated.
Use this clause to add one or more operating system (OS) users to an Oracle ASM disk group and give those users access privileges on the disk group. A user name must be an existing user in the OS password file and its length cannot exceed 32 characters. If a specified user already exists in the disk group, as shown by V$ASM_USER, then the command records an error and continues to add other users, if any have been specified. This command is seldom needed, because the OS user running the database instance is added to a disk group automatically when the instance accesses the disk group. However, this clause is useful when adding users that are not associated with a particular database instance.
Use this clause to drop one or more users from the disk group. If a specified user is not in the disk group, then this clause records an error and continues to drop other users, if any are specified. If the user owns any files, then you must specify the CASCADE keyword, which drops the user and all the user's files. If any files owned by the user are open, then DROP USER CASCADE fails with an error.
To delete a user without deleting the files owned by that user, change the owner of each of these files to another user and then issue an ALTER DISKGROUP ... DROP USER statement on the user. Alternatively, you can issue an ALTER DISKGROUP ... REPLACE USER statement to replace the user you want to drop with a user that currently does not exist in the disk group. This operation has the side effect of making the new user the owner of files that were previously owned by the dropped user.
REPLACE USER
Use this clause to replace old_user with new_user in the disk group. All files that are currently owned by old_user will become owned by new_user, and old_user will be dropped from the disk group. old_user must exist in the disk group and new_user must not exist in the disk group.
file_permissions_clause
Use this clause to change the permission settings of a disk group file. The three classes of permissions are owner, user group, and other. You must be the file owner or the Oracle ASM administrator to use this clause.
If you change the permission settings of an open file, then the operation currently running on the file will complete using the old permission settings. The new permission settings will take effect when re-authentication is required.
file_owner_clause
Use this clause to set the owner or user group for a specified file. You must be the Oracle ASM administrator to change the owner of the file. You must be the owner of the file or the Oracle ASM administrator to change the user group of a file. In addition, to change the associated user group of a file, the specified user group must already exist in the disk group, and the owner of the file must be a member of that user group.
If you use this clause on an open file, then the following conditions apply:
-
If you change the owner or user group of an open file, then the operation currently running on the file will complete using the old owner or user group. The new owner or user group will take effect when re-authentication is required.
-
If you change the owner of an open file, then the new owner of the file cannot be dropped from the disk group until the instance has been restarted. In an Oracle ASM cluster, the new owner of the file cannot be dropped until all instances in the cluster have been restarted.
-
If you change the owner of an open file, then the old owner cannot be dropped while the file is still open, even after the ownership of the file has changed.
scrub_clause
Use this clause to scrub a disk group. The scrub operation checks for logical data corruptions and repairs the corruptions automatically in normal and high redundancy disks groups.
-
Use the
FILEclause to scrub the specified Oracle ASM file in the disk group. You must use one of the reference forms of theASM_filename. Refer to ASM_filename for information on the reference forms of Oracle ASM filenames. -
Use the
DISKclause to scrub the specified disk in the disk group. -
If you do not specify
FILEorDISK, then all files and disks in the disk group are scrubbed.
REPAIR | NOREPAIR
Specify REPAIR to attempt to repair any errors found during the logical data corruption check. Specify NOREPAIR to be alerted of any corruptions; Oracle ASM will not take any action to resolve them. The default is NOREPAIR.
POWER
Use the POWER clause to specify the power level of the scrub operation. Valid values are AUTO, LOW, HIGH, and MAX. If you omit this clause, then the power level defaults to AUTO and the power adjusts to the optimum level for the system.
WAIT | NOWAIT
Specify WAIT to allow the scrub operation to complete before returning control to the user. Specify NOWAIT to add the operation to the scrubbing queue and return control to the user immediately. The default is NOWAIT.
FORCE | NOFORCE
Specify FORCE to process the command even if the system I/O load is high or scrubbing has been disabled at the system level. Specify NOFORCE to process the command normally. The default is NOFORCE.
You can monitor the progress of the scrub operation by querying the V$ASM_ OPERATION dynamic performance view.
See Also:
Oracle Automatic Storage Management Administrator's Guide for more information on scrubbing disk groups and "Scrubbing a Disk Group: Example"
quotagroup_clauses
Use these clauses to add a quota group to the disk group, modify a quota group, move a file group into a quota group, or drop a quota group.
A quota group is a collection of file groups. A file group is a container for all files of a database within one disk group. A quota group has a specified quota limit, which is the maximum amount of storage space that its file groups can collectively use. Therefore, a quota group enables you to define the quota limit for a group of databases within a disk group. The sum of the quota limits for all quota groups in a disk group can exceed the storage capacity of the disk group.
Each disk group contains a default quota group named GENERIC. If you create a file group and do not specify its quota group, then the file group belongs to the GENERIC quota group. Oracle ASM automatically creates the GENERIC quota group when you create a disk group with the compatible.asm attribute set to 12.2 or higher, or when you set compatible.asm to 12.2 or higher for an existing disk group. Initially, the quota limit for GENERIC is UNLIMITED. You can subsequently modify this quota limit with the MODIFY QUOTAGROUP clause.
ADD QUOTAGROUP
Use this clause to create a quota group and add it to the disk group. For quotagroup_name, specify the name of the new quota group.
The SET clause allows you to set the quota limit for the quota group.
-
For
property_name, specifyQUOTA. -
For
property_value, specify one of the following clauses:-
Specify
size_clauseto set a number of bytes for the quota limit. The minimum value you can specify is 1 byte. You can specify a value that is greater than the storage size of the disk group. In this case, storage use is limited by the current size of the disk group. However, if you subsequently increase the storage space for the disk group to a size that exceeds the quota limit, then the quota limit will be enforced. Refer to size_clause for the syntax and semantics of this clause. Note that specifying 0 bytes is equivalent to specifyingUNLIMITED. -
Specify
UNLIMITEDif you do not want to set a quota limit. In this case, storage use is limited by the storage size of the disk group.
-
If you omit the SET clause, then the default is SET QUOTA=UNLIMITED.
MODIFY QUOTAGROUP
Use this clause to modify the quota limit for a quota group. For quotagroup_name, specify the name of the quota group you want to modify. You can modify the quota limit for any quota group, including the GENERIC quota group. The SET clause has the same semantics here as for the ADD QUOTAGROUP clause. The quota limit can be set below the amount of space currently used by the quota group. This action prevents any additional space from being allocated for files described by file groups associated with this quota group.
MOVE FILEGROUP
Use this clause to move a file group from one quota group to another. For filegroup_name, specify the file group you want to move. For quotagroup_name, specify the name of the destination quota group. If the move operation causes the amount of used storage space in the destination quota group to exceed the quota limit, then the operation succeeds, but no new storage allocations can take place in the file groups within the quota group. This capability enables you to stop any files described by a specific file group from allocating additional space.
DROP QUOTAGROUP
Use this clause to drop a quota group from the disk group. For quotagroup_name, specify the quota group you want to drop. The quota group must not contain any file groups. You cannot drop the quota group GENERIC.
See Also:
Automatic Storage Management Administrator's Guide for more information on quota groups
filegroup_clauses
The filegroup_clauses are valid only for flex disk groups. Use these clauses to create a file group, modify a file group, move a file into a file group, or drop a file group. A file group is a container for all files of a database within one disk group. A file group must belong to a quota group.
Each disk group has a default file group with FILEGROUP_NUMBER = 0.
add_filegroup_clause
Use this clause to create a file group.
For filegroup_name, specify the name of the new file group. The maximum length of a file group name is 127 characters. The name must satisfy the requirements listed in "Database Object Naming Rules", with the following addition: File group names are not case sensitive, even if you specify them with quotation marks. They are always stored internally as uppercase. File group names must be unique within a disk group.
-
Use the
DATABASEclause to specify the database (non-CDB, CDB, or PDB) with which the file group is associated. -
Use the
CLUSTERclause to specify the cluster with which the file group is associated. -
Use the
VOLUMEclause to specify the volume with which the file group is associated.
You cannot associate more than one file group in the same disk group with the same database, cluster, or volume. If the database, cluster, or volume does not exist at the time of file group creation, then the file group will be automatically associated with it when it is subsequently created. Database, cluster, and volume names must satisfy the requirements listed in "Database Object Naming Rules".
The SET clause allows you to set properties for the file group. If you do not specify the SET clause for a property, then the default value is assigned. You can specify the file_type for any property for which a file type applies. If you do not specify file_type for such a property, then the property applies to all file types. For complete information on file group properties and their default values, see Oracle Automatic Storage Management Administrator's Guide.
modify_filegroup_clause
Use this clause to modify file group properties. For filegroup_name, specify the name of the file group you want to modify. You can modify properties for any file group, including the default file group. Any that you do not specify with this clause remain unchanged. The SET clause has the same semantics here as for the add_filegroup_clause.
move_to_filegroup_clause
Use this clause to move a file to a file group. If the file is currently associated with a different file group, then it is disassociated from that file group. The target file group must have enough space available to contain the file. You must be the owner of the file and the target file group.
drop_filegroup_clause
Use this clause to drop a file group from a quota group. For filegroup_name, specify the name of the file group you want to drop. The file group must be empty, or you must specify the CASCADE keyword. If you specify CASCADE, then the files in the file group are dropped.
See Also:
Automatic Storage Management Administrator's Guide for more information on file groups
undrop_disk_clause
Use this clause to cancel the drop of disks from the disk group. You can cancel the pending drop of all the disks in one or more disk groups (by specifying diskgroup_name) or of all the disks in all disk groups (by specifying ALL).
This clause is not relevant for disks that have already been completely dropped from the disk group or for disk groups that have been completely dropped. This clause results in a long-running operation. You can see the status of the operation by querying the V$ASM_OPERATION dynamic performance view.
See Also:
V$ASM_OPERATION for more information on the details of long-running Oracle ASM operations
diskgroup_availability
Use this clause to make one or more disk groups available or unavailable to the database instances running on the same node as the Oracle ASM instance. This clause does not affect the status of the disk group on other nodes in a cluster.
MOUNT
Specify MOUNT to mount the disk groups in the local Oracle ASM instance. Specify ALL MOUNT to mount all disk groups specified in the ASM_DISKGROUPS initialization parameter. File operations can only be performed when a disk group is mounted. If Oracle ASM is running in a cluster or a standalone server managed by Oracle Grid Infrastructure for Independent Servers (Oracle Restart), then the MOUNT clause automatically brings the corresponding resource online.
Note:
Starting with Oracle Database 12c, Oracle Grid Infrastructure for Independent Servers (Oracle Restart) is deprecated and is subject to desupport in future releases. Oracle continues to provide Oracle Automatic Storage Management (Oracle ASM) as part of the Oracle Grid Infrastructure installation for Standalone and Cluster deployments.
RESTRICTED | NORMAL
Use these clauses to determine the manner in which the disk groups are mounted.
-
In the
RESTRICTEDmode, the disk group is mounted in single-instance exclusive mode. No other Oracle ASM instance in the same cluster can mount that disk group. In this mode the disk group is not usable by any Oracle ASM client. -
In the
NORMALmode, the disk group is mounted in shared mode, so that other Oracle ASM instances and clients can access the disk group. This is the default.
FORCE | NOFORCE
Use these clauses to determine the circumstances under which the disk groups are mounted.
-
In the
FORCEmode, Oracle ASM attempts to mount the disk group even if it cannot discover all of the devices that belong to the disk group. This setting is useful if some of the disks in a normal or high redundancy disk group became unavailable while the disk group was dismounted. WhenMOUNTFORCEsucceeds, Oracle ASM takes the missing disks offline.If Oracle ASM discovers all of the disks in the disk group, then
MOUNTFORCEfails. Therefore, use theMOUNTFORCEsetting only if some disks are unavailable. Otherwise, useNOFORCE.In normal- and high-redundancy disk groups, disks from one failure group can be unavailable and
MOUNTFORCEwill succeed. Also in high-redundancy disk groups, two disks in two different failure groups can be unavailable andMOUNTFORCEwill succeed. Any other combination of unavailable disks causes the operation to fail, because Oracle ASM cannot guarantee that a valid copy of all user data or metadata exists on the available disks. -
In the
NOFORCEmode, Oracle ASM does not attempt to mount the disk group unless it can discover all the member disks. This is the default.
See Also:
ASM_DISKGROUPS for more information about adding disk group names to the initialization parameter file
DISMOUNT
Specify DISMOUNT to dismount the specified disk groups. Oracle ASM returns an error if any file in the disk group is open unless you also specify FORCE. Specify ALL DISMOUNT to dismount all currently mounted disk groups. File operations can only be performed when a disk group is mounted. If Oracle ASM is running in a cluster or a standalone server managed by Oracle Grid Infrastructure for Independent Servers (Oracle Restart), then the DISMOUNT clause automatically takes the corresponding resource offline.
Note:
Starting with Oracle Database 12c, Oracle Grid Infrastructure for Independent Servers (Oracle Restart) is deprecated and is subject to desupport in future releases. Oracle continues to provide Oracle Automatic Storage Management (Oracle ASM) as part of the Oracle Grid Infrastructure installation for Standalone and Cluster deployments.
FORCE
Specify FORCE if you want Oracle ASM to dismount the disk groups even if some files in the disk group are open.
enable_disable_volume
Use this clause to enable or disable one or more volumes in the disk group.
-
For each volume you enable, Oracle ASM creates a volume device file on the local node that can be used to create or mount the file system.
-
For each volume you disable, Oracle ASM deletes the device file on the local node. If the volume file is open on the local node, then the
DISABLEclause returns an error.
Use the ALL keyword to enable or disable all volumes in the disk group. If you specify ALTER DISKGROUP ALL ..., then you must use the ALL keyword in this clause as well.
See Also:
Oracle Automatic Storage Management Administrator's Guide for more information about disk group volumes
Examples
The following examples require a disk group called dgroup_01. They assume that ASM_DISKSTRING is set to /devices/disks/*. In addition, they assume the Oracle user has read/write permission to /devices/disks/d100. Refer to "Creating a Diskgroup: Example" to create dgroup_01.
Adding a Disk to a Disk Group: Example
To add a disk, d100, to a disk group, dgroup_01, issue the following statement:
ALTER DISKGROUP dgroup_01 ADD DISK '/devices/disks/d100';
Dropping a Disk from a Disk Group: Example
To drop a disk, dgroup_01_0000, from a disk group, dgroup_01, issue the following statement:
ALTER DISKGROUP dgroup_01 DROP DISK dgroup_01_0000;
Undropping a Disk from a Disk Group: Example
To cancel the drop of disks from a disk group, dgroup_01, issue the following statement:
ALTER DISKGROUP dgroup_01 UNDROP DISKS;
Resizing a Disk Group: Example
To resize every disk in a disk group, dgroup_01, issue the following statement:
ALTER DISKGROUP dgroup_01 RESIZE ALL SIZE 36G;
Rebalancing a Disk Group: Example
To manually rebalance a disk group, dgroup_01, and permit Oracle ASM to execute the rebalance as fast as possible, issue the following statement:
ALTER DISKGROUP dgroup_01 REBALANCE POWER 11 WAIT;
The WAIT keyword causes the database to wait for the disk group to be rebalanced before returning control to the user.
Verifying the Internal Consistency of Disk Group Metadata: Example
To verify the internal consistency of Oracle ASM disk group metadata and instruct Oracle ASM to repair any errors found, issue the following statement:
ALTER DISKGROUP dgroup_01 CHECK ALL REPAIR;
Adding a Named Template to a Disk Group: Example
To add a named template, template_01 to a disk group, dgroup_01, issue the following statement:
ALTER DISKGROUP dgroup_01
ADD TEMPLATE template_01
ATTRIBUTES (UNPROTECTED COARSE);Changing the Attributes of a Disk Group Template: Example
To modify the attributes of a system default or user-defined disk group template, template_01, issue the following statement:
ALTER DISKGROUP dgroup_01
MODIFY TEMPLATE template_01
ATTRIBUTES (FINE);Dropping a User-Defined Template from a Disk Group: Example
To drop a user-defined template, template_01, from a disk group, dgroup_01, issue the following statement:
ALTER DISKGROUP dgroup_01 DROP TEMPLATE template_01;
Creating a Directory Path for Hierarchically Named Aliases: Example
To specify the directory structure in which alias names will reside, issue the following statement:
ALTER DISKGROUP dgroup_01 ADD DIRECTORY '+dgroup_01/alias_dir';
Creating an Alias Name for an Oracle ASM Filename: Example
To create a user alias by specifying the numeric Oracle ASM filename, issue the following statement:
ALTER DISKGROUP dgroup_01
ADD ALIAS '+dgroup_01/alias_dir/datafile.dbf'
FOR '+dgroup_01.261.1';Scrubbing a Disk Group: Example
To scrub a disk group, dgroup_01, issue the following statement. This statement attempts to repair any errors found during the logical data corruption check and allows the scrub operation to complete before returning control to the user.
ALTER DISKGROUP dgroup_01 SCRUB REPAIR WAIT;
Dismounting a Disk Group: Example
To dismount a disk group, dgroup_01, issue the following statement. This statement dismounts the disk group even if one or more files are active:
ALTER DISKGROUP dgroup_01 DISMOUNT FORCE;
Mounting a Disk Group: Example
To mount a disk group, dgroup_01, issue the following statement:
ALTER DISKGROUP dgroup_01 MOUNT;








































