19.9 SELECT
Purpose
Use a SELECT statement or subquery to retrieve data from one or more tables, object tables, views, object views, or materialized views.
If part or all of the result of a SELECT statement is equivalent to an existing materialized view, then Oracle Database may use the materialized view in place of one or more tables specified in the SELECT statement. This substitution is called query rewrite. It takes place only if cost optimization is enabled and the QUERY_REWRITE_ENABLED parameter is set to TRUE. To determine whether query rewrite has occurred, use the EXPLAIN PLAN statement.
See Also:
-
SQL Queries and Subqueries for general information on queries and subqueries
-
Oracle Database Data Warehousing Guide for more information on materialized views and query rewrite
Prerequisites
For you to select data from a table or materialized view, the table or materialized view must be in your own schema or you must have the READ or SELECT privilege on the table or materialized view.
For you to select rows from the base tables of a view:
-
The view must be in your own schema or you must have the
READorSELECTprivilege on the view, and -
Whoever owns the schema containing the view must have the
READorSELECTprivilege on the base tables.
The READ ANY TABLE or SELECT ANY TABLE system privilege also allows you to select data from any table or any materialized view or the base table of any view.
To specify the FOR UPDATE clause, the preceding prerequisites apply with the following exception: The READ and READ ANY TABLE privileges, where mentioned, do not allow you to specify the FOR UPDATE clause.
To issue an Oracle Flashback Query using the flashback_query_clause, you must have the READ or SELECT privilege on the objects in the select list. In addition, either you must have FLASHBACK object privilege on the objects in the select list, or you must have FLASHBACK ANY TABLE system privilege.
Syntax
query_block::=
(with_clause::=, select_list::=, table_reference::=, join_clause::=, where_clause::=, hierarchical_query_clause::=, group_by_clause::=, model_clause::=)
with_clause::=
Note:
You cannot specify only the WITH keyword. You must specify at least one of the clauses plsql_declarations or subquery_factoring_clause.
plsql_declarations::=
subquery_factoring_clause::=
search_clause::=
cycle_clause::=
select_list::=
table_reference::=
(query_table_expression::=, flashback_query_clause::=, pivot_clause::=, unpivot_clause::=, row_pattern_clause::=, containers_clause::=)
flashback_query_clause::=
query_table_expression::=
(subquery_restriction_clause::=, table_collection_expression::=)
pivot_for_clause::=
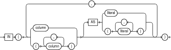
pivot_in_clause::=
unpivot_in_clause::=
partition_extension_clause::=
table_collection_expression::=
containers_clause::=
join_clause::=
(inner_cross_join_clause::=, outer_join_clause::=, cross_outer_apply_clause::=)
inner_cross_join_clause::=
outer_join_clause::=
(query_partition_clause::=, outer_join_type::=, table_reference::=)
query_partition_clause::=
outer_join_type::=
cross_outer_apply_clause::=
where_clause::=
rollup_cube_clause::=
grouping_sets_clause::=
grouping_expression_list::=
expression_list::=
model_clause::=
(cell_reference_options::=, return_rows_clause::=, reference_model::=, main_model::=)
cell_reference_options::=
return_rows_clause::=
reference_model::=
main_model::=
(model_column_clauses::=, cell_reference_options::=, model_rules_clause::=)
model_column_clauses::=
model_rules_clause::=
(model_iterate_clause::=, cell_assignment::=, order_by_clause::=)
model_iterate_clause::=
cell_assignment::=
single_column_for_loop::=
multi_column_for_loop::=
row_limiting_clause::=
row_pattern_clause::=
(row_pattern_partition_by::=, row_pattern_order_by::=, row_pattern_measures::=, row_pattern_rows_per_match::=, row_pattern_skip_to::=, row_pattern::=, row_pattern_subset_clause::=, row_pattern_definition_list::=)
row_pattern_partition_by::=
row_pattern_order_by::=
row_pattern_measures::=
row_pattern_measure_column::=
row_pattern_rows_per_match::=
row_pattern_skip_to::=
row_pattern::=
row_pattern_term::=
row_pattern_factor::=
row_pattern_primary::=
row_pattern_permute::=
row_pattern_quantifier::=
row_pattern_subset_clause::=
row_pattern_subset_item::=
row_pattern_definition_list::=
row_pattern_definition::=
row_pattern_rec_func::=
(row_pattern_classifier_func::=, row_pattern_match_num_func::=, row_pattern_navigation_func::=, row_pattern_aggregate_func::=)
row_pattern_classifier_func::=
row_pattern_match_num_func::=
row_pattern_navigation_func::=
(row_pattern_nav_logical::=, row_pattern_nav_physical::=, row_pattern_nav_compound::=)
row_pattern_nav_logical::=
row_pattern_nav_physical::=
row_pattern_nav_compound::=
row_pattern_aggregate_func::=
Semantics
with_clause
Use the with_clause to define the following:
-
PL/SQL procedures and functions (using the
plsql_declarationsclause) -
Subquery blocks (using the
subquery_factoring_clause)
plsql_declarations
The plsql_declarations clause lets you declare and define PL/SQL functions and procedures. You can then reference the PL/SQL functions in the query in which you specify this clause, as well as its subqueries, if any. For the purposes of name resolution, these function names have precedence over schema-level stored functions.
If the query in which you specify this clause is not a top-level SELECT statement, then the following rules apply to the top-level SQL statement that contains the query:
-
If the top-level statement is a
SELECTstatement, then it must have either aWITHplsql_declarationsclause or theWITH_PLSQLhint. -
If the top-level statement is a
DELETE,MERGE,INSERT, orUPDATEstatement, then it must have theWITH_PLSQLhint.
The WITH_PLSQL hint only enables you to specify the WITH plsql_declarations clause within the statement. It is not an optimizer hint.
See Also:
-
Oracle Database PL/SQL Language Reference for syntax and restrictions for
function_declarationandprocedure_declaration.
subquery_factoring_clause
The subquery_factoring_clause lets you assign a name (query_name) to a subquery block. You can then reference the subquery block multiple places in the query by specifying query_name. Oracle Database optimizes the query by treating the query_name as either an inline view or as a temporary table. The query_name is subject to the same naming conventions and restrictions as database schema objects. Refer to "Database Object Naming Rules" for information on database object names.
The column aliases following the query_name and the set operators separating multiple subqueries in the AS clause are valid and required for recursive subquery factoring. The search_clause and cycle_clause are valid only for recursive subquery factoring but are not required. See "Recursive Subquery Factoring".
You can specify this clause in any top-level SELECT statement and in most types of subqueries. The query name is visible to the main query and to all subsequent subqueries. For recursive subquery factoring, the query name is even visible to the subquery that defines the query name itself.
If a subquery_factoring_clause refers to its own query_name in the subquery that defines it, then the subquery_factoring_clause is said to be recursive. A recursive subquery_factoring_clause must contain two query blocks: the first is the anchor member and the second is the recursive member. The anchor member must appear before the recursive member, and it cannot reference query_name. The anchor member can be composed of one or more query blocks combined by the set operators: UNION ALL, UNION, INTERSECT or MINUS. The recursive member must follow the anchor member and must reference query_name exactly once. You must combine the recursive member with the anchor member using the UNION ALL set operator.
The number of column aliases following WITH query_name and the number of columns in the SELECT lists of the anchor and recursive query blocks must be the same.
The recursive member cannot contain any of the following elements:
-
The
DISTINCTkeyword or aGROUPBYclause -
The
model_clause -
An aggregate function. However, analytic functions are permitted in the select list.
-
Subqueries that refer to
query_name. -
Outer joins that refer to
query_nameas the right table.
In previous releases of Oracle Database, the recursive member of a recursive WITH clause ran serially regardless of the parallelism of the entire query (also known as the top-level SELECT statement). Beginning with Oracle Database 12c Release 2 (12.2), the recursive member will run in parallel if the optimizer determines that the top-level SELECT statement can be executed in parallel.
search_clause
Use the SEARCH clause to specify an ordering for the rows.
-
Specify
BREADTHFIRSTBYif you want sibling rows returned before any child rows are returned. -
Specify
DEPTHFIRSTBYif you want child rows returned before any siblings rows are returned. -
Sibling rows are ordered by the columns listed after the
BYkeyword. -
The
c_aliaslist following theSEARCHkeyword must contain column names from the column alias list forquery_name. -
The
ordering_columnis automatically added to the column list for the query name. The query that selects fromquery_namecan include anORDERBYonordering_columnto return the rows in the order that was specified by theSEARCHclause.
cycle_clause
Use the CYCLE clause to mark cycles in the recursion.
-
The
c_aliaslist following theCYCLEkeyword must contain column names from the column alias list forquery_name. Oracle Database uses these columns to detect a cycle. -
cycle_valueandno_cycle_valueshould be character strings of length 1. -
If a cycle is detected, then the cycle mark column specified by
cycle_mark_c_aliasfor the row causing the cycle is set to the value specified forcycle_value. The recursion will then stop for this row. That is, it will not look for child rows for the offending row, but it will continue for other noncyclic rows. -
If no cycles are found, then the cycle mark column is set to the default value specified for
no_cycle_value. -
The cycle mark column is automatically added to the column list for the
query_name. -
A row is considered to form a cycle if one of its ancestor rows has the same values for the cycle columns.
If you omit the CYCLE clause, then the recursive WITH clause returns an error if cycles are discovered. In this case, a row forms a cycle if one of its ancestor rows has the same values for all the columns in the column alias list for query_name that are referenced in the WHERE clause of the recursive member.
Restrictions on Subquery Factoring
This clause is subject to the following restrictions:
-
You can specify only one
subquery_factoring_clausein a single SQL statement. Anyquery_namedefined in thesubquery_factoring_clausecan be used in any subsequent named query block in thesubquery_factoring_clause. -
In a compound query with set operators, you cannot use the
query_namefor any of the component queries, but you can use thequery_namein theFROMclause of any of the component queries. -
You cannot specify duplicate names in the column alias list for
query_name. -
The name used for the
ordering_columnhas to be different from the name used forcycle_mark_c_alias. -
The
ordering_columnand cycle mark column names cannot already be in the column alias list forquery_name.
See Also:
-
Oracle Database Concepts for information about inline views
hint
Specify a comment that passes instructions to the optimizer on choosing an execution plan for the statement.
See Also:
"Hints" for the syntax and description of hints
DISTINCT | UNIQUE
Specify DISTINCT or UNIQUE if you want the database to return only one copy of each set of duplicate rows selected. These two keywords are synonymous. Duplicate rows are those with matching values for each expression in the select list.
Restrictions on DISTINCT and UNIQUE Queries
These types of queries are subject to the following restrictions:
-
When you specify
DISTINCTorUNIQUE, the total number of bytes in all select list expressions is limited to the size of a data block minus some overhead. This size is specified by the initialization parameterDB_BLOCK_SIZE. -
You cannot specify
DISTINCTif theselect_listcontains LOB columns.
ALL
Specify ALL if you want the database to return all rows selected, including all copies of duplicates. The default is ALL.
select_list
The select_list lets you specify the columns you want to retrieve from the database.
* (all-column wildcard)
Specify the all-column wildcard (asterisk) to select all columns, excluding pseudocolumns and INVISIBLE columns, from all tables, views, or materialized views listed in the FROM clause. The columns are returned in the order indicated by the COLUMN_ID column of the *_TAB_COLUMNS data dictionary view for the table, view, or materialized view.
If you are selecting from a table rather than from a view or a materialized view, then columns that have been marked as UNUSED by the ALTER TABLE SET UNUSED statement are not selected.
See Also:
ALTER TABLE, "Simple Query Examples", and "Selecting from the DUAL Table: Example"
query_name.*
Specify query_name followed by a period and the asterisk to select all columns from the specified subquery block. For query_name, specify a subquery block name already specified in the subquery_factoring_clause. You must have specified the subquery_factoring_clause in order to specify query_name in the select_list. If you specify query_name in the select_list, then you also must specify query_name in the query_table_expression (FROM clause).
table.* | view.* | materialized view.*
Specify the object name followed by a period and the asterisk to select all columns from the specified table, view, or materialized view. Oracle Database returns a set of columns in the order in which the columns were specified when the object was created. A query that selects rows from two or more tables, views, or materialized views is a join.
You can use the schema qualifier to select from a table, view, or materialized view in a schema other than your own. If you omit schema, then the database assumes the table, view, or materialized view is in your own schema.
See Also:
"Joins"
t_alias .*
Specify a correlation name (alias) followed by a period and the asterisk to select all columns from the object with that correlation name specified in the FROM clause of the same subquery. The object can be a table, view, materialized view, or subquery. Oracle Database returns a set of columns in the order in which the columns were specified when the object was created. A query that selects rows from two or more objects is a join.
expr
Specify an expression representing the information you want to select. A column name in this list can be qualified with schema only if the table, view, or materialized view containing the column is qualified with schema in the FROM clause. If you specify a member method of an object type, then you must follow the method name with parentheses even if the method takes no arguments.
c_alias
Specify an alias for the column expression. Oracle Database will use this alias in the column heading of the result set. The AS keyword is optional. The alias effectively renames the select list item for the duration of the query. The alias can be used in the order_by_clause but not other clauses in the query.
See Also:
-
Oracle Database Data Warehousing Guide for information on using the
exprASc_aliassyntax with theUNIONALLoperator in queries of multiple materialized views -
"About SQL Expressions" for the syntax of
expr
Restrictions on the Select List
The select list is subject to the following restrictions:
-
If you also specify a group_by_clause in this statement, then this select list can contain only the following types of expressions:
-
Constants
-
Aggregate functions and the functions
USER,UID, andSYSDATE -
Expressions identical to those in the
group_by_clause. If thegroup_by_clauseis in a subquery, then all columns in the select list of the subquery must match theGROUPBYcolumns in the subquery. If the select list andGROUPBYcolumns of a top-level query or of a subquery do not match, then the statement results in ORA-00979. -
Expressions involving the preceding expressions that evaluate to the same value for all rows in a group
-
-
You can select a rowid from a join view only if the join has one and only one key-preserved table. The rowid of that table becomes the rowid of the view.
See Also:
Oracle Database Administrator's Guide for information on key-preserved tables
-
If two or more tables have some column names in common, and if you are specifying a join in the
FROMclause, then you must qualify column names with names of tables or table aliases.
FROM Clause
The FROM clause lets you specify the objects from which data is selected.
ONLY
The ONLY clause applies only to views. Specify ONLY if the view in the FROM clause is a view belonging to a hierarchy and you do not want to include rows from any of its subviews.
query_table_expression
Use the query_table_expression clause to identify a subquery block, table, view, materialized view, analytic view, hierarchy, partition, or subpartition, or to specify a subquery that identifies the objects. In order to specify a subquery block, you must have specified the subquery block name (query_name) in the subquery_factoring_clause.
See Also:
Specify LATERAL to designate subquery as a lateral inline view. Within a lateral inline view, you can specify tables that appear to the left of the lateral inline view in the FROM clause of a query. You can specify this left correlation anywhere within subquery (such as the SELECT, FROM, and WHERE clauses) and at any nesting level.
Restrictions on LATERAL
Lateral inline views are subject to the following restrictions:
-
If you specify
LATERAL, then you cannot specify thepivot_clause, theunpivot_clause, or a pattern in thetable_referenceclause. -
If a lateral inline view contains the
query_partition_clause, and it is the right side of a join clause, then it cannot contain a left correlation to the left table in the join clause. However, it can contain a left correlation to a table to its left in theFROMclause that is not the left table. -
A lateral inline view cannot contain a left correlation to the first table in a right outer join or full outer join.
See Also:
flashback_query_clause
Use the flashback_query_clause to retrieve data from a table, view, or materialized view based on time dimensions associated with the data.
This clause implements SQL-driven Flashback, which lets you specify the following:
-
A different system change number or timestamp for each object in the select list, using the clauses
VERSIONSBETWEEN{SCN|TIMESTAMP}orVERSIONSASOF{SCN|TIMESTAMP}. You can also implement session-level Flashback using theDBMS_FLASHBACKpackage. -
A valid time period for each object in the select list, using the clauses
VERSIONSPERIODFORorASOFPERIODFOR. You can also implement valid-time session-level Flashback using theDBMS_FLASHBACK_ARCHIVEpackage.
A Flashback Query lets you retrieve a history of changes made to a row. You can retrieve the corresponding identifier of the transaction that made the change using the VERSIONS_XID pseudocolumn. You can also retrieve information about the transaction that resulted in a particular row version by issuing an Oracle Flashback Transaction Query. You do this by querying the FLASHBACK_TRANSACTION_QUERY data dictionary view for a particular transaction ID.
VERSIONS BETWEEN { SCN | TIMESTAMP }
Specify VERSIONS BETWEEN to retrieve multiple versions of the rows returned by the query. Oracle Database returns all committed versions of the rows that existed between two SCNs or between two timestamp values. The first specified SCN or timestamp must be earlier than the second specified SCN or timestamp. The rows returned include deleted and subsequently reinserted versions of the rows.
-
Specify
VERSIONSBETWEENSCN... to retrieve the versions of the row that existed between two SCNs. Both expressions must evaluate to a number and cannot evaluate to NULL.MINVALUEandMAXVALUEresolve to the SCN of the oldest and most recent data available, respectively. -
Specify
VERSIONSBETWEENTIMESTAMP... to retrieve the versions of the row that existed between two timestamps. Both expressions must evaluate to a timestamp value and cannot evaluate to NULL.MINVALUEandMAXVALUEresolve to the timestamp of the oldest and most recent data available, respectively.
AS OF { SCN | TIMESTAMP }
Specify AS OF to retrieve the single version of the rows returned by the query at a particular change number (SCN) or timestamp. If you specify SCN, then expr must evaluate to a number. If you specify TIMESTAMP, then expr must evaluate to a timestamp value. In either case, expr cannot evaluate to NULL. Oracle Database returns rows as they existed at the specified system change number or time.
Oracle Database provides a group of version query pseudocolumns that let you retrieve additional information about the various row versions. Refer to "Version Query Pseudocolumns" for more information.
When both clauses are used together, the AS OF clause determines the SCN or moment in time from which the database issues the query. The VERSIONS clause determines the versions of the rows as seen from the AS OF point. The database returns null for a row version if the transaction started before the first BETWEEN value or ended after the AS OF point.
VERSIONS PERIOD FOR
Specify VERSIONS PERIOD FOR to retrieve rows from table based on whether they are considered valid during the specified time period. In order to use this clause, table must support Temporal Validity.
-
For
valid_time_column, specify the name of the valid time dimension column fortable. -
Use the
BETWEENclause to specify the time period during which rows are considered valid. Both expressions must evaluate to a timestamp value and cannot evaluate to NULL.MINVALUEresolves to the earliest date or timestamp in the start time column oftable.MAXVALUEresolves to latest date or timestamp in the end time column oftable.
AS OF PERIOD FOR
Specify AS OF PERIOD FOR to retrieve rows from table based on whether they are considered valid as of the specified time. In order to use this clause, table must support Temporal Validity.
-
For
valid_time_column, specify the name of the valid time dimension column fortable. -
Use
exprto specify the time as of which rows are considered valid. The expression must evaluate to a timestamp value and cannot evaluate to NULL.
See Also:
-
Oracle Database Development Guide for more information on Temporal Validity
-
CREATETABLEperiod_definition to learn how to configure a table to support Temporal Validity and for information about thevalid_time_column, start time column, and end time column
Note on Flashback Queries
When performing a flashback query, Oracle Database might not use query optimizations that it would use for other types of queries, which could have a negative impact on performance. In particular, this occurs when you specify multiple flashback queries in a hierarchical query.
Restrictions on Flashback Queries
These queries are subject to the following restrictions:
-
You cannot specify a column expression or a subquery in the expression of the
ASOFclause. -
You cannot specify the
ASOFclause if you have specified thefor_update_clause. -
You cannot use the
ASOFclause in the defining query of a materialized view. -
You cannot use the
VERSIONSclause in flashback queries to temporary or external tables, or tables that are part of a cluster. -
You cannot use the
VERSIONSclause in flashback queries to views. However, you can use theVERSIONSsyntax in the defining query of a view. -
You cannot specify the
flashback_query_clauseif you have specifiedquery_namein thequery_table_expression.
See Also:
-
Oracle Database Development Guide for more information on Oracle Flashback Query
-
Oracle Database Development Guide and Oracle Database PL/SQL Packages and Types Reference for information about session-level Flashback using the
DBMS_FLASHBACKpackage -
Oracle Database Administrator's Guide and to the description of
FLASHBACK_TRANSACTION_QUERYin the Oracle Database Reference for more information about transaction history
partition_extension_clause
For PARTITION or SUBPARTITION, specify the name or key value of the partition or subpartition within table from which you want to retrieve data.
For range- and list-partitioned data, as an alternative to this clause, you can specify a condition in the WHERE clause that restricts the retrieval to one or more partitions of table. Oracle Database will interpret the condition and fetch data from only those partitions. It is not possible to formulate such a WHERE condition for hash-partitioned data.
dblink
For dblink, specify the complete or partial name for a database link to a remote database where the table, view, or materialized view is located. This database need not be an Oracle Database.
See Also:
-
"References to Objects in Remote Databases" for more information on referring to database links
-
"Distributed Queries" for more information about distributed queries and "Using Distributed Queries: Example"
If you omit dblink, then the database assumes that the table, view, or materialized view is on the local database.
Restrictions on Database Links
Database links are subject to the following restrictions:
-
You cannot query a user-defined type or an object
REFon a remote table. -
You cannot query columns of type
ANYTYPE,ANYDATA, orANYDATASETfrom remote tables.
table | view | materialized_view | hierarchy | analytic_view
Specify the name of a table, view, materialized view, hierarchy, or analytic view from which data is selected.
sample_clause
The sample_clause lets you instruct the database to select from a random sample of data from the table, rather than from the entire table.
See Also:
BLOCK
BLOCK instructs the database to attempt to perform random block sampling instead of random row sampling.
Block sampling is possible only during full table scans or index fast full scans. If a more efficient execution path exists, then Oracle Database does not perform block sampling. If you want to guarantee block sampling for a particular table or index, then use the FULL or INDEX_FFS hint.
Beginning with Oracle Database 12c Release 2 (12.2.), you can specify block sampling for external tables. In earlier releases, specifying block sampling for external tables had no effect; row sampling was performed.
sample_percent
For sample_percent, specify the percentage of the total row or block count to be included in the sample. The value must be in the range .000001 to, but not including, 100. This percentage indicates the probability of each row, or each cluster of rows in the case of block sampling, being selected as part of the sample. It does not mean that the database will retrieve exactly sample_percent of the rows of table.
WARNING:
The use of statistically incorrect assumptions when using this feature can lead to incorrect or undesirable results.
SEED seed_value
Specify this clause to instruct the database to attempt to return the same sample from one execution to the next. The seed_value must be an integer between 0 and 4294967295. If you omit this clause, then the resulting sample will change from one execution to the next.
Restrictions on sample_clause
The following restrictions apply to the SAMPLE clause:
-
You cannot specify the
SAMPLEclause in a subquery in a DML statement. -
You can specify the
SAMPLEclause in a query on a base table, a container table of a materialized view, or a view that is key preserving. You cannot specify this clause on a view that is not key preserving.
subquery_restriction_clause
The subquery_restriction_clause lets you restrict the subquery in one of the following ways:
WITH READ ONLY
Specify WITH READ ONLY to indicate that the table or view cannot be updated.
WITH CHECK OPTION
Specify WITH CHECK OPTION to indicate that Oracle Database prohibits any changes to the table or view that would produce rows that are not included in the subquery. When used in the subquery of a DML statement, you can specify this clause in a subquery in the FROM clause but not in subquery in the WHERE clause.
CONSTRAINT constraint
Specify the name of the CHECK OPTION constraint. If you omit this identifier, then Oracle automatically assigns the constraint a name of the form SYS_Cn, where n is an integer that makes the constraint name unique within the database.
See Also:
table_collection_expression
The table_collection_expression lets you inform Oracle that the value of collection_expression should be treated as a table for purposes of query and DML operations. The collection_expression can be a subquery, a column, a function, or a collection constructor. Regardless of its form, it must return a collection value—that is, a value whose type is nested table or varray. This process of extracting the elements of a collection is called collection unnesting.
The optional plus (+) is relevant if you are joining the TABLE collection expression with the parent table. The + creates an outer join of the two, so that the query returns rows from the outer table even if the collection expression is null.
Note:
In earlier releases of Oracle, when collection_expression was a subquery, table_collection_expression was expressed as THE subquery. That usage is now deprecated.
The collection_expression can reference columns of tables defined to its left in the FROM clause. This is called left correlation. Left correlation can occur only in table_collection_expression. Other subqueries cannot contains references to columns defined outside the subquery.
The optional (+) lets you specify that table_collection_expression should return a row with all fields set to null if the collection is null or empty. The (+) is valid only if collection_expression uses left correlation. The result is similar to that of an outer join.
When you use the (+) syntax in the WHERE clause of a subquery in an UPDATE or DELETE operation, you must specify two tables in the FROM clause of the subquery. Oracle Database ignores the outer join syntax unless there is a join in the subquery itself.
See Also:
t_alias
Specify a correlation name, which is an alias for the table, view, materialized view, or subquery for evaluating the query. This alias is required if the select list references any object type attributes or object type methods. Correlation names are most often used in a correlated query. Other references to the table, view, or materialized view throughout the query must refer to this alias.
See Also:
pivot_clause
The pivot_clause lets you write cross-tabulation queries that rotate rows into columns, aggregating data in the process of the rotation. The output of a pivot operation typically includes more columns and fewer rows than the starting data set. The pivot_clause performs the following steps:
-
The
pivot_clausecomputes the aggregation functions specified at the beginning of the clause. Aggregation functions must specify aGROUPBYclause to return multiple values, yet thepivot_clausedoes not contain an explicitGROUPBYclause. Instead, thepivot_clauseperforms an implicitGROUPBY. The implicit grouping is based on all the columns not referred to in thepivot_clause, along with the set of values specified in thepivot_in_clause.). If you specify more than one aggregation function, then you must provide aliases for at least all but one of the aggregation functions. -
The grouping columns and aggregated values calculated in Step 1 are configured to produce the following cross-tabular output:
-
All the implicit grouping columns not referred to in the
pivot_clause, followed by -
New columns corresponding to values in the
pivot_in_clause. Each aggregated value is transposed to the appropriate new column in the cross-tabulation. If you specify theXMLkeyword, then the result is a single new column that expresses the data as an XML string. The database generates a name for each new column. If you do not provide an alias for an aggregation function, then the database uses each pivot column value as the name for each new column to which that aggregated value is transposed. If you provide an alias for an aggregation function, then the database generates a name for each new column to which that aggregated value is transposed by concatenating the pivot column name, the underscore character (_), and the aggregation function alias. If a generated column name exceeds the maximum length of a column name, then an ORA-00918 error is returned. To avoid this issue, specify a shorter alias for the pivot column heading, the aggregation function, or both.
-
The subclauses of the pivot_clause have the following semantics:
XML
The optional XML keyword generates XML output for the query. The XML keyword permits the pivot_in_clause to contain either a subquery or the wildcard keyword ANY. Subqueries and ANY wildcards are useful when the pivot_in_clause values are not known in advance. With XML output, the values of the pivot column are evaluated at execution time. You cannot specify XML when you specify explicit pivot values using expressions in the pivot_in_clause.
When XML output is generated, the aggregate function is applied to each distinct pivot value, and the database returns a column of XMLType containing an XML string for all value and measure pairs.
expr
For expr, specify an expression that evaluates to a constant value of a pivot column. You can optionally provide an alias for each pivot column value. If there is no alias, the column heading becomes a quoted identifier.
subquery
A subquery is used only in conjunction with the XML keyword. When you specify a subquery, all values found by the subquery are used for pivoting. The output is not the same cross-tabular format returned by non-XML pivot queries. Instead of multiple columns specified in the pivot_in_clause, the subquery produces a single XML string column. The XML string for each row holds aggregated data corresponding to the implicit GROUP BY value of that row. The XML string for each output row includes all pivot values found by the subquery, even if there are no corresponding rows in the input data.
The subquery must return a list of unique values at the execution time of the pivot query. If the subquery does not return a unique value, then Oracle Database raises a run-time error. Use the DISTINCT keyword in the subquery if you are not sure the query will return unique values.
ANY
The ANY keyword is used only in conjunction with the XML keyword. The ANY keyword acts as a wildcard and is similar in effect to subquery. The output is not the same cross-tabular format returned by non-XML pivot queries. Instead of multiple columns specified in the pivot_in_clause, the ANY keyword produces a single XML string column. The XML string for each row holds aggregated data corresponding to the implicit GROUP BY value of that row. However, in contrast to the behavior when you specify subquery, the ANY wildcard produces an XML string for each output row that includes only the pivot values found in the input data corresponding to that row.
See Also:
Oracle Database Data Warehousing Guide for more information about PIVOT and UNPIVOT and "Using PIVOT and UNPIVOT: Examples"
unpivot_clause
The unpivot_clause rotates columns into rows.
-
The
INCLUDE|EXCLUDENULLSclause gives you the option of including or excluding null-valued rows.INCLUDENULLScauses the unpivot operation to include null-valued rows;EXCLUDENULLSeliminates null-values rows from the return set. If you omit this clause, then the unpivot operation excludes nulls. -
For
column, specify a name for each output column that will hold measure values, such assales_quantity. -
In the
pivot_for_clause, specify a name for each output column that will hold descriptor values, such as quarter or product. -
In the
unpivot_in_clause, specify the input data columns whose names will become values in the output columns of thepivot_for_clause. These input data columns have names specifying a category value, such as Q1, Q2, Q3, Q4. The optionalASclause lets you map the input data column names to the specifiedliteralvalues in the output columns.
The unpivot operation turns a set of value columns into one column. Therefore, the data types of all the value columns must be in the same data type group, such as numeric or character.
-
If all the value columns are
CHAR, then the unpivoted column isCHAR. If any value column isVARCHAR2, then the unpivoted column isVARCHAR2. -
If all the value columns are
NUMBER, then the unpivoted column isNUMBER. If any value column isBINARY_DOUBLE, then the unpivoted column isBINARY_DOUBLE. If no value column isBINARY_DOUBLEbut any value column isBINARY_FLOAT, then the unpivoted column isBINARY_FLOAT.
containers_clause
The CONTAINERS clause is useful in a multitenant container database (CDB). This clause lets you query data in the specified table or view across all containers in a CDB.
-
To query data in a CDB, you must be a common user connected to the CDB root, and the table or view must exist in the root and all PDBs. The query returns all rows from the table or view in the CDB root and in all open PDBs.
-
To query data in an application container, you must be a common user connected to the application root, and the table or view must exist in the application root and all PDBs in the application container. The query returns all rows from the table or view in the application root and in all open PDBs in the application container.
The table or view must be in your own schema. It is not necessary to specify schema, but if you do then you must specify your own schema.
The query returns all rows from the table or view in the root and in all open PDBs, except PDBs that are open in RESTRICTED mode. If the queried table or view does not already contain a CON_ID column, then the query adds a CON_ID column to the query result, which identifies the container whose data a given row represents.
See Also:
-
Oracle Database Administrator's Guide for more information on the
CONTAINERSclause
join_clause
Use the appropriate join_clause syntax to identify tables that are part of a join from which to select data. The inner_cross_join_clause lets you specify an inner or cross join. The outer_join_clause lets you specify an outer join. The cross_outer_apply_clause lets you specify a variation of an ANSI CROSS JOIN or an ANSI LEFT OUTER JOIN with left correlation support.
When you join more than two row sources, you can use parentheses to override default precedence. For example, the following syntax:
SELECT ... FROM a JOIN (b JOIN c) ...
results in a join of b and c, and then a join of that result set with a.
See Also:
"Joins" for more information on joins, "Using Join Queries: Examples", "Using Self Joins: Example", and "Using Outer Joins: Examples"
inner_cross_join_clause
Inner joins return only those rows that satisfy the join condition.
INNER
Specify INNER to explicitly specify an inner join.
JOIN
The JOIN keyword explicitly states that a join is being performed. You can use this syntax to replace the comma-delimited table expressions used in WHERE clause joins with FROM clause join syntax.
ON condition
Use the ON clause to specify a join condition. Doing so lets you specify join conditions separate from any search or filter conditions in the WHERE clause.
USING (column)
When you are specifying an equijoin of columns that have the same name in both tables, the USING column clause indicates the columns to be used. You can use this clause only if the join columns in both tables have the same name. Within this clause, do not qualify the column name with a table name or table alias.
The CROSS keyword indicates that a cross join is being performed. A cross join produces the cross-product of two relations and is essentially the same as the comma-delimited Oracle Database notation.
NATURAL
The NATURAL keyword indicates that a natural join is being performed. Refer to NATURAL for the full semantics of this clause.
outer_join_clause
Outer joins return all rows that satisfy the join condition and also return some or all of those rows from one table for which no rows from the other satisfy the join condition. You can specify two types of outer joins: a conventional outer join using the table_reference syntax on both sides of the join, or a partitioned outer join using the query_partition_clause on one side or the other. A partitioned outer join is similar to a conventional outer join except that the join takes place between the outer table and each partition of the inner table. This type of join lets you selectively make sparse data more dense along the dimensions of interest. This process is called data densification.
query_partition_clause
The query_partition_clause lets you define a partitioned outer join. Such a join extends the conventional outer join syntax by applying the outer join to partitions returned by the query. Oracle Database creates a partition of rows for each expression you specify in the PARTITION BY clause. The rows in each query partition have same value for the PARTITION BY expression.
The query_partition_clause can be on either side of the outer join. The result of a partitioned outer join is a UNION of the outer joins of each of the partitions in the partitioned result set and the table on the other side of the join. This type of result is useful for filling gaps in sparse data, which simplifies analytic calculations.
If you omit this clause, then the database treats the entire table expression—everything specified in table_reference—as a single partition, resulting in a conventional outer join.
To use the query_partition_clause in an analytic function, use the upper branch of the syntax (without parentheses). To use this clause in a model query (in the model_column_clauses) or a partitioned outer join (in the outer_join_clause), use the lower branch of the syntax (with parentheses).
Restrictions on Partitioned Outer Joins
Partitioned outer joins are subject to the following restrictions:
-
You can specify the
query_partition_clauseon either the right or left side of the join, but not both. -
You cannot specify a
FULLpartitioned outer join. -
If you specify the
query_partition_clausein an outer join with anONclause, then you cannot specify a subquery in theONcondition.
See Also:
The NATURAL keyword indicates that a natural join is being performed. A natural join is based on all columns in the two tables that have the same name. It selects rows from the two tables that have equal values in the relevant columns. If two columns with the same name do not have compatible data types, then an error is raised. When specifying columns that are involved in the natural join, do not qualify the column name with a table name or table alias.
On occasion, the table pairings in natural or cross joins may be ambiguous. For example, consider the following join syntax:
a NATURAL LEFT JOIN b LEFT JOIN c ON b.c1 = c.c1
This example can be interpreted in either of the following ways:
a NATURAL LEFT JOIN (b LEFT JOIN c ON b.c1 = c.c1) (a NATURAL LEFT JOIN b) LEFT JOIN c ON b.c1 = c.c1
To avoid this ambiguity, you can use parentheses to specify the pairings of joined tables. In the absence of such parentheses, the database uses left associativity, pairing the tables from left to right.
Restriction on Natural Joins
You cannot specify a LOB column, columns of ANYTYPE, ANYDATA, or ANYDATASET, or a collection column as part of a natural join.
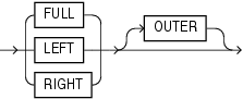
outer_join_type
The outer_join_type indicates the kind of outer join being performed:
-
Specify
RIGHTto indicate a right outer join. -
Specify
LEFTto indicate a left outer join. -
Specify
FULLto indicate a full or two-sided outer join. In addition to the inner join, rows from both tables that have not been returned in the result of the inner join will be preserved and extended with nulls. -
You can specify the optional
OUTERkeyword followingRIGHT,LEFT, orFULLto explicitly clarify that an outer join is being performed.
ON condition
Use the ON clause to specify a join condition. Doing so lets you specify join conditions separate from any search or filter conditions in the WHERE clause.
Restriction on the ON condition Clause
You cannot specify this clause with a NATURAL outer join.
USING column
In an outer join with the USING clause, the query returns a single column which is a coalesce of the two matching columns in the join. The coalesce functions as follows:
COALESCE (a, b) = a if a NOT NULL, else b.
Therefore:
-
A left outer join returns all the common column values from the left table in the
FROMclause. -
A right outer join returns all the common column values from the right table in the
FROMclause. -
A full outer join returns all the common column values from both joined tables.
Restriction on the USING column Clause
The USING column clause is subject to the following restrictions:
-
Within this clause, do not qualify the column name with a table name or table alias.
-
You cannot specify a LOB column or a collection column in the
USINGcolumnclause. -
You cannot specify this clause with a
NATURALouter join.
See Also:
-
"Outer Joins" for additional rules and restrictions pertaining to outer joins
-
Oracle Database Data Warehousing Guide for a complete discussion of partitioned outer joins and data densification
cross_outer_apply_clause
This clause allows you to perform a variation of an ANSI CROSS JOIN or an ANSI LEFT OUTER JOIN with left correlation support. You can specify a table_reference or collection_expression to the right of the APPLY keyword. The table_reference can be a table, inline view, or TABLE collection expression. The collection_expression can be a subquery, a column, a function, or a collection constructor. Regardless of its form, it must return a collection value—that is, a value whose type is nested table or varray. The table_reference or collection_expression can reference columns of tables defined in the FROM clause to the left of the APPLY keyword. This is called left correlation.
-
Specify
CROSSAPPLYto perform a variation of an ANSICROSSJOIN. Only rows from the table on the left side of the join that produce a result set fromtable_referenceorcollection_expressionare returned. -
Specify
OUTERAPPLYto perform a variation of an ANSILEFTOUTERJOIN. All rows from the table on the left side of the join are returned. Rows that do not produce a result set fromtable_referenceorcollection_expressionhave the NULL value in the corresponding column(s).
Restriction on the cross_outer_apply_clause
The table_reference cannot be a lateral inline view.
where_clause
The WHERE condition lets you restrict the rows selected to those that satisfy one or more conditions. For condition, specify any valid SQL condition.
If you omit this clause, then the database returns all rows from the tables, views, or materialized views in the FROM clause.
Note:
If this clause refers to a DATE column of a partitioned table or index, then the database performs partition pruning only if:
-
You created the table or index partitions by fully specifying the year using the
TO_DATEfunction with a 4-digit format mask, and -
You specify the date in the
where_clauseof the query using theTO_DATEfunction and either a 2- or 4-digit format mask.
See Also:
-
Conditions for the syntax description of
condition
hierarchical_query_clause
The hierarchical_query_clause lets you select rows in a hierarchical order.
SELECT statements that contain hierarchical queries can contain the LEVEL pseudocolumn in the select list. LEVEL returns the value 1 for a root node, 2 for a child node of a root node, 3 for a grandchild, and so on. The number of levels returned by a hierarchical query may be limited by available user memory.
Oracle processes hierarchical queries as follows:
-
A join, if present, is evaluated first, whether the join is specified in the
FROMclause or withWHEREclause predicates. -
The
CONNECTBYcondition is evaluated. -
Any remaining
WHEREclause predicates are evaluated.
If you specify this clause, then do not specify either ORDER BY or GROUP BY, because they will destroy the hierarchical order of the CONNECT BY results. If you want to order rows of siblings of the same parent, then use the ORDER SIBLINGS BY clause.
See Also:
"Hierarchical Queries" for a discussion of hierarchical queries and "Using the LEVEL Pseudocolumn: Examples"
START WITH Clause
Specify a condition that identifies the row(s) to be used as the root(s) of a hierarchical query. The condition can be any condition as described in Conditions. Oracle Database uses as root(s) all rows that satisfy this condition. If you omit this clause, then the database uses all rows in the table as root rows.
CONNECT BY Clause
Specify a condition that identifies the relationship between parent rows and child rows of the hierarchy. The condition can be any condition as described in Conditions. However, it must use the PRIOR operator to refer to the parent row.
See Also:
-
Pseudocolumns for more information on
LEVEL -
"Hierarchical Queries" for general information on hierarchical queries
group_by_clause
Specify the GROUP BY clause if you want the database to group the selected rows based on the value of expr(s) for each row and return a single row of summary information for each group. If this clause contains CUBE or ROLLUP extensions, then the database produces superaggregate groupings in addition to the regular groupings.
Expressions in the GROUP BY clause can contain any columns of the tables, views, or materialized views in the FROM clause, regardless of whether the columns appear in the select list.
The GROUP BY clause groups rows but does not guarantee the order of the result set. To order the groupings, use the ORDER BY clause.
See Also:
-
Oracle Database Data Warehousing Guide for an expanded discussion and examples of using SQL grouping syntax for data aggregation
-
the GROUP_ID, GROUPING, and GROUPING_ID functions for examples
-
Restrictions for Linguistic Collations for information on implications of how
GROUPBYcharacter values are compared linguistically -
Appendix C in Oracle Database Globalization Support Guide for the collation determination rules for the expressions in the
GROUPBYclause
The ROLLUP operation in the simple_grouping_clause groups the selected rows based on the values of the first n, n-1, n-2, ... 0 expressions in the GROUP BY specification, and returns a single row of summary for each group. You can use the ROLLUP operation to produce subtotal values by using it with the SUM function. When used with SUM, ROLLUP generates subtotals from the most detailed level to the grand total. Aggregate functions such as COUNT can be used to produce other kinds of superaggregates.
For example, given three expressions (n=3) in the ROLLUP clause of the simple_grouping_clause, the operation results in n+1 = 3+1 = 4 groupings.
Rows grouped on the values of the first n expressions are called regular rows, and the others are called superaggregate rows.
See Also:
Oracle Database Data Warehousing Guide for information on using ROLLUP with materialized views
The CUBE operation in the simple_grouping_clause groups the selected rows based on the values of all possible combinations of expressions in the specification. It returns a single row of summary information for each group. You can use the CUBE operation to produce cross-tabulation values.
For example, given three expressions (n=3) in the CUBE clause of the simple_grouping_clause, the operation results in 2n = 23 = 8 groupings. Rows grouped on the values of n expressions are called regular rows, and the rest are called superaggregate rows.
See Also:
-
Oracle Database Data Warehousing Guide for information on using
CUBEwith materialized views
GROUPING SETS are a further extension of the GROUP BY clause that let you specify multiple groupings of data. Doing so facilitates efficient aggregation by pruning the aggregates you do not need. You specify just the desired groups, and the database does not need to perform the full set of aggregations generated by CUBE or ROLLUP. Oracle Database computes all groupings specified in the GROUPING SETS clause and combines the results of individual groupings with a UNION ALL operation. The UNION ALL means that the result set can include duplicate rows.
Within the GROUP BY clause, you can combine expressions in various ways:
-
To specify composite columns, group columns within parentheses so that the database treats them as a unit while computing
ROLLUPorCUBEoperations. -
To specify concatenated grouping sets, separate multiple grouping sets,
ROLLUP, andCUBEoperations with commas so that the database combines them into a singleGROUPBYclause. The result is a cross-product of groupings from each grouping set.
See Also:
Use the HAVING clause to restrict the groups of returned rows to those groups for which the specified condition is TRUE. If you omit this clause, then the database returns summary rows for all groups.
Specify GROUP BY and HAVING after the where_clause and hierarchical_query_clause. If you specify both GROUP BY and HAVING, then they can appear in either order.
See Also:
Restrictions on the GROUP BY Clause
This clause is subject to the following restrictions:
-
You cannot specify LOB columns, nested tables, or varrays as part of
expr. -
The expressions can be of any form except scalar subquery expressions.
-
If the
group_by_clausereferences any object type columns, then the query will not be parallelized.
model_clause
The model_clause lets you view selected rows as a multidimensional array and randomly access cells within that array. Using the model_clause, you can specify a series of cell assignments, referred to as rules, that invoke calculations on individual cells and ranges of cells. These rules operate on the results of a query and do not update any database tables.
When using the model_clause in a query, the SELECT and ORDER BY clauses must refer only to those columns defined in the model_column_clauses.
See Also:
-
The syntax description of
exprin "About SQL Expressions" and the syntax description ofconditionin Conditions -
Oracle Database Data Warehousing Guide for an expanded discussion and examples
main_model
The main_model clause defines how the selected rows will be viewed in a multidimensional array and what rules will operate on which cells in that array.
model_column_clauses
The model_column_clauses define and classify the columns of a query into three groups: partition columns, dimension columns, and measure columns. For expr, you can specify a column, constant, host variable, single-row function, aggregate function, or any expression involving them. If expr is a column, then the column alias (c_alias) is optional. If expr is not a column, then the column alias is required. If you specify a column alias, then you must use the alias to refer to the column in the model_rules_clause, SELECT list, and the query ORDER BY clauses.
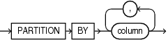
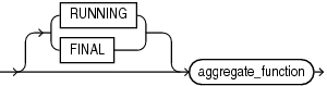
PARTITION BY
The PARTITION BY clause specifies the columns that will be used to divide the selected rows into partitions based on the values of the specified columns.
DIMENSION BY
The DIMENSION BY clause specifies the columns that will identify a row within a partition. The values of the dimension columns, along with those of the partition columns, serve as array indexes to the measure columns within a row.
MEASURES
The MEASURES clause identifies the columns on which the calculations can be performed. Measure columns in individual rows are treated like cells that you can reference, by specifying the values for the partition and dimension columns, and update.
cell_reference_options
Use the cell_reference_options clause to specify how null and absent values are treated in rules and how column uniqueness is constrained.
IGNORE NAV
When you specify IGNORE NAV, the database returns the following values for the null and absent values of the data type specified:
-
Zero for numeric data types
-
01-JAN-2000 for datetime data types
-
An empty string for character data types
-
Null for all other data types
KEEP NAV
When you specify KEEP NAV, the database returns null for both null and absent cell values. KEEP NAV is the default.
UNIQUE SINGLE REFERENCE
When you specify UNIQUE SINGLE REFERENCE, the database checks only single-cell references on the right-hand side of the rule for uniqueness, not the entire query result set.
UNIQUE DIMENSION
When you specify UNIQUE DIMENSION, the database checks that the PARTITION BY and DIMENSION BY columns form a unique key to the query. UNIQUE DIMENSION is the default.
model_rules_clause
Use the model_rules_clause to specify the cells to be updated, the rules for updating those cells, and optionally, how the rules are to be applied and processed.
Each rule represents an assignment and consists of a left-hand side and right-hand side. The left-hand side of the rule identifies the cells to be updated by the right-hand side of the rule. The right-hand side of the rule evaluates to the values to be assigned to the cells specified on the left-hand side of the rule.
UPSERT ALL
UPSERT ALL allows UPSERT behavior for a rule with both positional and symbolic references on the left-hand side of the rule. When evaluating an UPSERT ALL rule, Oracle performs the following steps to create a list of cell references to be upserted:
-
Find the existing cells that satisfy all the symbolic predicates of the cell reference.
-
Using just the dimensions that have symbolic references, find the distinct dimension value combinations of these cells.
-
Perform a cross product of these value combinations with the dimension values specified by way of positional references.
Refer to Oracle Database Data Warehousing Guide for more information on the semantics of UPSERT ALL.
UPSERT
When you specify UPSERT, the database applies the rules to those cells referenced on the left-hand side of the rule that exist in the multidimensional array, and inserts new rows for those that do not exist. UPSERT behavior applies only when positional referencing is used on the left-hand side and a single cell is referenced. UPSERT is the default. Refer to cell_assignment for more information on positional referencing and single-cell references.
UPDATE and UPSERT can be specified for individual rules as well. When either UPDATE or UPSERT is specified for a specific rule, it takes precedence over the option specified in the RULES clause.
Note:
If an UPSERT ALL, UPSERT, or UPDATE rule does not contain the appropriate predicates, then the database may implicitly convert it to a different type of rule:
-
If an
UPSERTrule contains an existential predicate, then the rule is treated as anUPDATErule. -
An
UPSERTALLrule must have at least one existential predicate and one qualified predicate on its left side. If it has no existential predicate, then it is treated as anUPSERTrule. If it has no qualified predicate, then it is treated as anUPDATErule
UPDATE
When you specify UPDATE, the database applies the rules to those cells referenced on the left-hand side of the rule that exist in the multidimensional array. If the cells do not exist, then the assignment is ignored.
AUTOMATIC ORDER
When you specify AUTOMATIC ORDER, the database evaluates the rules based on their dependency order. In this case, a cell can be assigned a value once only.
SEQUENTIAL ORDER
When you specify SEQUENTIAL ORDER, the database evaluates the rules in the order they appear. In this case, a cell can be assigned a value more than once. SEQUENTIAL ORDER is the default.
ITERATE ... [UNTIL]
Use ITERATE ... [UNTIL] to specify the number of times to cycle through the rules and, optionally, an early termination condition. The parentheses around the UNTIL condition are optional.
When you specify ITERATE ... [UNTIL], rules are evaluated in the order in which they appear. Oracle Database returns an error if both AUTOMATIC ORDER and ITERATE ... [UNTIL] are specified in the model_rules_clause.
cell_assignment
The cell_assignment clause, which is the left-hand side of the rule, specifies one or more cells to be updated. When a cell_assignment references a single cell, it is called a single-cell reference. When more than one cell is referenced, it is called a multiple-cell reference.
All dimension columns defined in the model_clause must be qualified in the cell_assignment clause. A dimension can be qualified using either symbolic or positional referencing.
A symbolic reference qualifies a single dimension column using a Boolean condition like dimension_column=constant. A positional reference is one where the dimension column is implied by its position in the DIMENSION BY clause. The only difference between symbolic references and positional references is in the treatment of nulls.
Using a single-cell symbolic reference such as a[x=null,y=2000], no cells qualify because x=null evaluates to FALSE. However, using a single-cell positional reference such as a[null,2000], a cell where x is null and y is 2000 qualifies because null = null evaluates to TRUE. With single-cell positional referencing, you can reference, update, and insert cells where dimension columns are null.
You can specify a condition or an expression representing a dimension column value using either symbolic or positional referencing. condition cannot contain aggregate functions or the CV function, and condition must reference a single dimension column. expr cannot contain a subquery. Refer to "Model Expressions" for information on model expressions.
single_column_for_loop
The single_column_for_loop clause lets you specify a range of cells to be updated within a single dimension column.
The IN clause lets you specify the values of the dimension column as either a list of values or as a subquery. When using subquery, it cannot:
-
Be a correlated query
-
Return more than 10,000 rows
-
Be a query defined in the
WITHclause
The FROM clause lets you specify a range of values for a dimension column with discrete increments within the range. The FROM clause can only be used for those columns with a data type for which addition and subtraction is supported. The INCREMENT and DECREMENT values must be positive.
Optionally, you can specify the LIKE clause within the FROM clause. In the LIKE clause, pattern is a character string containing a single pattern-matching character %. This character is replaced during execution with the current incremented or decremented value in the FROM clause.
If all dimensions other than those used by a FOR loop involve a single-cell reference, then the expressions can insert new rows. The number of dimension value combinations generated by FOR loops is counted as part of the 10,000 row limit of the MODEL clause.
multi_column_for_loop
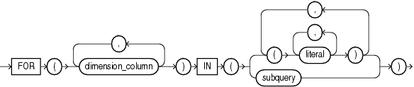
The multi_column_for_loop clause lets you specify a range of cells to be updated across multiple dimension columns. The IN clause lets you specify the values of the dimension columns as either multiple lists of values or as a subquery. When using subquery, it cannot:
-
Be a correlated query
-
Return more than 10,000 rows
-
Be a query defined in the
WITHclause
If all dimensions other than those used by a FOR loop involve a single-cell reference, then the expressions can insert new rows. The number of dimension value combinations generated by FOR loops is counted as part of the 10,000 row limit of the MODEL clause.
See Also:
Oracle Database Data Warehousing Guide for more information about using FOR loops in the MODEL clause
order_by_clause
Use the ORDER BY clause to specify the order in which cells on the left-hand side of the rule are to be evaluated. The expr must resolve to a dimension or measure column. If the ORDER BY clause is not specified, then the order defaults to the order of the columns as specified in the DIMENSION BY clause. See order_by_clause for more information.
Restrictions on the order_by_clause
Use of the ORDER BY clause in the model rule is subject to the following restrictions:
-
You cannot specify
SIBLINGS,position, orc_aliasin theorder_by_clauseof themodel_clause. -
You cannot specify this clause on the left-hand side of the model rule and also specify a
FORloop on the right-hand side of the rule.
expr
Specify an expression representing the value or values of the cell or cells specified on the right-hand side of the rule. expr cannot contain a subquery. Refer to "Model Expressions" for information on model expressions.
return_rows_clause
The return_rows_clause lets you specify whether to return all rows selected or only those rows updated by the model rules. ALL is the default.
reference_model
Use the reference_model clause when you need to access multiple arrays from inside the model_clause. This clause defines a read-only multidimensional array based on the results of a query.
The subclauses of the reference_model clause have the same semantics as for the main_model clause. Refer to model_column_clauses and cell_reference_options.
Restrictions on the reference_model Clause
This clause is subject to the following restrictions:
-
PARTITIONBYcolumns cannot be specified for reference models. -
The subquery of the reference model cannot refer to columns in an outer subquery.
Set Operators: UNION, UNION ALL, INTERSECT, MINUS
The set operators combine the rows returned by two SELECT statements into a single result. The number and data types of the columns selected by each component query must be the same, but the column lengths can be different. The names of the columns in the result set are the names of the expressions in the select list preceding the set operator.
If you combine more than two queries with set operators, then the database evaluates adjacent queries from left to right. The parentheses around the subquery are optional. You can use them to specify a different order of evaluation.
Refer to "The UNION [ALL], INTERSECT, MINUS Operators" for information on these operators, including restrictions on their use.
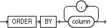
order_by_clause
Use the ORDER BY clause to order rows returned by the statement. Without an order_by_clause, no guarantee exists that the same query executed more than once will retrieve rows in the same order.
The SIBLINGS keyword is valid only if you also specify the hierarchical_query_clause (CONNECT BY). ORDER SIBLINGS BY preserves any ordering specified in the hierarchical query clause and then applies the order_by_clause to the siblings of the hierarchy.
expr
expr orders rows based on their value for expr. The expression is based on columns in the select list or columns in the tables, views, or materialized views in the FROM clause.
position
Specify position to order rows based on their value for the expression in this position of the select list. The position value must be an integer.
You can specify multiple expressions in the order_by_clause. Oracle Database first sorts rows based on their values for the first expression. Rows with the same value for the first expression are then sorted based on their values for the second expression, and so on. The database sorts nulls following all others in ascending order and preceding all others in descending order. Refer to "Sorting Query Results" for a discussion of ordering query results.
ASC | DESC
Specify whether the ordering sequence is ascending or descending. ASC is the default.
NULLS FIRST | NULLS LAST
Specify whether returned rows containing null values should appear first or last in the ordering sequence.
NULLS LAST is the default for ascending order, and NULLS FIRST is the default for descending order.
Restrictions on the ORDER BY Clause
The following restrictions apply to the ORDER BY clause:
-
If you have specified the
DISTINCToperator in this statement, then this clause cannot refer to columns unless they appear in the select list. -
An
order_by_clausecan contain no more than 255 expressions. -
You cannot order by a LOB,
LONG, orLONGRAWcolumn, nested table, or varray. -
If you specify a group_by_clause in the same statement, then this
order_by_clauseis restricted to the following expressions:-
Constants
-
Aggregate functions
-
Analytic functions
-
The functions
USER,UID, andSYSDATE -
Expressions identical to those in the
group_by_clause -
Expressions comprising the preceding expressions that evaluate to the same value for all rows in a group
-
See Also:
-
Restrictions for Linguistic Collations for information on implications of how
ORDERBYcharacter values are compared linguistically -
Appendix C in Oracle Database Globalization Support Guide for the collation determination rules for the expressions in the
ORDERBYclause
row_limiting_clause
The row_limiting_clause allows you to limit the rows returned by the query. You can specify an offset, and the number of rows or percentage of rows to return. You can use this clause to implement top-N reporting. For consistent results, specify the order_by_clause to ensure a deterministic sort order.
OFFSET
Use this clause to specify the number of rows to skip before row limiting begins. offset must be a number or an expression that evaluates to a numeric value. If you specify a negative number, then offset is treated as 0. If you specify NULL, or a number greater than or equal to the number of rows returned by the query, then 0 rows are returned. If offset includes a fraction, then the fractional portion is truncated. If you do not specify this clause, then offset is 0 and row limiting begins with the first row.
ROW | ROWS
These keywords can be used interchangeably and are provided for semantic clarity.
FETCH
Use this clause to specify the number of rows or percentage of rows to return. If you do not specify this clause, then all rows are returned, beginning at row offset + 1.
FIRST | NEXT
These keywords can be used interchangeably and are provided for semantic clarity.
rowcount | percent PERCENT
Use rowcount to specify the number of rows to return. rowcount must be a number or an expression that evaluates to a numeric value. If you specify a negative number, then rowcount is treated as 0. If rowcount is greater than the number of rows available beginning at row offset + 1, then all available rows are returned. If rowcount includes a fraction, then the fractional portion is truncated. If rowcount is NULL, then 0 rows are returned.
Use percent PERCENT to specify the percentage of the total number of selected rows to return. percent must be a number or an expression that evaluates to a numeric value. If you specify a negative number, then percent is treated as 0. If percent is NULL, then 0 rows are returned.
If you do not specify rowcount or percent PERCENT, then 1 row is returned.
ROW | ROWS
These keywords can be used interchangeably and are provided for semantic clarity.
ONLY | WITH TIES
Specify ONLY to return exactly the specified number of rows or percentage of rows.
Specify WITH TIES to return additional rows with the same sort key as the last row fetched. If you specify WITH TIES, then you must specify the order_by_clause. If you do not specify the order_by_clause, then no additional rows will be returned.
Restrictions on the row_limiting_clause
This clause is subject to the following restrictions:
-
You cannot specify this clause with the
for_update_clause. -
If you specify this clause, then the select list cannot contain the sequence pseudocolumns
CURRVALorNEXTVAL. -
Materialized views are not eligible for an incremental refresh if the defining query contains the
row_limiting_clause. -
If the select list contains columns with identical names and you specify the
row_limiting_clause, then an ORA-00918 error occurs. This error occurs whether the identically named columns are in the same table or in different tables. You can work around this issue by specifying unique column aliases for the identically named columns.
See Also:
for_update_clause
The FOR UPDATE clause lets you lock the selected rows so that other users cannot lock or update the rows until you end your transaction. You can specify this clause only in a top-level SELECT statement, not in subqueries.
Note:
Prior to updating a LOB value, you must lock the row containing the LOB. One way to lock the row is with an embedded SELECT ... FOR UPDATE statement. You can do this using one of the programmatic languages or DBMS_LOB package. For more information on lock rows before writing to a LOB, see Oracle Database SecureFiles and Large Objects Developer's Guide.
Nested table rows are not locked as a result of locking the parent table rows. If you want the nested table rows to be locked, then you must lock them explicitly.
Restrictions on the FOR UPDATE Clause
This clause is subject to the following restrictions:
-
You cannot specify this clause with the following other constructs: the
DISTINCToperator,CURSORexpression, set operators,group_by_clause, or aggregate functions. -
The tables locked by this clause must all be located on the same database and on the same database as any
LONGcolumns and sequences referenced in the same statement.
See Also:
Using the FOR UPDATE Clause on Views
In general, this clause is not supported on views. However, in some cases, a SELECT ... FOR UPDATE query on a view can succeed without any errors. This occurs when the view has been merged to its containing query block internally by the query optimizer, and SELECT ... FOR UPDATE succeeds on the internally transformed query. The examples in this section illustrate when using the FOR UPDATE clause on a view can succeed or fail.
-
Using the
FORUPDATEclause on merged viewsAn error can occur when you use the
FORUPDATEclause on a merged view if both of the following conditions apply:-
The underlying column of the view is an expression
-
The
FORUPDATEclause applies to a column list
The following statement succeeds because the underlying column of the view is not an expression:
SELECT employee_id FROM (SELECT * FROM employees) FOR UPDATE OF employee_id;
The following statement succeeds because, while the underlying column of the view is an expression, the
FORUPDATEclause does not apply to a column list:SELECT employee_id FROM (SELECT employee_id+1 AS employee_id FROM employees) FOR UPDATE;
The following statement fails because the underlying column of the view is an expression and the
FORUPDATEclause applies to a column list:SELECT employee_id FROM (SELECT employee_id+1 AS employee_id FROM employees) FOR UPDATE OF employee_id; * Error at line 2: ORA-01733: virtual column not allowed here -
-
Using the
FORUPDATEclause on non-merged viewsSince the
FORUPDATEclause is not supported on views, anything that prevents view merging, such as theNO_MERGEhint, parameters that disallow view merging, or something in the query structure that prevents view merging, will result in anORA-02014error.In the following example, the
GROUPBYstatement prevents view merging, which causes an error:SELECT avgsal FROM (SELECT AVG(salary) AS avgsal FROM employees GROUP BY job_id) FOR UPDATE; FROM (SELECT AVG(salary) AS avgsal FROM employees GROUP BY job_id) * ERROR at line 2: ORA-02014: cannot select FOR UPDATE from view with DISTINCT, GROUP BY, etc.
Note:
Due to the complexity of the view merging mechanism, Oracle recommends against using the FOR UPDATE clause on views.
OF ... column
Use the OF ... column clause to lock the select rows only for a particular table or view in a join. The columns in the OF clause only indicate which table or view rows are locked. The specific columns that you specify are not significant. However, you must specify an actual column name, not a column alias. If you omit this clause, then the database locks the selected rows from all the tables in the query.
NOWAIT | WAIT
The NOWAIT and WAIT clauses let you tell the database how to proceed if the SELECT statement attempts to lock a row that is locked by another user.
-
Specify
NOWAITto return control to you immediately if a lock exists. -
Specify
WAITto instruct the database to waitintegerseconds for the row to become available and then return control to you.
If you specify neither WAIT nor NOWAIT, then the database waits until the row is available and then returns the results of the SELECT statement.
SKIP LOCKED
SKIP LOCKED is an alternative way to handle a contending transaction that is locking some rows of interest. Specify SKIP LOCKED to instruct the database to attempt to lock the rows specified by the WHERE clause and to skip any rows that are found to be already locked by another transaction. This feature is designed for use in multiconsumer queue environments, such as Oracle Streams Advanced Queuing. It enables queue consumers to skip rows that are locked by other consumers and obtain unlocked rows without waiting for the other consumers to finish. Oracle recommends that you use the Oracle Streams Advanced Queuing APIs instead of directly using the SKIP LOCKED functionality. Refer to Oracle Database Advanced Queuing User's Guide for more information.
Note on the WAIT and SKIP LOCKED Clauses
If you specify WAIT or SKIP LOCKED and the table is locked in exclusive mode, then the database will not return the results of the SELECT statement until the lock on the table is released. In the case of WAIT, the SELECT FOR UPDATE clause is blocked regardless of the wait time specified.
row_pattern_clause
The MATCH_RECOGNIZE clause lets you perform pattern matching. Use this clause to recognize patterns in a sequence of rows in table, which is called the row pattern input table. The result of a query that uses the MATCH_RECOGNIZE clause is called the row pattern output table.
The MATCH_RECOGNIZE enables you to do the following tasks:
-
Logically partition and order the data with the
PARTITIONBYandORDERBYclauses. -
Define measures, which are expressions usable in other parts of the SQL query, in the
MEASURESclause. -
Define patterns of rows to seek using the
PATTERNclause. These patterns use regular expression syntax, a powerful and expressive feature, applied to the pattern variables you define. -
Specify the logical conditions required to map a row to a row pattern variable in the
DEFINEclause.
See Also:
-
Oracle Database Data Warehousing Guide for more information on pattern matching
row_pattern_partition_by
Specify PARTITION BY to divide the rows in the row pattern input table into logical groups called row pattern partitions. Use column to specify one or more partitioning columns. Each partition consists of the set of rows in the row pattern input table that have the same value(s) on the partitioning column(s).
If you specify this clause, then matches are found within partitions and do not cross partition boundaries. If you do not specify this clause, then all rows of the row input table constitute a single row pattern partition.
row_pattern_order_by
Specify ORDER BY to order rows within each row pattern partition. Use column to specify one or more ordering columns. If you specify multiple columns, then Oracle Database first sorts rows based on their values for the first column. Rows with the same value for the first column are then sorted based on their values for the second column, and so on. Oracle Database sorts nulls following all others in ascending order.
If you do not specify this clause, then the result of the row_pattern_clause is nondeterministic and you may get inconsistent results each time you run the query.
row_pattern_measures
Use the MEASURES clause to define one or more row pattern measure columns. These columns are included in the row pattern output table and contain values that are useful for analyzing data.
When you define a row pattern measure column, using the row_pattern_measure_column clause, you specify its pattern measure expression. The values in the column are calculated by evaluating the pattern measure expression whenever a match is found.
row_pattern_measure_column
Use this clause to define a row pattern measure column.
-
For
expr, specify the pattern measure expression. A pattern measure expression is an expression as described in Expressions that can contain only the following elements:-
Constants: Text literals and numeric literals
-
References to any column of the row pattern input table
-
The
CLASSIFIERfunction, which returns the name of the primary row pattern variable to which the row is mapped. Refer to row_pattern_classifier_func for more information. -
The
MATCH_NUMBERfunction, which returns the sequential number of a row pattern match within the row pattern partition. Refer to row_pattern_match_num_func for more information. -
Row pattern navigation functions:
PREV,NEXT,FIRST, andLAST. Refer to row_pattern_navigation_func for more information. -
Row pattern aggregate functions: AVG, COUNT, MAX, MIN, or SUM. Refer to row_pattern_aggregate_func for more information.
-
-
For
c_alias, specify the alias for the pattern measure expression. Oracle Database uses this alias in the column heading of the row pattern output table. TheASkeyword is optional. The alias can be used in other parts of the query, such as theSELECT...ORDERBYclause.
row_pattern_rows_per_match
This clause lets you specify whether the row pattern output table includes summary or detailed data about each match.
-
If you specify
ONEROWPERMATCH, then each match produces one summary row. This is the default. -
If you specify
ALLROWSPERMATCH, then each match that spans multiple rows will produce one output row for each row in the match.
row_pattern_skip_to
This clause lets you specify the point to resume row pattern matching after a non-empty match is found.
-
Specify
AFTERMATCHSKIPTONEXTROWto resume pattern matching at the row after the first row of the current match. -
Specify
AFTERMATCHSKIPPASTLASTROWto resume pattern matching at the next row after the last row of the current match. This is the default. -
Specify
AFTERMATCHSKIPTOFIRSTvariable_nameto resume pattern matching at the first row that is mapped to pattern variablevariable_name. Thevariable_namemust be defined in theDEFINEclause. -
Specify
AFTERMATCHSKIPTOLASTvariable_nameto resume pattern matching at the last row that is mapped to pattern variablevariable_name. Thevariable_namemust be defined in theDEFINEclause. -
AFTERMATCHSKIPTOvariable_namehas the same behavior asAFTERMATCHSKIPTOLASTvariable_name.
See Also:
Oracle Database Data Warehousing Guide for more information on the AFTER MATCH SKIP clauses
PATTERN
Use the PATTERN clause to define which pattern variables must be matched, the sequence in which they must be matched, and the quantity of rows that must be matched for each pattern variable.
A row pattern match consists of a set of contiguous rows in a row pattern partition. Each row of the match is mapped to a pattern variable. The mapping of rows to pattern variables must conform to the regular expression specified in the row_pattern clause, and all conditions in the DEFINE clause must be true.
Note:
It is outside the scope of this document to explain regular expression concepts and details. If you are not familiar with regular expressions, then you are encouraged to familiarize yourself with the topic using other sources.
The precedence of the elements that you specify in the regular expression of the PATTERNS clause, in decreasing order, is as follows:
-
Row pattern elements (specified in the
row_pattern_primaryclause) -
Row pattern quantifiers (specified in the
row_pattern_quantifierclause) -
Concatenation (specified in the
row_pattern_termclause) -
Alternation (specified in the
row_patternclause)
See Also:
Oracle Database Data Warehousing Guide for more information on the PATTERN clause
row_pattern
Use this clause to specify the row pattern. A row pattern is a regular expression that can take one of the following forms:
-
A single row pattern term
For example:
PATTERN(A) -
A row pattern, a vertical bar, and a row pattern term
For example:
PATTERN(A|B) -
A recursively built row pattern, a vertical bar, and a row pattern term
For example:
PATTERN(A|B|C)
The vertical bar in this clause represents alternation. Alternation matches a single regular expression from a list of several possible regular expressions. Alternatives are preferred in the order they are specified. For example, if you specify PATTERN(A|B|C), then Oracle Database attempts to match A first. If A is not matched, then it attempts to match B. If B is not matched, then it attempts to match C.
row_pattern_term
This clause lets you specify a row pattern term. A row pattern term can take one of the following forms:
-
A single row pattern factor
For example:
PATTERN(A) -
A row pattern term followed by a row pattern factor.
For example:
PATTERN(A B) -
A recursively built row pattern term followed by a row pattern factor
For example:
PATTERN(A B C)
The syntax used in the second and third examples represents concatenation. Concatenation is used to list two or more items in a pattern to be matched and the order in which they are to be matched. For example, if you specify PATTERN(A B C), then Oracle Database first matches A, then uses the resulting matched rows to match B, then uses the resulting matched rows to match C. Only rows that match A, B, and C, are included in the row pattern match.
row_pattern_factor
This clause lets you specify a row pattern factor. A row pattern factor consists of a row pattern element, specified using the row_pattern_primary clause, and an optional row pattern quantifier, specified using the row_pattern_quantifier clause.
row_pattern_primary
Use this clause to specify the row pattern element. Table 19-1 lists the valid row pattern elements and their descriptions.
Table 19-1 Row Pattern Elements
| Row Pattern Element | Description |
|---|---|
|
|
Specify a primary pattern variable name that is defined in the |
|
|
|
|
|
|
|
|
Use |
|
|
Exclusion syntax. Use |
|
|
Use |
row_pattern_permute
Use the PERMUTE clause to express a pattern that is a permutation of the specified row pattern elements. For example, PATTERN (PERMUTE (A, B, C)) is equivalent to an alternation of all permutations of the three row pattern elements A, B, and C, similar to the following:
PATTERN (A B C | A C B | B A C | B C A | C A B | C B A)
Note that the row pattern elements are expanded lexicographically and that each element to permute must be separated by a comma from the other elements.
See Also:
Oracle Database Data Warehousing Guide for more information on permutations
row_pattern_quantifier
Use this clause to specify the row pattern quantifier, which is a postfix operator that defines the number of iterations accepted for a match.
Row pattern quantifiers are referred to as greedy; they will attempt to match as many instances of the regular expression on which they are applied as possible. The exception is row pattern quantifiers that have a question mark (?) as a suffix, which are referred to as reluctant. They will attempt to match as few instances as possible of the regular expression on which they are applied.
Table 19-2 lists the valid row pattern quantifiers and the number of iterations they accept for a match. In this table, n and m represent unsigned integers.
Table 19-2 Row Pattern Quantifiers
| Row Pattern Quantifier | Number of Iterations Accepted for a Match |
|---|---|
|
|
0 or more iterations (greedy) |
|
|
0 or more iterations (reluctant) |
|
|
1 or more iterations (greedy) |
|
|
1 or more iterations (reluctant) |
|
|
0 or 1 iterations (greedy) |
|
|
0 or 1 iterations (reluctant) |
|
|
|
|
|
|
|
|
Between |
|
|
Between |
|
|
Between 0 and |
|
|
Between 0 and |
|
|
|
See Also:
Oracle Database Data Warehousing Guide for more information on row pattern quantifiers
row_pattern_subset_clause
The SUBSET clause lets you specify one or more union row pattern variables. Use the row_pattern_subset_item clause to declare each union row pattern variable.
You can specify union row pattern variables in the following clauses:
-
MEASURESclause: In the expression for a row pattern measure column. That is, in expressionexprof therow_pattern_measure_columnclause. -
DEFINEclause: In the condition that defines a primary pattern variable. That is, inconditionof therow_pattern_definitionclause
row_pattern_subset_item
This clause lets you create a grouping of multiple pattern variables that can be referred to with a variable name of its own. The variable name that refers to this grouping is called a union row pattern variable.
-
For
variable_nameon the left side of the equal sign, specify the name of the union row pattern variable. -
On the right side of the equal sign, specify a comma-separated list of distinct primary row pattern variables within parentheses. This list cannot include any union row pattern variables.
See Also:
Oracle Database Data Warehousing Guide for more information on defining union row pattern variables
DEFINE
Use the DEFINE clause to specify one or more row pattern definitions. A row pattern definition specifies the conditions that a row must meet in order to be mapped to a specific pattern variable.
The DEFINE clause only supports running semantics.
See Also:
-
Oracle Database Data Warehousing Guide for more information on the
DEFINEclause -
Oracle Database Data Warehousing Guide for more information on running and final semantics
row_pattern_definition_list
This clause lets you specify one or more row pattern definitions.
row_pattern_definition
This clause lets you specify a row pattern definition, which contains the conditions that a row must meet in order to be mapped to the specified pattern variable.
-
For
variable_name, specify the name of the pattern variable. -
For
condition, specify a condition as described in Conditions, with the following extension:conditioncan contain any of the functions described by row_pattern_navigation_func::= and row_pattern_aggregate_func::=.
row_pattern_rec_func
This clause comprises the following clauses, which let you specify row pattern recognition functions:
-
row_pattern_classifier_func: Use this clause to specify theCLASSIFIERfunction, which returns a character string whose value is the name of the variable to which the row is mapped. -
row_pattern_match_num_func: Use this clause to specify theMATCH_NUMBERfunction, which returns a numeric value with scale 0 (zero) whose value is the sequential number of the match within the row pattern partition. -
row_pattern_navigation_func: Use this clause to specify functions that perform row pattern navigation operations. -
row_pattern_aggregate_func: Use this clause to specify an aggregate function in the expression for a row pattern measure column or in the condition that defines a primary pattern variable.
You can specify row pattern recognition functions in the following clauses:
-
MEASURESclause: In the expression for a row pattern measure column. That is, in expressionexprof therow_pattern_measure_columnclause. -
DEFINEclause: In the condition that defines a primary pattern variable. That is, inconditionof therow_pattern_definitionclause
A row pattern recognition function may behave differently depending whether you specify it in the MEASURES or DEFINE clause. These details are explained in the semantics for each clause.
row_pattern_classifier_func
The CLASSIFIER function returns a character string whose value is the name of the variable to which the row is mapped.
-
In the
MEASURESclause:-
If you specify
ONEROWPERMATCH, then the query uses the last row of the match when processing theMEASURESclause, so theCLASSIFIERfunction returns the name of the pattern variable to which the last row of the match is mapped. -
If you specify
ALLROWSPERMATCH, then for each row of the match found, theCLASSIFIERfunction returns the name of the pattern variable to which the row is mapped.
For empty matches—that is, matches that contain no rows, the
CLASSIFERfunction returns NULL. -
-
In the
DEFINEclause, theCLASSIFIERfunction returns the name of the primary pattern variable to which the current row is mapped.
row_pattern_match_num_func
The MATCH_NUMBER function returns a numeric value with scale 0 (zero) whose value is the sequential number of the match within the row pattern partition.
Matches within a row pattern partition are numbered sequentially starting with 1 in the order in which they are found. If multiple rows satisfy a match, then they are all assigned the same match number. Note that match numbering starts over again at 1 in each row pattern partition, because there is no inherent ordering between row pattern partitions.
-
In the
MEASURESclause: You can useMATCH_NUMBERto obtain the sequential number of the match within the row pattern. -
In the
DEFINEclause: You can useMATCH_NUMBERto define conditions that depend upon the match number.
row_pattern_navigation_func
This clause lets you perform the following row pattern navigation operations:
-
Navigate among the group of rows mapped to a pattern variable using the
FIRSTandLASTfunctions of therow_pattern_nav_logicalclause. -
Navigate among all rows in a row pattern partition using the
PREVandNEXTfunctions of therow_pattern_nav_physicalclause -
Nest the
FIRSTorLASTfunction within thePREVorNEXTfunction using therow_pattern_nav_compoundclause.
row_pattern_nav_logical
This clause lets you use the FIRST and LAST functions to navigate among the group of rows mapped to a pattern variable using an optional logical offset.
-
The
FIRSTfunction returns the value of expressionexprwhen evaluated in the first row of the group of rows mapped to the pattern variable that is specified inexpr. If no rows are mapped to the pattern variable, then theFIRSTfunction returns NULL. -
The
LASTfunction returns the value of expressionexprwhen evaluated in the last row of the group of rows mapped to the pattern variable that is specified inexpr. If no rows are mapped to the pattern variable, then theLASTfunction returns NULL. -
Use
exprto specify the expression to be evaluated. It must contain at least one row pattern column reference. If it contains more than one row pattern column reference, then all must refer to the same pattern variable. -
Use the optional
offsetto specify the logical offset within the set of rows mapped to the pattern variable. When specified with theFIRSTfunction, the offset is the number of rows from the first row, in ascending order. When specified with theLASTfunction, the offset is the number of rows from the last row in descending order. The default offset is 0.For
offset, specify a non-negative integer. It must be a runtime constant (literal, bind variable, or expressions involving them), but not a column or subquery.If you specify an
offsetthat is greater than or equal to the number of rows mapped to the pattern variable minus 1, then the function returns NULL.
You can specify running or final semantics for the FIRST and LAST functions as follows:
-
The
MEASURESclause supports running and final semantics. SpecifyRUNNINGfor running semantics. SpecifyFINALfor final semantics. The default isRUNNING. -
The
DEFINEclause supports only running semantics. Therefore, running semantics will be used whether you specify or omitRUNNING. You cannot specifyFINAL.See Also:
-
Oracle Database Data Warehousing Guide for more information on the
FIRSTandLASTfunctions -
Oracle Database Data Warehousing Guide for more information on running and final semantics
-
row_pattern_nav_physical
This clause lets you use the PREV and NEXT functions to navigate all rows in a row pattern partition using an optional physical offset.
-
The
PREVfunction returns the value of expressionexprwhen evaluated in the previous row in the partition. If there is no previous row in the partition, then thePREVfunction returns NULL. -
The
NEXTfunction returns the value of expressionexprwhen evaluated in the next row in the partition. If there is no next row in the partition, then the NEXT function returns NULL. -
Use
exprto specify the expression to be evaluated. It must contain at least one row pattern column reference. If it contains more than one row pattern column reference, then all must refer to the same pattern variable. -
Use the optional
offsetto specify the physical offset within the partition. When specified with thePREVfunction, it is the number of rows before the current row. When specified with theNEXTfunction, it is the number of rows after the current row. The default is 1. If you specify an offset of 0, then the current row is evaluated.For
offset, specify a non-negative integer. It must be a runtime constant (literal, bind variable, or expressions involving them), but not a column or subquery.
The PREV and NEXT functions always use running semantics. Therefore, you cannot specify the RUNNING or FINAL keywords with this clause.
See Also:
-
Oracle Database Data Warehousing Guide for more information on the
PREVandNEXTfunctions -
Oracle Database Data Warehousing Guide for more information on running and final semantics
row_pattern_nav_compound
This clause lets you nest the row_pattern_nav_logical clause within the row_pattern_nav_physical clause. That is, it lets you nest the FIRST or LAST function within the PREV or NEXT function. The row_pattern_nav_logical clause is evaluated first and then the result is supplied to the row_pattern_nav_physical clause.
Refer to row_pattern_nav_logical and row_pattern_nav_physical for the full semantics of these clauses.
See Also:
Oracle Database Data Warehousing Guide for more information on nesting the FIRST and LAST functions within the PREV and NEXT functions
row_pattern_aggregate_func
This clause lets you use an aggregate function in the expression for a row pattern measure column or in the condition that defines a primary pattern variable.
For aggregate_function, specify any one of the AVG, COUNT, MAX, MIN, or SUM functions. The DISTINCT keyword is not supported.
You can specify running or final semantics for aggregate functions as follows:
-
The
MEASURESclause supports running and final semantics. SpecifyRUNNINGfor running semantics. SpecifyFINALfor final semantics. The default isRUNNING. -
The
DEFINEclause supports only running semantics. Therefore, running semantics will be used whether you specify or omitRUNNING. You cannot specifyFINAL.
See Also:
-
Oracle Database Data Warehousing Guide for more information on aggregate functions
-
Oracle Database Data Warehousing Guide for more information on running and final semantics
Examples
Using a PL/SQL Function in the WITH Clause: Examples
The following example declares and defines a PL/SQL function get_domain in the WITH clause. The get_domain function returns the domain name from a URL string, assuming that the URL string has the "www" prefix immediately preceding the domain name, and the domain name is separated by dots on the left and right. The SELECT statement uses get_domain to find distinct catalog domain names from the orders table in the oe schema.
WITH FUNCTION get_domain(url VARCHAR2) RETURN VARCHAR2 IS pos BINARY_INTEGER; len BINARY_INTEGER; BEGIN pos := INSTR(url, 'www.'); len := INSTR(SUBSTR(url, pos + 4), '.') - 1; RETURN SUBSTR(url, pos + 4, len); END; SELECT DISTINCT get_domain(catalog_url) FROM product_information; /
Subquery Factoring: Example
The following statement creates the query names dept_costs and avg_cost for the initial query block containing a join, and then uses the query names in the body of the main query.
WITH
dept_costs AS (
SELECT department_name, SUM(salary) dept_total
FROM employees e, departments d
WHERE e.department_id = d.department_id
GROUP BY department_name),
avg_cost AS (
SELECT SUM(dept_total)/COUNT(*) avg
FROM dept_costs)
SELECT * FROM dept_costs
WHERE dept_total >
(SELECT avg FROM avg_cost)
ORDER BY department_name;
DEPARTMENT_NAME DEPT_TOTAL
------------------------------ ----------
Sales 304500
Shipping 156400Recursive Subquery Factoring: Examples
The following statement shows the employees who directly or indirectly report to employee 101 and their reporting level.
WITH
reports_to_101 (eid, emp_last, mgr_id, reportLevel) AS
(
SELECT employee_id, last_name, manager_id, 0 reportLevel
FROM employees
WHERE employee_id = 101
UNION ALL
SELECT e.employee_id, e.last_name, e.manager_id, reportLevel+1
FROM reports_to_101 r, employees e
WHERE r.eid = e.manager_id
)
SELECT eid, emp_last, mgr_id, reportLevel
FROM reports_to_101
ORDER BY reportLevel, eid;
EID EMP_LAST MGR_ID REPORTLEVEL
---------- ------------------------- ---------- -----------
101 Kochhar 100 0
108 Greenberg 101 1
200 Whalen 101 1
203 Mavris 101 1
204 Baer 101 1
205 Higgins 101 1
109 Faviet 108 2
110 Chen 108 2
111 Sciarra 108 2
112 Urman 108 2
113 Popp 108 2
206 Gietz 205 2
The following statement shows employees who directly or indirectly report to employee 101, their reporting level, and their management chain.
WITH
reports_to_101 (eid, emp_last, mgr_id, reportLevel, mgr_list) AS
(
SELECT employee_id, last_name, manager_id, 0 reportLevel,
CAST(manager_id AS VARCHAR2(2000))
FROM employees
WHERE employee_id = 101
UNION ALL
SELECT e.employee_id, e.last_name, e.manager_id, reportLevel+1,
CAST(mgr_list || ',' || manager_id AS VARCHAR2(2000))
FROM reports_to_101 r, employees e
WHERE r.eid = e.manager_id
)
SELECT eid, emp_last, mgr_id, reportLevel, mgr_list
FROM reports_to_101
ORDER BY reportLevel, eid;
EID EMP_LAST MGR_ID REPORTLEVEL MGR_LIST
---------- ------------------------- ---------- ----------- --------
101 Kochhar 100 0 100
108 Greenberg 101 1 100,101
200 Whalen 101 1 100,101
203 Mavris 101 1 100,101
204 Baer 101 1 100,101
205 Higgins 101 1 100,101
109 Faviet 108 2 100,101,108
110 Chen 108 2 100,101,108
111 Sciarra 108 2 100,101,108
112 Urman 108 2 100,101,108
113 Popp 108 2 100,101,108
206 Gietz 205 2 100,101,205
The following statement shows the employees who directly or indirectly report to employee 101 and their reporting level. It stops at reporting level 1.
WITH
reports_to_101 (eid, emp_last, mgr_id, reportLevel) AS
(
SELECT employee_id, last_name, manager_id, 0 reportLevel
FROM employees
WHERE employee_id = 101
UNION ALL
SELECT e.employee_id, e.last_name, e.manager_id, reportLevel+1
FROM reports_to_101 r, employees e
WHERE r.eid = e.manager_id
)
SELECT eid, emp_last, mgr_id, reportLevel
FROM reports_to_101
WHERE reportLevel <= 1
ORDER BY reportLevel, eid;
EID EMP_LAST MGR_ID REPORTLEVEL
---------- ------------------------- ---------- -----------
101 Kochhar 100 0
108 Greenberg 101 1
200 Whalen 101 1
203 Mavris 101 1
204 Baer 101 1
205 Higgins 101 1
The following statement shows the entire organization, indenting for each level of management.
WITH
org_chart (eid, emp_last, mgr_id, reportLevel, salary, job_id) AS
(
SELECT employee_id, last_name, manager_id, 0 reportLevel, salary, job_id
FROM employees
WHERE manager_id is null
UNION ALL
SELECT e.employee_id, e.last_name, e.manager_id,
r.reportLevel+1 reportLevel, e.salary, e.job_id
FROM org_chart r, employees e
WHERE r.eid = e.manager_id
)
SEARCH DEPTH FIRST BY emp_last SET order1
SELECT lpad(' ',2*reportLevel)||emp_last emp_name, eid, mgr_id, salary, job_id
FROM org_chart
ORDER BY order1;
EMP_NAME EID MGR_ID SALARY JOB_ID
-------------------- ---------- ---------- ---------- ----------
King 100 24000 AD_PRES
Cambrault 148 100 11000 SA_MAN
Bates 172 148 7300 SA_REP
Bloom 169 148 10000 SA_REP
Fox 170 148 9600 SA_REP
Kumar 173 148 6100 SA_REP
Ozer 168 148 11500 SA_REP
Smith 171 148 7400 SA_REP
De Haan 102 100 17000 AD_VP
Hunold 103 102 9000 IT_PROG
Austin 105 103 4800 IT_PROG
Ernst 104 103 6000 IT_PROG
Lorentz 107 103 4200 IT_PROG
Pataballa 106 103 4800 IT_PROG
Errazuriz 147 100 12000 SA_MAN
Ande 166 147 6400 SA_REP
. . .
The following statement shows the entire organization, indenting for each level of management, with each level ordered by hire_date. The value of is_cycle is set to Y for any employee who has the same hire_date as any manager above him in the management chain.
WITH
dup_hiredate (eid, emp_last, mgr_id, reportLevel, hire_date, job_id) AS
(
SELECT employee_id, last_name, manager_id, 0 reportLevel, hire_date, job_id
FROM employees
WHERE manager_id is null
UNION ALL
SELECT e.employee_id, e.last_name, e.manager_id,
r.reportLevel+1 reportLevel, e.hire_date, e.job_id
FROM dup_hiredate r, employees e
WHERE r.eid = e.manager_id
)
SEARCH DEPTH FIRST BY hire_date SET order1
CYCLE hire_date SET is_cycle TO 'Y' DEFAULT 'N'
SELECT lpad(' ',2*reportLevel)||emp_last emp_name, eid, mgr_id,
hire_date, job_id, is_cycle
FROM dup_hiredate
ORDER BY order1;
EMP_NAME EID MGR_ID HIRE_DATE JOB_ID IS_CYCLE
-------------------- ---------- ---------- --------- ---------- --------
King 100 17-JUN-03 AD_PRES N
De Haan 102 100 13-JAN-01 AD_VP N
Hunold 103 102 03-JAN-06 IT_PROG N
Austin 105 103 25-JUN-05 IT_PROG N
. . .
Kochhar 101 100 21-SEP-05 AD_VP N
Mavris 203 101 07-JUN-02 HR_REP N
Baer 204 101 07-JUN-02 PR_REP N
Higgins 205 101 07-JUN-02 AC_MGR N
Gietz 206 205 07-JUN-02 AC_ACCOUNT Y
Greenberg 108 101 17-AUG-02 FI_MGR N
Faviet 109 108 16-AUG-02 FI_ACCOUNT N
Chen 110 108 28-SEP-05 FI_ACCOUNT N
. . .
The following statement counts the number of employees under each manager.
WITH
emp_count (eid, emp_last, mgr_id, mgrLevel, salary, cnt_employees) AS
(
SELECT employee_id, last_name, manager_id, 0 mgrLevel, salary, 0 cnt_employees
FROM employees
UNION ALL
SELECT e.employee_id, e.last_name, e.manager_id,
r.mgrLevel+1 mgrLevel, e.salary, 1 cnt_employees
FROM emp_count r, employees e
WHERE e.employee_id = r.mgr_id
)
SEARCH DEPTH FIRST BY emp_last SET order1
SELECT emp_last, eid, mgr_id, salary, sum(cnt_employees), max(mgrLevel) mgrLevel
FROM emp_count
GROUP BY emp_last, eid, mgr_id, salary
HAVING max(mgrLevel) > 0
ORDER BY mgr_id NULLS FIRST, emp_last;
EMP_LAST EID MGR_ID SALARY SUM(CNT_EMPLOYEES) MGRLEVEL
------------------ ---------- ---------- ---------- ------------------ ----------
King 100 24000 106 3
Cambrault 148 100 11000 7 2
De Haan 102 100 17000 5 2
Errazuriz 147 100 12000 6 1
Fripp 121 100 8200 8 1
Hartstein 201 100 13000 1 1
Kaufling 122 100 7900 8 1
. . .Simple Query Examples
The following statement selects rows from the employees table with the department number of 30:
SELECT * FROM employees WHERE department_id = 30 ORDER BY last_name;
The following statement selects the name, job, salary and department number of all employees except purchasing clerks from department number 30:
SELECT last_name, job_id, salary, department_id FROM employees WHERE NOT (job_id = 'PU_CLERK' AND department_id = 30) ORDER BY last_name;
The following statement selects from subqueries in the FROM clause and for each department returns the total employees and salaries as a decimal value of all the departments:
SELECT a.department_id "Department", a.num_emp/b.total_count "%_Employees", a.sal_sum/b.total_sal "%_Salary" FROM (SELECT department_id, COUNT(*) num_emp, SUM(salary) sal_sum FROM employees GROUP BY department_id) a, (SELECT COUNT(*) total_count, SUM(salary) total_sal FROM employees) b ORDER BY a.department_id;
Selecting from a Partition: Example
You can select rows from a single partition of a partitioned table by specifying the keyword PARTITION in the FROM clause. This SQL statement assigns an alias for and retrieves rows from the sales_q2_2000 partition of the sample table sh.sales:
SELECT * FROM sales PARTITION (sales_q2_2000) s WHERE s.amount_sold > 1500 ORDER BY cust_id, time_id, channel_id;
The following example selects rows from the oe.orders table for orders earlier than a specified date:
SELECT * FROM orders
WHERE order_date < TO_DATE('2006-06-15', 'YYYY-MM-DD');Selecting a Sample: Examples
The following query estimates the number of orders in the oe.orders table:
SELECT COUNT(*) * 10 FROM orders SAMPLE (10);
COUNT(*)*10
-----------
70
Because the query returns an estimate, the actual return value may differ from one query to the next.
SELECT COUNT(*) * 10 FROM orders SAMPLE (10);
COUNT(*)*10
-----------
80
The following query adds a seed value to the preceding query. Oracle Database always returns the same estimate given the same seed value:
SELECT COUNT(*) * 10 FROM orders SAMPLE(10) SEED (1);
COUNT(*)*10
-----------
130
SELECT COUNT(*) * 10 FROM orders SAMPLE(10) SEED(4);
COUNT(*)*10
-----------
120
SELECT COUNT(*) * 10 FROM orders SAMPLE(10) SEED (1);
COUNT(*)*10
-----------
130Using Flashback Queries: Example
The following statements show a current value from the sample table hr.employees and then change the value. The intervals used in these examples are very short for demonstration purposes. Time intervals in your own environment are likely to be larger.
SELECT salary FROM employees
WHERE last_name = 'Chung';
SALARY
----------
3800
UPDATE employees SET salary = 4000
WHERE last_name = 'Chung';
1 row updated.
SELECT salary FROM employees
WHERE last_name = 'Chung';
SALARY
----------
4000
To learn what the value was before the update, you can use the following Flashback Query:
SELECT salary FROM employees
AS OF TIMESTAMP (SYSTIMESTAMP - INTERVAL '1' MINUTE)
WHERE last_name = 'Chung';
SALARY
----------
3800
To learn what the values were during a particular time period, you can use a version Flashback Query:
SELECT salary FROM employees
VERSIONS BETWEEN TIMESTAMP
SYSTIMESTAMP - INTERVAL '10' MINUTE AND
SYSTIMESTAMP - INTERVAL '1' MINUTE
WHERE last_name = 'Chung';
To revert to the earlier value, use the Flashback Query as the subquery of another UPDATE statement:
UPDATE employees SET salary =
(SELECT salary FROM employees
AS OF TIMESTAMP (SYSTIMESTAMP - INTERVAL '2' MINUTE)
WHERE last_name = 'Chung')
WHERE last_name = 'Chung';
1 row updated.
SELECT salary FROM employees
WHERE last_name = 'Chung';
SALARY
----------
3800Using the GROUP BY Clause: Examples
To return the minimum and maximum salaries for each department in the employees table, issue the following statement:
SELECT department_id, MIN(salary), MAX (salary)
FROM employees
GROUP BY department_id
ORDER BY department_id;
To return the minimum and maximum salaries for the clerks in each department, issue the following statement:
SELECT department_id, MIN(salary), MAX (salary)
FROM employees
WHERE job_id = 'PU_CLERK'
GROUP BY department_id
ORDER BY department_id;Using the GROUP BY CUBE Clause: Example
To return the number of employees and their average yearly salary across all possible combinations of department and job category, issue the following query on the sample tables hr.employees and hr.departments:
SELECT DECODE(GROUPING(department_name), 1, 'All Departments',
department_name) AS department_name,
DECODE(GROUPING(job_id), 1, 'All Jobs', job_id) AS job_id,
COUNT(*) "Total Empl", AVG(salary) * 12 "Average Sal"
FROM employees e, departments d
WHERE d.department_id = e.department_id
GROUP BY CUBE (department_name, job_id)
ORDER BY department_name, job_id;
DEPARTMENT_NAME JOB_ID Total Empl Average Sal
------------------------------ ---------- ---------- -----------
Accounting AC_ACCOUNT 1 99600
Accounting AC_MGR 1 144000
Accounting All Jobs 2 121800
Administration AD_ASST 1 52800
. . .
Shipping ST_CLERK 20 33420
Shipping ST_MAN 5 87360Using the GROUPING SETS Clause: Example
The following example finds the sum of sales aggregated for three precisely specified groups:
-
(channel_desc, calendar_month_desc, country_id) -
(channel_desc, country_id) -
(calendar_month_desc, country_id)
Without the GROUPING SETS syntax, you would have to write less efficient queries with more complicated SQL. For example, you could run three separate queries and UNION them, or run a query with a CUBE(channel_desc, calendar_month_desc, country_id) operation and filter out five of the eight groups it would generate.
SELECT channel_desc, calendar_month_desc, co.country_id,
TO_CHAR(sum(amount_sold) , '9,999,999,999') SALES$
FROM sales, customers, times, channels, countries co
WHERE sales.time_id=times.time_id
AND sales.cust_id=customers.cust_id
AND sales.channel_id= channels.channel_id
AND customers.country_id = co.country_id
AND channels.channel_desc IN ('Direct Sales', 'Internet')
AND times.calendar_month_desc IN ('2000-09', '2000-10')
AND co.country_iso_code IN ('UK', 'US')
GROUP BY GROUPING SETS(
(channel_desc, calendar_month_desc, co.country_id),
(channel_desc, co.country_id),
(calendar_month_desc, co.country_id) );
CHANNEL_DESC CALENDAR COUNTRY_ID SALES$
-------------------- -------- ---------- ----------
Internet 2000-09 52790 124,224
Direct Sales 2000-09 52790 638,201
Internet 2000-10 52790 137,054
Direct Sales 2000-10 52790 682,297
2000-09 52790 762,425
2000-10 52790 819,351
Internet 52790 261,278
Direct Sales 52790 1,320,497See Also:
The functions GROUP_ID, GROUPING, and GROUPING_ID for more information on those functions
Hierarchical Query Examples
The following query with a CONNECT BY clause defines a hierarchical relationship in which the employee_id value of the parent row is equal to the manager_id value of the child row:
SELECT last_name, employee_id, manager_id FROM employees CONNECT BY employee_id = manager_id ORDER BY last_name;
In the following CONNECT BY clause, the PRIOR operator applies only to the employee_id value. To evaluate this condition, the database evaluates employee_id values for the parent row and manager_id, salary, and commission_pct values for the child row:
SELECT last_name, employee_id, manager_id FROM employees CONNECT BY PRIOR employee_id = manager_id AND salary > commission_pct ORDER BY last_name;
To qualify as a child row, a row must have a manager_id value equal to the employee_id value of the parent row and it must have a salary value greater than its commission_pct value.
Using the HAVING Condition: Example
To return the minimum and maximum salaries for the employees in each department whose lowest salary is less than $5,000, issue the next statement:
SELECT department_id, MIN(salary), MAX (salary)
FROM employees
GROUP BY department_id
HAVING MIN(salary) < 5000
ORDER BY department_id;
DEPARTMENT_ID MIN(SALARY) MAX(SALARY)
------------- ----------- -----------
10 4400 4400
30 2500 11000
50 2100 8200
60 4200 9000
The following example uses a correlated subquery in a HAVING clause that eliminates from the result set any departments without managers and managers without departments:
SELECT department_id, manager_id
FROM employees
GROUP BY department_id, manager_id HAVING (department_id, manager_id) IN
(SELECT department_id, manager_id FROM employees x
WHERE x.department_id = employees.department_id)
ORDER BY department_id;Using the ORDER BY Clause: Examples
To select all purchasing clerk records from employees and order the results by salary in descending order, issue the following statement:
SELECT * FROM employees WHERE job_id = 'PU_CLERK' ORDER BY salary DESC;
To select information from employees ordered first by ascending department number and then by descending salary, issue the following statement:
SELECT last_name, department_id, salary FROM employees ORDER BY department_id ASC, salary DESC, last_name;
To select the same information as the previous SELECT and use the positional ORDER BY notation, issue the following statement, which orders by ascending department_id, then descending salary, and finally alphabetically by last_name:
SELECT last_name, department_id, salary FROM employees ORDER BY 2 ASC, 3 DESC, 1;
The MODEL clause: Examples
The view created below is based on the sample sh schema and is used by the example that follows.
CREATE OR REPLACE VIEW sales_view_ref AS
SELECT country_name country,
prod_name prod,
calendar_year year,
SUM(amount_sold) sale,
COUNT(amount_sold) cnt
FROM sales,times,customers,countries,products
WHERE sales.time_id = times.time_id
AND sales.prod_id = products.prod_id
AND sales.cust_id = customers.cust_id
AND customers.country_id = countries.country_id
AND ( customers.country_id = 52779
OR customers.country_id = 52776 )
AND ( prod_name = 'Standard Mouse'
OR prod_name = 'Mouse Pad' )
GROUP BY country_name,prod_name,calendar_year;
SELECT country, prod, year, sale
FROM sales_view_ref
ORDER BY country, prod, year;
COUNTRY PROD YEAR SALE
---------- ----------------------------------- -------- ---------
France Mouse Pad 1998 2509.42
France Mouse Pad 1999 3678.69
France Mouse Pad 2000 3000.72
France Mouse Pad 2001 3269.09
France Standard Mouse 1998 2390.83
France Standard Mouse 1999 2280.45
France Standard Mouse 2000 1274.31
France Standard Mouse 2001 2164.54
Germany Mouse Pad 1998 5827.87
Germany Mouse Pad 1999 8346.44
Germany Mouse Pad 2000 7375.46
Germany Mouse Pad 2001 9535.08
Germany Standard Mouse 1998 7116.11
Germany Standard Mouse 1999 6263.14
Germany Standard Mouse 2000 2637.31
Germany Standard Mouse 2001 6456.13
16 rows selected.
The next example creates a multidimensional array from sales_view_ref with columns containing country, product, year, and sales. It also:
-
Assigns the sum of the sales of the Mouse Pad for years 1999 and 2000 to the sales of the Mouse Pad for year 2001, if a row containing sales of the Mouse Pad for year 2001 exists.
-
Assigns the value of sales of the Standard Mouse for year 2001 to sales of the Standard Mouse for year 2002, creating a new row if a row containing sales of the Standard Mouse for year 2002 does not exist.
SELECT country,prod,year,s
FROM sales_view_ref
MODEL
PARTITION BY (country)
DIMENSION BY (prod, year)
MEASURES (sale s)
IGNORE NAV
UNIQUE DIMENSION
RULES UPSERT SEQUENTIAL ORDER
(
s[prod='Mouse Pad', year=2001] =
s['Mouse Pad', 1999] + s['Mouse Pad', 2000],
s['Standard Mouse', 2002] = s['Standard Mouse', 2001]
)
ORDER BY country, prod, year;
COUNTRY PROD YEAR SALE
---------- ----------------------------------- -------- ---------
France Mouse Pad 1998 2509.42
France Mouse Pad 1999 3678.69
France Mouse Pad 2000 3000.72
France Mouse Pad 2001 6679.41
France Standard Mouse 1998 2390.83
France Standard Mouse 1999 2280.45
France Standard Mouse 2000 1274.31
France Standard Mouse 2001 2164.54
France Standard Mouse 2002 2164.54
Germany Mouse Pad 1998 5827.87
Germany Mouse Pad 1999 8346.44
Germany Mouse Pad 2000 7375.46
Germany Mouse Pad 2001 15721.9
Germany Standard Mouse 1998 7116.11
Germany Standard Mouse 1999 6263.14
Germany Standard Mouse 2000 2637.31
Germany Standard Mouse 2001 6456.13
Germany Standard Mouse 2002 6456.13
18 rows selected.
The first rule uses UPDATE behavior because symbolic referencing is used on the left-hand side of the rule. The rows represented by the left-hand side of the rule exist, so the measure columns are updated. If the rows did not exist, then no action would have been taken.
The second rule uses UPSERT behavior because positional referencing is used on the left-hand side and a single cell is referenced. The rows do not exist, so new rows are inserted and the related measure columns are updated. If the rows did exist, then the measure columns would have been updated.
See Also:
Oracle Database Data Warehousing Guide for an expanded discussion and examples
The next example uses the same sales_view_ref view and the analytic function SUM to calculate a cumulative sum (csum) of sales per country and per year.
SELECT country, year, sale, csum
FROM
(SELECT country, year, SUM(sale) sale
FROM sales_view_ref
GROUP BY country, year
)
MODEL DIMENSION BY (country, year)
MEASURES (sale, 0 csum)
RULES (csum[any, any]=
SUM(sale) OVER (PARTITION BY country
ORDER BY year
ROWS UNBOUNDED PRECEDING)
)
ORDER BY country, year;
COUNTRY YEAR SALE CSUM
--------------- ---------- ---------- ----------
France 1998 4900.25 4900.25
France 1999 5959.14 10859.39
France 2000 4275.03 15134.42
France 2001 5433.63 20568.05
Germany 1998 12943.98 12943.98
Germany 1999 14609.58 27553.56
Germany 2000 10012.77 37566.33
Germany 2001 15991.21 53557.54
8 rows selected.Row Limiting: Examples
The following statement returns the 5 employees with the lowest employee_id values:
SELECT employee_id, last_name
FROM employees
ORDER BY employee_id
FETCH FIRST 5 ROWS ONLY;
EMPLOYEE_ID LAST_NAME
----------- -------------------------
100 King
101 Kochhar
102 De Haan
103 Hunold
104 Ernst
The following statement returns the next 5 employees with the lowest employee_id values:
SELECT employee_id, last_name
FROM employees
ORDER BY employee_id
OFFSET 5 ROWS FETCH NEXT 5 ROWS ONLY;
EMPLOYEE_ID LAST_NAME
----------- -------------------------
105 Austin
106 Pataballa
107 Lorentz
108 Greenberg
109 Faviet
The following statement returns the 5 percent of employees with the lowest salaries:
SELECT employee_id, last_name, salary
FROM employees
ORDER BY salary
FETCH FIRST 5 PERCENT ROWS ONLY;
EMPLOYEE_ID LAST_NAME SALARY
----------- ------------------------- ----------
132 Olson 2100
128 Markle 2200
136 Philtanker 2200
127 Landry 2400
135 Gee 2400
119 Colmenares 2500
Because WITH TIES is specified, the following statement returns the 5 percent of employees with the lowest salaries, plus all additional employees with the same salary as the last row fetched in the previous example:
SELECT employee_id, last_name, salary
FROM employees
ORDER BY salary
FETCH FIRST 5 PERCENT ROWS WITH TIES;
EMPLOYEE_ID LAST_NAME SALARY
----------- ------------------------- ----------
132 Olson 2100
128 Markle 2200
136 Philtanker 2200
127 Landry 2400
135 Gee 2400
119 Colmenares 2500
131 Marlow 2500
140 Patel 2500
144 Vargas 2500
182 Sullivan 2500
191 Perkins 2500Using the FOR UPDATE Clause: Examples
The following statement locks rows in the employees table with purchasing clerks located in Oxford, which has location_id 2500, and locks rows in the departments table with departments in Oxford that have purchasing clerks:
SELECT e.employee_id, e.salary, e.commission_pct FROM employees e, departments d WHERE job_id = 'SA_REP' AND e.department_id = d.department_id AND location_id = 2500 ORDER BY e.employee_id FOR UPDATE;
The following statement locks only those rows in the employees table with purchasing clerks located in Oxford. No rows are locked in the departments table:
SELECT e.employee_id, e.salary, e.commission_pct FROM employees e JOIN departments d USING (department_id) WHERE job_id = 'SA_REP' AND location_id = 2500 ORDER BY e.employee_id FOR UPDATE OF e.salary;
Using the WITH CHECK OPTION Clause: Example
The following statement is legal even though the third value inserted violates the condition of the subquery where_clause:
INSERT INTO (SELECT department_id, department_name, location_id FROM departments WHERE location_id < 2000) VALUES (9999, 'Entertainment', 2500);
However, the following statement is illegal because it contains the WITH CHECK OPTION clause:
INSERT INTO (SELECT department_id, department_name, location_id
FROM departments WHERE location_id < 2000 WITH CHECK OPTION)
VALUES (9999, 'Entertainment', 2500);
*
ERROR at line 2:
ORA-01402: view WITH CHECK OPTION where-clause violationUsing PIVOT and UNPIVOT: Examples
The oe.orders table contains information about when an order was placed (order_date), how it was place (order_mode), and the total amount of the order (order_total), as well as other information. The following example shows how to use the PIVOT clause to pivot order_mode values into columns, aggregating order_total data in the process, to get yearly totals by order mode:
CREATE TABLE pivot_table AS
SELECT * FROM
(SELECT EXTRACT(YEAR FROM order_date) year, order_mode, order_total FROM orders)
PIVOT
(SUM(order_total) FOR order_mode IN ('direct' AS Store, 'online' AS Internet));
SELECT * FROM pivot_table ORDER BY year;
YEAR STORE INTERNET
---------- ---------- ----------
2004 5546.6
2006 371895.5 100056.6
2007 1274078.8 1271019.5
2008 252108.3 393349.4
The UNPIVOT clause lets you rotate specified columns so that the input column headings are output as values of one or more descriptor columns, and the input column values are output as values of one or more measures columns. The first query that follows shows that nulls are excluded by default. The second query shows that you can include nulls using the INCLUDE NULLS clause.
SELECT * FROM pivot_table
UNPIVOT (yearly_total FOR order_mode IN (store AS 'direct',
internet AS 'online'))
ORDER BY year, order_mode;
YEAR ORDER_ YEARLY_TOTAL
---------- ------ ------------
2004 direct 5546.6
2006 direct 371895.5
2006 online 100056.6
2007 direct 1274078.8
2007 online 1271019.5
2008 direct 252108.3
2008 online 393349.4
7 rows selected.
SELECT * FROM pivot_table
UNPIVOT INCLUDE NULLS
(yearly_total FOR order_mode IN (store AS 'direct', internet AS 'online'))
ORDER BY year, order_mode;
YEAR ORDER_ YEARLY_TOTAL
---------- ------ ------------
2004 direct 5546.6
2004 online
2006 direct 371895.5
2006 online 100056.6
2007 direct 1274078.8
2007 online 1271019.5
2008 direct 252108.3
2008 online 393349.4
8 rows selected.Using Join Queries: Examples
The following examples show various ways of joining tables in a query. In the first example, an equijoin returns the name and job of each employee and the number and name of the department in which the employee works:
SELECT last_name, job_id, departments.department_id, department_name FROM employees, departments WHERE employees.department_id = departments.department_id ORDER BY last_name, job_id; LAST_NAME JOB_ID DEPARTMENT_ID DEPARTMENT_NAME ------------------- ---------- ------------- ---------------------- Abel SA_REP 80 Sales Ande SA_REP 80 Sales Atkinson ST_CLERK 50 Shipping Austin IT_PROG 60 IT . . .
You must use a join to return this data because employee names and jobs are stored in a different table than department names. Oracle Database combines rows of the two tables according to this join condition:
employees.department_id = departments.department_id
The following equijoin returns the name, job, department number, and department name of all sales managers:
SELECT last_name, job_id, departments.department_id, department_name FROM employees, departments WHERE employees.department_id = departments.department_id AND job_id = 'SA_MAN' ORDER BY last_name; LAST_NAME JOB_ID DEPARTMENT_ID DEPARTMENT_NAME ------------------- ---------- ------------- ----------------------- Cambrault SA_MAN 80 Sales Errazuriz SA_MAN 80 Sales Partners SA_MAN 80 Sales Russell SA_MAN 80 Sales Zlotkey SA_MAN 80 Sales
This query is identical to the preceding example, except that it uses an additional where_clause condition to return only rows with a job value of 'SA_MAN'.
Using Subqueries: Examples
To determine who works in the same department as employee 'Lorentz', issue the following statement:
SELECT last_name, department_id FROM employees
WHERE department_id =
(SELECT department_id FROM employees
WHERE last_name = 'Lorentz')
ORDER BY last_name, department_id;
To give all employees in the employees table a 10% raise if they have changed jobs—if they appear in the job_history table—issue the following statement:
UPDATE employees
SET salary = salary * 1.1
WHERE employee_id IN (SELECT employee_id FROM job_history);
To create a second version of the departments table new_departments, with only three of the columns of the original table, issue the following statement:
CREATE TABLE new_departments (department_id, department_name, location_id) AS SELECT department_id, department_name, location_id FROM departments;
Using Self Joins: Example
The following query uses a self join to return the name of each employee along with the name of the employee's manager. A WHERE clause is added to shorten the output.
SELECT e1.last_name||' works for '||e2.last_name
"Employees and Their Managers"
FROM employees e1, employees e2
WHERE e1.manager_id = e2.employee_id
AND e1.last_name LIKE 'R%'
ORDER BY e1.last_name;
Employees and Their Managers
-------------------------------
Rajs works for Mourgos
Raphaely works for King
Rogers works for Kaufling
Russell works for King
The join condition for this query uses the aliases e1 and e2 for the sample table employees:
e1.manager_id = e2.employee_id
Using Outer Joins: Examples
The following example shows how a partitioned outer join fills data gaps in rows to facilitate analytic function specification and reliable report formatting. The example first creates a small data table to be used in the join:
SELECT d.department_id, e.last_name FROM departments d LEFT OUTER JOIN employees e ON d.department_id = e.department_id ORDER BY d.department_id, e.last_name;
Users familiar with the traditional Oracle Database outer joins syntax will recognize the same query in this form:
SELECT d.department_id, e.last_name FROM departments d, employees e WHERE d.department_id = e.department_id(+) ORDER BY d.department_id, e.last_name;
Oracle strongly recommends that you use the more flexible FROM clause join syntax shown in the former example.
The left outer join returns all departments, including those without any employees. The same statement with a right outer join returns all employees, including those not yet assigned to a department:
Note:
The employee Zeuss was added to the employees table for these examples, and is not part of the sample data.
SELECT d.department_id, e.last_name
FROM departments d RIGHT OUTER JOIN employees e
ON d.department_id = e.department_id
ORDER BY d.department_id, e.last_name;
DEPARTMENT_ID LAST_NAME
------------- -------------------------
. . .
110 Gietz
110 Higgins
Grant
Zeuss
It is not clear from this result whether employees Grant and Zeuss have department_id NULL, or whether their department_id is not in the departments table. To determine this requires a full outer join:
SELECT d.department_id as d_dept_id, e.department_id as e_dept_id,
e.last_name
FROM departments d FULL OUTER JOIN employees e
ON d.department_id = e.department_id
ORDER BY d.department_id, e.last_name;
D_DEPT_ID E_DEPT_ID LAST_NAME
---------- ---------- -------------------------
. . .
110 110 Gietz
110 110 Higgins
. . .
260
270
999 Zeuss
Grant
Because the column names in this example are the same in both tables in the join, you can also use the common column feature by specifying the USING clause of the join syntax. The output is the same as for the preceding example except that the USING clause coalesces the two matching columns department_id into a single column output:
SELECT department_id AS d_e_dept_id, e.last_name
FROM departments d FULL OUTER JOIN employees e
USING (department_id)
ORDER BY department_id, e.last_name;
D_E_DEPT_ID LAST_NAME
----------- -------------------------
. . .
110 Higgins
110 Gietz
. . .
260
270
999 Zeuss
GrantUsing Partitioned Outer Joins: Examples
The following example shows how a partitioned outer join fills in gaps in rows to facilitate analytic calculation specification and reliable report formatting. The example first creates and populates a simple table to be used in the join:
CREATE TABLE inventory (time_id DATE,
product VARCHAR2(10),
quantity NUMBER);
INSERT INTO inventory VALUES (TO_DATE('01/04/01', 'DD/MM/YY'), 'bottle', 10);
INSERT INTO inventory VALUES (TO_DATE('06/04/01', 'DD/MM/YY'), 'bottle', 10);
INSERT INTO inventory VALUES (TO_DATE('01/04/01', 'DD/MM/YY'), 'can', 10);
INSERT INTO inventory VALUES (TO_DATE('04/04/01', 'DD/MM/YY'), 'can', 10);
SELECT times.time_id, product, quantity FROM inventory
PARTITION BY (product)
RIGHT OUTER JOIN times ON (times.time_id = inventory.time_id)
WHERE times.time_id BETWEEN TO_DATE('01/04/01', 'DD/MM/YY')
AND TO_DATE('06/04/01', 'DD/MM/YY')
ORDER BY 2,1;
TIME_ID PRODUCT QUANTITY
--------- ---------- ----------
01-APR-01 bottle 10
02-APR-01 bottle
03-APR-01 bottle
04-APR-01 bottle
05-APR-01 bottle
06-APR-01 bottle 10
01-APR-01 can 10
02-APR-01 can
03-APR-01 can
04-APR-01 can 10
05-APR-01 can
06-APR-01 can
12 rows selected.
The data is now more dense along the time dimension for each partition of the product dimension. However, each of the newly added rows within each partition is null in the quantity column. It is more useful to see the nulls replaced by the preceding non-NULL value in time order. You can achieve this by applying the analytic function LAST_VALUE on top of the query result:
SELECT time_id, product, LAST_VALUE(quantity IGNORE NULLS)
OVER (PARTITION BY product ORDER BY time_id) quantity
FROM ( SELECT times.time_id, product, quantity
FROM inventory PARTITION BY (product)
RIGHT OUTER JOIN times ON (times.time_id = inventory.time_id)
WHERE times.time_id BETWEEN TO_DATE('01/04/01', 'DD/MM/YY')
AND TO_DATE('06/04/01', 'DD/MM/YY'))
ORDER BY 2,1;
TIME_ID PRODUCT QUANTITY
--------- ---------- ----------
01-APR-01 bottle 10
02-APR-01 bottle 10
03-APR-01 bottle 10
04-APR-01 bottle 10
05-APR-01 bottle 10
06-APR-01 bottle 10
01-APR-01 can 10
02-APR-01 can 10
03-APR-01 can 10
04-APR-01 can 10
05-APR-01 can 10
06-APR-01 can 10
12 rows selected.See Also:
Oracle Database Data Warehousing Guide for an expanded discussion on filling gaps in time series calculations and examples of usage
Using Antijoins: Example
The following example selects a list of employees who are not in a particular set of departments:
SELECT * FROM employees
WHERE department_id NOT IN
(SELECT department_id FROM departments
WHERE location_id = 1700)
ORDER BY last_name;Using Semijoins: Example
In the following example, only one row needs to be returned from the departments table, even though many rows in the employees table might match the subquery. If no index has been defined on the salary column in employees, then a semijoin can be used to improve query performance.
SELECT * FROM departments
WHERE EXISTS
(SELECT * FROM employees
WHERE departments.department_id = employees.department_id
AND employees.salary > 2500)
ORDER BY department_name;Using CROSS APPLY and OUTER APPLY Joins: Examples
The following statement uses the CROSS APPLY clause of the cross_outer_apply_clause. The join returns only rows from the table on the left side of the join (departments) that produce a result from the inline view on the right side of the join. That is, the join returns only the departments that have at least one employee. The WHERE clause restricts the result set to include only the Marketing, Operations, and Public Relations departments. However, the Operations department is not included in the result set because it has no employees.
SELECT d.department_name, v.employee_id, v.last_name
FROM departments d CROSS APPLY (SELECT * FROM employees e
WHERE e.department_id = d.department_id) v
WHERE d.department_name IN ('Marketing', 'Operations', 'Public Relations')
ORDER BY d.department_name, v.employee_id;
DEPARTMENT_NAME EMPLOYEE_ID LAST_NAME
------------------------------ ----------- -------------------------
Marketing 201 Hartstein
Marketing 202 Fay
Public Relations 204 Baer
The following statement uses the OUTER APPLY clause of the cross_outer_apply_clause. The join returns all rows from the table on the left side of the join (departments) regardless of whether they produce a result from the inline view on the right side of the join. That is, the join returns all departments regardless of whether the departments have any employees. The WHERE clause restricts the result set to include only the Marketing, Operations, and Public Relations departments. The Operations department is included in the result set even though it has no employees.
SELECT d.department_name, v.employee_id, v.last_name
FROM departments d OUTER APPLY (SELECT * FROM employees e
WHERE e.department_id = d.department_id) v
WHERE d.department_name IN ('Marketing', 'Operations', 'Public Relations')
ORDER by d.department_name, v.employee_id;
DEPARTMENT_NAME EMPLOYEE_ID LAST_NAME
------------------------------ ----------- -------------------------
Marketing 201 Hartstein
Marketing 202 Fay
Operations
Public Relations 204 BaerUsing Lateral Inline Views: Example
The following example shows a join with two operands. The second operand is an inline view that specifies the first operand, table e, in the WHERE clause. This results in an error.
SELECT * FROM employees e, (SELECT * FROM departments d
WHERE e.department_id = d.department_id);
ORA-00904: "E"."DEPARTMENT_ID": invalid identifier
The following example shows a join with two operands. The second operand is a lateral inline view that specifies the first operand, table e, in the WHERE clause and succeeds without an error.
SELECT * FROM employees e, LATERAL(SELECT * FROM departments d
WHERE e.department_id = d.department_id);Table Collections: Examples
You can perform DML operations on nested tables only if they are defined as columns of a table. Therefore, when the query_table_expr_clause of an INSERT, DELETE, or UPDATE statement is a table_collection_expression, the collection expression must be a subquery that uses the TABLE collection expression to select the nested table column of the table. The examples that follow are based on the following scenario:
Suppose the database contains a table hr_info with columns department_id, location_id, and manager_id, and a column of nested table type people which has last_name, department_id, and salary columns for all the employees of each respective manager:
CREATE TYPE people_typ AS OBJECT ( last_name VARCHAR2(25), department_id NUMBER(4), salary NUMBER(8,2)); / CREATE TYPE people_tab_typ AS TABLE OF people_typ; / CREATE TABLE hr_info ( department_id NUMBER(4), location_id NUMBER(4), manager_id NUMBER(6), people people_tab_typ) NESTED TABLE people STORE AS people_stor_tab; INSERT INTO hr_info VALUES (280, 1800, 999, people_tab_typ());
The following example inserts into the people nested table column of the hr_info table for department 280:
INSERT INTO TABLE(SELECT h.people FROM hr_info h
WHERE h.department_id = 280)
VALUES ('Smith', 280, 1750);
The next example updates the department 280 people nested table:
UPDATE TABLE(SELECT h.people FROM hr_info h WHERE h.department_id = 280) p SET p.salary = p.salary + 100;
The next example deletes from the department 280 people nested table:
DELETE TABLE(SELECT h.people FROM hr_info h WHERE h.department_id = 280) p WHERE p.salary > 1700;
Collection Unnesting: Examples
To select data from a nested table column, use the TABLE collection expression to treat the nested table as columns of a table. This process is called collection unnesting.
You could get all the rows from hr_info, which was created in the preceding example, and all the rows from the people nested table column of hr_info using the following statement:
SELECT t1.department_id, t2.* FROM hr_info t1, TABLE(t1.people) t2 WHERE t2.department_id = t1.department_id;
Now suppose that people is not a nested table column of hr_info, but is instead a separate table with columns last_name, department_id, address, hiredate, and salary. You can extract the same rows as in the preceding example with this statement:
SELECT t1.department_id, t2.*
FROM hr_info t1, TABLE(CAST(MULTISET(
SELECT t3.last_name, t3.department_id, t3.salary
FROM people t3
WHERE t3.department_id = t1.department_id)
AS people_tab_typ)) t2;
Finally, suppose that people is neither a nested table column of table hr_info nor a table itself. Instead, you have created a function people_func that extracts from various sources the name, department, and salary of all employees. You can get the same information as in the preceding examples with the following query:
SELECT t1.department_id, t2.* FROM hr_info t1, TABLE(CAST (people_func( ... ) AS people_tab_typ)) t2;
See Also:
Oracle Database Object-Relational Developer's Guide for more examples of collection unnesting.
Using the LEVEL Pseudocolumn: Examples
The following statement returns all employees in hierarchical order. The root row is defined to be the employee whose job is AD_VP. The child rows of a parent row are defined to be those who have the employee number of the parent row as their manager number.
SELECT LPAD(' ',2*(LEVEL-1)) || last_name org_chart,
employee_id, manager_id, job_id
FROM employees
START WITH job_id = 'AD_VP'
CONNECT BY PRIOR employee_id = manager_id;
ORG_CHART EMPLOYEE_ID MANAGER_ID JOB_ID
------------------ ----------- ---------- ----------
Kochhar 101 100 AD_VP
Greenberg 108 101 FI_MGR
Faviet 109 108 FI_ACCOUNT
Chen 110 108 FI_ACCOUNT
Sciarra 111 108 FI_ACCOUNT
Urman 112 108 FI_ACCOUNT
Popp 113 108 FI_ACCOUNT
Whalen 200 101 AD_ASST
Mavris 203 101 HR_REP
Baer 204 101 PR_REP
Higgins 205 101 AC_MGR
Gietz 206 205 AC_ACCOUNT
De Haan 102 100 AD_VP
Hunold 103 102 IT_PROG
Ernst 104 103 IT_PROG
Austin 105 103 IT_PROG
Pataballa 106 103 IT_PROG
Lorentz 107 103 IT_PROG
The following statement is similar to the previous one, except that it does not select employees with the job FI_MGR.
SELECT LPAD(' ',2*(LEVEL-1)) || last_name org_chart,
employee_id, manager_id, job_id
FROM employees
WHERE job_id != 'FI_MGR'
START WITH job_id = 'AD_VP'
CONNECT BY PRIOR employee_id = manager_id;
ORG_CHART EMPLOYEE_ID MANAGER_ID JOB_ID
------------------ ----------- ---------- ----------
Kochhar 101 100 AD_VP
Faviet 109 108 FI_ACCOUNT
Chen 110 108 FI_ACCOUNT
Sciarra 111 108 FI_ACCOUNT
Urman 112 108 FI_ACCOUNT
Popp 113 108 FI_ACCOUNT
Whalen 200 101 AD_ASST
Mavris 203 101 HR_REP
Baer 204 101 PR_REP
Higgins 205 101 AC_MGR
Gietz 206 205 AC_ACCOUNT
De Haan 102 100 AD_VP
Hunold 103 102 IT_PROG
Ernst 104 103 IT_PROG
Austin 105 103 IT_PROG
Pataballa 106 103 IT_PROG
Lorentz 107 103 IT_PROG
Oracle Database does not return the manager Greenberg, although it does return employees who are managed by Greenberg.
The following statement is similar to the first one, except that it uses the LEVEL pseudocolumn to select only the first two levels of the management hierarchy:
SELECT LPAD(' ',2*(LEVEL-1)) || last_name org_chart,
employee_id, manager_id, job_id
FROM employees
START WITH job_id = 'AD_PRES'
CONNECT BY PRIOR employee_id = manager_id AND LEVEL <= 2;
ORG_CHART EMPLOYEE_ID MANAGER_ID JOB_ID
------------------ ----------- ---------- ----------
King 100 AD_PRES
Kochhar 101 100 AD_VP
De Haan 102 100 AD_VP
Raphaely 114 100 PU_MAN
Weiss 120 100 ST_MAN
Fripp 121 100 ST_MAN
Kaufling 122 100 ST_MAN
Vollman 123 100 ST_MAN
Mourgos 124 100 ST_MAN
Russell 145 100 SA_MAN
Partners 146 100 SA_MAN
Errazuriz 147 100 SA_MAN
Cambrault 148 100 SA_MAN
Zlotkey 149 100 SA_MAN
Hartstein 201 100 MK_MANUsing Distributed Queries: Example
This example shows a query that joins the departments table on the local database with the employees table on the remote database:
SELECT last_name, department_name FROM employees@remote, departments WHERE employees.department_id = departments.department_id;
Using Correlated Subqueries: Examples
The following examples show the general syntax of a correlated subquery:
SELECT select_list FROM table1 t_alias1 WHERE expr operator (SELECT column_list FROM table2 t_alias2 WHERE t_alias1.column operator t_alias2.column); UPDATE table1 t_alias1 SET column = (SELECT expr FROM table2 t_alias2 WHERE t_alias1.column = t_alias2.column); DELETE FROM table1 t_alias1 WHERE column operator (SELECT expr FROM table2 t_alias2 WHERE t_alias1.column = t_alias2.column);
The following statement returns data about employees whose salaries exceed their department average. The following statement assigns an alias to employees, the table containing the salary information, and then uses the alias in a correlated subquery:
SELECT department_id, last_name, salary
FROM employees x
WHERE salary > (SELECT AVG(salary)
FROM employees
WHERE x.department_id = department_id)
ORDER BY department_id;
For each row of the employees table, the parent query uses the correlated subquery to compute the average salary for members of the same department. The correlated subquery performs the following steps for each row of the employees table:
-
The
department_idof the row is determined. -
The
department_idis then used to evaluate the parent query. -
If the salary in that row is greater than the average salary of the departments of that row, then the row is returned.
The subquery is evaluated once for each row of the employees table.
Selecting from the DUAL Table: Example
The following statement returns the current date:
SELECT SYSDATE FROM DUAL;
You could select SYSDATE from the employees table, but the database would return 14 rows of the same SYSDATE, one for every row of the employees table. Selecting from DUAL is more convenient.
Selecting Sequence Values: Examples
The following statement increments the employees_seq sequence and returns the new value:
SELECT employees_seq.nextval
FROM DUAL;
The following statement selects the current value of employees_seq:
SELECT employees_seq.currval
FROM DUAL; Row Pattern Matching: Example
This example uses row pattern matching to query stock price data. The following statements create table Ticker and inserts stock price data into the table:
CREATE TABLE Ticker (SYMBOL VARCHAR2(10), tstamp DATE, price NUMBER);
INSERT INTO Ticker VALUES('ACME', '01-Apr-11', 12);
INSERT INTO Ticker VALUES('ACME', '02-Apr-11', 17);
INSERT INTO Ticker VALUES('ACME', '03-Apr-11', 19);
INSERT INTO Ticker VALUES('ACME', '04-Apr-11', 21);
INSERT INTO Ticker VALUES('ACME', '05-Apr-11', 25);
INSERT INTO Ticker VALUES('ACME', '06-Apr-11', 12);
INSERT INTO Ticker VALUES('ACME', '07-Apr-11', 15);
INSERT INTO Ticker VALUES('ACME', '08-Apr-11', 20);
INSERT INTO Ticker VALUES('ACME', '09-Apr-11', 24);
INSERT INTO Ticker VALUES('ACME', '10-Apr-11', 25);
INSERT INTO Ticker VALUES('ACME', '11-Apr-11', 19);
INSERT INTO Ticker VALUES('ACME', '12-Apr-11', 15);
INSERT INTO Ticker VALUES('ACME', '13-Apr-11', 25);
INSERT INTO Ticker VALUES('ACME', '14-Apr-11', 25);
INSERT INTO Ticker VALUES('ACME', '15-Apr-11', 14);
INSERT INTO Ticker VALUES('ACME', '16-Apr-11', 12);
INSERT INTO Ticker VALUES('ACME', '17-Apr-11', 14);
INSERT INTO Ticker VALUES('ACME', '18-Apr-11', 24);
INSERT INTO Ticker VALUES('ACME', '19-Apr-11', 23);
INSERT INTO Ticker VALUES('ACME', '20-Apr-11', 22);
The following query uses row pattern matching to find all cases where stock prices dipped to a bottom price and then rose. This is generally called a V-shape. The resulting output contains only three rows because the query specifies ONE ROW PER MATCH, and three matches were found.
SELECT *
FROM Ticker MATCH_RECOGNIZE (
PARTITION BY symbol
ORDER BY tstamp
MEASURES STRT.tstamp AS start_tstamp,
LAST(DOWN.tstamp) AS bottom_tstamp,
LAST(UP.tstamp) AS end_tstamp
ONE ROW PER MATCH
AFTER MATCH SKIP TO LAST UP
PATTERN (STRT DOWN+ UP+)
DEFINE
DOWN AS DOWN.price < PREV(DOWN.price),
UP AS UP.price > PREV(UP.price)
) MR
ORDER BY MR.symbol, MR.start_tstamp;
SYMBOL START_TST BOTTOM_TS END_TSTAM
---------- --------- --------- ---------
ACME 05-APR-11 06-APR-11 10-APR-11
ACME 10-APR-11 12-APR-11 13-APR-11
ACME 14-APR-11 16-APR-11 18-APR-11








































































