CREATE MATERIALIZED VIEW
Purpose
Use the CREATE MATERIALIZED VIEW statement to create a materialized view. A materialized view is a database object that contains the results of a query. The FROM clause of the query can name tables, views, and other materialized views. Collectively these objects are called master tables (a replication term) or detail tables (a data warehousing term). This reference uses "master tables" for consistency. The databases containing the master tables are called the master databases.
Note:
The keyword SNAPSHOT is supported in place of MATERIALIZED VIEW for backward compatibility.
For replication purposes, materialized views allow you to maintain read-only copies of remote data on your local node. You can select data from a materialized view as you would from a table or view. In replication environments, the materialized views commonly created are primary key, rowid, object, and subquery materialized views.
See Also:
Oracle Database Administrator’s Guide for information on the types of materialized views used to support replication
For data warehousing purposes, the materialized views commonly created are materialized aggregate views, single-table materialized aggregate views, and materialized join views. All three types of materialized views can be used by query rewrite, an optimization technique that transforms a user request written in terms of master tables into a semantically equivalent request that includes one or more materialized views.
See Also:
-
Oracle Database Data Warehousing Guide for information on the types of materialized views used to support data warehousing
Prerequisites
The privileges required to create a materialized view should be granted directly rather than through a role.
To create a materialized view in your own schema:
-
You must have been granted the
CREATEMATERIALIZEDVIEWsystem privilege and either theCREATETABLEorCREATEANYTABLEsystem privilege. -
You must also have access to any master tables of the materialized view that you do not own, either through a
READorSELECTobject privilege on each of the tables or through theREADANYTABLEorSELECTANYTABLEsystem privilege.
To create a materialized view in another user's schema:
-
You must have the
CREATEANYMATERIALIZEDVIEWsystem privilege. -
The owner of the materialized view must have the
CREATETABLEsystem privilege. The owner must also have access to any master tables of the materialized view that the schema owner does not own (for example, if the master tables are on a remote database) and to any materialized view logs defined on those master tables, either through aREADorSELECTobject privilege on each of the tables or through theREADANYTABLEorSELECTANYTABLEsystem privilege.
To create a refresh-on-commit materialized view (REFRESH ON COMMIT clause), in addition to the preceding privileges, you must have the ON COMMIT REFRESH object privilege on any master tables that you do not own or you must have the ON COMMIT REFRESH system privilege.
To create the materialized view with query rewrite enabled, in addition to the preceding privileges:
-
If the schema owner does not own the master tables, then the schema owner must have the
GLOBALQUERYREWRITEprivilege or theQUERYREWRITEobject privilege on each table outside the schema. -
If you are defining the materialized view on a prebuilt container (
ONPREBUILTTABLEclause), then you must have theREADorSELECTprivilegeWITHGRANTOPTIONon the container table.
The user whose schema contains the materialized view must have sufficient quota in the target tablespace to store the master table and index of the materialized view or must have the UNLIMITED TABLESPACE system privilege.
When you create a materialized view, Oracle Database creates one internal table and at least one index, and may create one view, all in the schema of the materialized view. Oracle Database uses these objects to maintain the materialized view data. You must have the privileges necessary to create these objects.
You can create the following types of local materialized views (including both ON COMMIT and ON DEMAND) on master tables with commit SCN-based materialized view logs:
-
Materialized aggregate views, including materialized aggregate views on a single table
-
Materialized join views
-
Primary-key-based and rowid-based single table materialized views
-
UNIONALLmaterialized views, where eachUNIONALLbranch is one of the above materialized view types
You cannot create remote materialized views on master tables with commit SCN-based materialized view logs.
Creating a materialized view on master tables with different types of materialized view logs (that is, a master table with timestamp-based materialized view logs and a master table with commit SCN-based materialized view logs) is not supported and causes ORA-32414.
To specify an edition in the evaluation_edition_clause or the unusable_editions_clause, you must have the USE privilege on the edition.
See Also:
-
CREATE TABLE, CREATE VIEW, and CREATE INDEX for information on these privileges
-
Oracle Database Administrator’s Guide for information about the prerequisites that apply to creating replication materialized views
-
Oracle Database Data Warehousing Guide for information about the prerequisites that apply to creating data warehousing materialized views
Syntax
create_materialized_view::=
(scoped_table_ref_constraint::=, physical_properties::=, materialized_view_props::=, physical_attributes_clause::=, create_mv_refresh::=, evaluation_edition_clause::=, query_rewrite_clause::=, subquery::=)
scoped_table_ref_constraint::=
physical_properties::=
(deferred_segment_creation::=, segment_attributes_clause::=, table_compression::=, inmemory_table_clause::=, heap_org_table_clause::=, index_org_table_clause::=)
materialized_view_props::=
(column_properties::=, table_partitioning_clauses::=—part of CREATE TABLE syntax, parallel_clause::=, build_clause::=)
heap_org_table_clause::=
index_org_table_clause::=
(mapping_table_clause: not supported with materialized views, prefix_compression::=, index_org_overflow_clause::=)
prefix_compression::=
index_org_overflow_clause::=
deferred_segment_creation::=
segment_attributes_clause::=
(physical_attributes_clause::=, TABLESPACE SET: not supported with CREATE MATERIALIZED VIEW, logging_clause::=)
physical_attributes_clause::=
logging_clause::=
table_compression::=
inmemory_table_clause::=
inmemory_attributes::=
(inmemory_memcompress::=, inmemory_priority::=, inmemory_distribute::=, inmemory_duplicate::=)
inmemory_memcompress::=
inmemory_priority::=
inmemory_distribute::=
inmemory_duplicate::=
inmemory_column_clause::=
column_properties::=
(object_type_col_properties::=, nested_table_col_properties::=, varray_col_properties::=, LOB_partition_storage::=, LOB_storage_clause::=, XMLType_column_properties: not supported for materialized views)
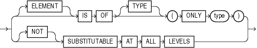
substitutable_column_clause::=
nested_table_col_properties::=
(substitutable_column_clause::=, object_properties::=, physical_properties::=—part of CREATE TABLE syntax, column_properties::=)
LOB_storage_parameters::=
(TABLESPACE SET: not supported with CREATE MATERIALIZED VIEW, LOB_parameters::=, storage_clause::=)
LOB_parameters::=
LOB_partition_storage::=
build_clause::=
evaluation_edition_clause::=
query_rewrite_clause::=
unusable_editions_clause::=
Semantics
schema
Specify the schema to contain the materialized view. If you omit schema, then Oracle Database creates the materialized view in your schema.
materialized_view
Specify the name of the materialized view to be created. The name must satisfy the requirements listed in "Database Object Naming Rules". Oracle Database generates names for the table and indexes used to maintain the materialized view by adding a prefix or suffix to the materialized view name.
column_alias
You can specify a column alias for each column of the materialized view. The column alias list explicitly resolves any column name conflict, eliminating the need to specify aliases in the SELECT clause of the materialized view. If you specify any column alias in this clause, then you must specify an alias for each data source referenced in the SELECT clause.
ENCRYPT clause
Use this clause to encrypt this column of the materialized view. Refer to the CREATE TABLE clause encryption_spec for more information on column encryption.
OF object_type
The OF object_type clause lets you explicitly create an object materialized view of type object_type.
See Also:
See CREATE TABLE ... object_table for more information on the OF type_name clause
scoped_table_ref_constraint
Use the SCOPE FOR clause to restrict the scope of references to a single object table. You can refer either to the table name with scope_table_name or to a column alias. The values in the REF column or attribute point to objects in scope_table_name or c_alias, in which object instances of the same type as the REF column are stored. If you specify aliases, then they must have a one-to-one correspondence with the columns in the SELECT list of the defining query of the materialized view.
See Also:
"SCOPE REF Constraints" for more information
DEFAULT COLLATION
Use this clause to specify the default collation for the materialized view. The default collation is used as the derived collation for all the character literals included in the defining query of the materialized view. The default collation is not used by the materialized view columns; the collations for the materialized view columns are derived from the materialized view’s defining subquery. The CREATE MATERIALIZED VIEW statement fails with an error, or the materialized view is created in an invalid state, if any of its character columns is based on an expression in the defining subquery that has no derived collation.
For collation_name, specify a valid named collation or pseudo-collation.
If you omit this clause, then the default collation for the materialized view is set to the effective schema default collation of the schema containing the materialized view. Refer to the DEFAULT_COLLATION clause of ALTER SESSION for more information on the effective schema default collation.
You can specify the DEFAULT COLLATION clause only if the COMPATIBLE initialization parameter is set to 12.2 or greater, and the MAX_STRING_SIZE initialization parameter is set to EXTENDED.
To change the default collation for a materialized view, you must recreate the materialized view.
Restrictions on the Default Collation for Materialized Views
The following restrictions apply when specifying the default collation for a materialized view:
-
If the defining query of the materialized view contains the
WITHplsql_declarationsclause, then the default collation of the materialized view must beUSING_NLS_COMP. -
If the materialized view is created on a prebuilt table, then the declared collations of the table columns must be the same as the corresponding collations of the materialized view columns, as derived from the defining query.
ON PREBUILT TABLE Clause
The ON PREBUILT TABLE clause lets you register an existing table as a preinitialized materialized view. This clause is particularly useful for registering large materialized views in a data warehousing environment. The table must have the same name and be in the same schema as the resulting materialized view.
If the materialized view is dropped, then the preexisting table reverts to its identity as a table.
Note:
This clause assumes that the table object reflects the materialization of a subquery. Oracle strongly recommends that you ensure that this assumption is true in order to ensure that the materialized view correctly reflects the data in its master tables.
The ON PREBUILT TABLE clause could be useful in the following scenarios:
-
You have a table representing the result of a query. Creating the table was an expensive operation that possibly took a long time. You want to create a materialized view on the query. You can use the
ONPREBUILTTABLEclause to avoid the expense of executing the query and populating the container for the materialized view. -
You temporarily discontinue having a materialized view, but keep its container table, using the
DROPMATERIALIZEDVIEW...PRESERVETABLEstatement. You then decide to recreate the materialized view and you know that the master tables of the view have not changed. You can create the materialized view using theONPREBUILTTABLEclause. This avoids the expense and time of creating and populating the container table for the materialized view.
If you specify ON PREBUILT TABLE, then Oracle database does not create the I_SNAP$ index. This index improves fast refresh performance. If you want the benefits of this index, then you can create it manually. Refer to Oracle Database Data Warehousing Guide for more information.
WITH REDUCED PRECISION
Specify WITH REDUCED PRECISION to authorize the loss of precision that will result if the precision of the table or materialized view columns do not exactly match the precision returned by subquery.
WITHOUT REDUCED PRECISION
Specify WITHOUT REDUCED PRECISION to require that the precision of the table or materialized view columns match exactly the precision returned by subquery, or the create operation will fail. This is the default.
Restrictions on Using Prebuilt Tables
Prebuilt tables are subject to the following restrictions:
-
Each column alias in
subquerymust correspond to a column in the prebuilt table, and corresponding columns must have matching data types. -
If you specify this clause, then you cannot specify a
NOTNULLconstraint for any column that is not referenced insubqueryunless you also specify a default value for that column. -
You cannot specify the
ONPREBUILTTABLEclause when creating a rowid materialized view.
See Also:
physical_properties_clause
The components of the physical_properties_clause have the same semantics for materialized views that they have for tables, with exceptions and additions described in the sections that follow.
Restriction on the physical_properties_clause
You cannot specify ORGANIZATION EXTERNAL for a materialized view.
deferred_segment_creation
Use this clause to determine when the segment for this materialized view should be created. See the CREATE TABLE clause deferred_segment_creation for more information.
segment_attributes_clause
Use the segment_attributes_clause to establish values for the PCTFREE, PCTUSED, and INITRANS parameters, the storage characteristics for the materialized view, to assign a tablespace, and to specify whether logging is to occur. In the USING INDEX clause, you cannot specify PCTFREE or PCTUSED.
Specify the tablespace in which the materialized view is to be created. If you omit this clause, then Oracle Database creates the materialized view in the default tablespace of the schema containing the materialized view.
See Also:
physical_attributes_clause and storage_clause for a complete description of these clauses, including default values
logging_clause
Specify LOGGING or NOLOGGING to establish the logging characteristics for the materialized view. The logging characteristic affects the creation of the materialized view and any nonatomic refresh that is initiated by way of the DBMS_REFRESH package. The default is the logging characteristic of the tablespace in which the materialized view resides.
See Also:
logging_clause for a full description of this clause and Oracle Database PL/SQL Packages and Types Reference for more information on atomic and nonatomic refresh
table_compression
Use the table_compression clause to instruct the database whether to compress data segments to reduce disk and memory use. This clause has the same semantics in CREATE MATERIALIZED VIEW and CREATE TABLE. Refer to the table_compression clause in the documentation on CREATE TABLE for the full semantics of this clause.
inmemory_table_clause
Use the inmemory_table_clause to enable or disable the materialized view for the In-Memory Column Store (IM column store). This clause has the same semantics as the inmemory_table_clause in the CREATE TABLE documentation.
inmemory_column_clause
Use the inmemory_column_clause to disable specific materialized view columns for the IM column store, and to specify the data compression method for specific columns. This clause has the same semantics here as it has for the inmemory_column_clause in the CREATE TABLE documentation, with the following addition: If you specify the inmemory_column_clause, then you must also specify a column_alias for each column in the materialized view.
index_org_table_clause
The ORGANIZATION INDEX clause lets you create an index-organized materialized view. In such a materialized view, data rows are stored in an index defined on the primary key of the materialized view. You can specify index organization for the following types of materialized views:
-
Read-only and updatable object materialized views. You must ensure that the master table has a primary key.
-
Read-only and updatable primary key materialized views.
-
Read-only rowid materialized views.
The keywords and parameters of the index_org_table_clause have the same semantics as described in CREATE TABLE, with the restrictions that follow.
See Also:
The index_org_table_clause of CREATE TABLE
Restrictions on Index-Organized Materialized Views
Index-organized materialized views are subject to the following restrictions:
-
You cannot specify the following
CREATEMATERIALIZEDVIEWclauses:CACHEorNOCACHE,CLUSTER, orONPREBUILTTABLE. -
In the
index_org_table_clause:-
You cannot specify the
mapping_table_clause. -
You can specify
COMPRESSonly for a materialized view based on a composite primary key. You can specifyNOCOMPRESSfor a materialized view based on either a simple or composite primary key.
-
CLUSTER Clause
The CLUSTER clause lets you create the materialized view as part of the specified cluster. A cluster materialized view uses the space allocation of the cluster. Therefore, you do not specify physical attributes or the TABLESPACE clause with the CLUSTER clause.
Restriction on Cluster Materialized Views
If you specify CLUSTER, then you cannot specify the table_partitioning_clauses in materialized_view_props.
materialized_view_props
Use these property clauses to describe a materialized view that is not based on an existing table. To create a materialized view that is based on an existing table, use the ON PREBUILT TABLE clause.
column_properties
The column_properties clause lets you specify the storage characteristics of a LOB, nested table, varray, or XMLType column. The object_type_col_properties are not relevant for a materialized view.
See Also:
CREATE TABLE for detailed information about specifying the parameters of this clause
table_partitioning_clauses
The table_partitioning_clauses let you specify that the materialized view is partitioned on specified ranges of values or on a hash function. Partitioning of materialized views is the same as partitioning of tables.
See Also:
table_partitioning_clauses in the CREATE TABLE documentation
For data that will be accessed frequently, CACHE specifies that the blocks retrieved for this table are placed at the most recently used end of the least recently used (LRU) list in the buffer cache when a full table scan is performed. This attribute is useful for small lookup tables. NOCACHE specifies that the blocks are placed at the least recently used end of the LRU list.
Note:
NOCACHE has no effect on materialized views for which you specify KEEP in the storage_clause.
See Also:
CREATE TABLE for information about specifying CACHE or NOCACHE
parallel_clause
The parallel_clause lets you indicate whether parallel operations will be supported for the materialized view and sets the default degree of parallelism for queries and DML on the materialized view after creation.
For complete information on this clause, refer to parallel_clause in the documentation on CREATE TABLE.
build_clause
The build_clause lets you specify when to populate the materialized view.
IMMEDIATE
Specify IMMEDIATE to indicate that the materialized view is to be populated immediately. This is the default.
DEFERRED
Specify DEFERRED to indicate that the materialized view is to be populated by the next REFRESH operation. The first (deferred) refresh must always be a complete refresh. Until then, the materialized view has a staleness value of UNUSABLE, so it cannot be used for query rewrite.
USING INDEX Clause
The USING INDEX clause lets you establish the value of the INITRANS and STORAGE parameters for the default index Oracle Database uses to maintain the materialized view data. If USING INDEX is not specified, then default values are used for the index. Oracle Database uses the default index to speed up incremental (FAST) refresh of the materialized view.
Restriction on USING INDEX clause
You cannot specify the PCTUSED parameter in this clause.
USING NO INDEX Clause
Specify USING NO INDEX to suppress the creation of the default index. You can create an alternative index explicitly by using the CREATE INDEX statement. You should create such an index if you specify USING NO INDEX and you are creating the materialized view with the fast refresh method (REFRESH FAST).
create_mv_refresh
Use the create_mv_refresh clause to specify the default methods, modes, and times for the database to refresh the materialized view. If the master tables of a materialized view are modified, then the data in the materialized view must be updated to make the materialized view accurately reflect the data currently in its master tables. This clause lets you schedule the times and specify the method and mode for the database to refresh the materialized view.
Restriction on Synchronous Refresh
If you are using the synchronous refresh method, then you must specify ON DEMAND and USING TRUSTED CONSTRAINTS.
Note:
This clause only sets the default refresh options. For instructions on actually implementing the refresh, refer to Oracle Database Administrator’s Guide and Oracle Database Data Warehousing Guide.
See Also:
-
"Periodic Refresh of Materialized Views: Example" and "Automatic Refresh Times for Materialized Views: Example"
-
Oracle Database PL/SQL Packages and Types Reference for more information on refresh methods
-
Oracle Database Data Warehousing Guide to learn how to use refresh statistics to monitor the performance of materialized view refresh operations
Specify FAST to indicate the fast refresh method, which performs the refresh according to the changes that have occurred to the master tables. The changes for conventional DML changes are stored in the materialized view log associated with the master table. The changes for direct-path INSERT operations are stored in the direct loader log.
If you specify REFRESH FAST, then the CREATE statement will fail unless materialized view logs already exist for the materialized view master tables. Oracle Database creates the direct loader log automatically when a direct-path INSERT takes place. No user intervention is needed.
For both conventional DML changes and for direct-path INSERT operations, other conditions may restrict the eligibility of a materialized view for fast refresh.
Restrictions on FAST Refresh
FAST refresh is subject to the following restrictions:
-
When you specify
FASTrefresh at create time, Oracle Database verifies that the materialized view you are creating is eligible for fast refresh. When you change the refresh method toFASTin anALTERMATERIALIZEDVIEWstatement, Oracle Database does not perform this verification. If the materialized view is not eligible for fast refresh, then Oracle Database returns an error when you attempt to refresh this view. -
Materialized views are not eligible for fast refresh if the defining query contains an analytic function or the
XMLTablefunction. -
Materialized views are not eligible for fast refresh if the defining query references a table on which an
XMLIndexindex is defined. -
You cannot fast refresh a materialized view if any of its columns is encrypted.
See Also:
-
Oracle Database Administrator’s Guide for restrictions on fast refresh in replication environments
-
Oracle Database Data Warehousing Guide for restrictions on fast refresh in data warehousing environments
-
The
EXPLAIN_MVIEWprocedure of theDBMS_MVIEWpackage for help diagnosing problems with fast refresh and theTUNE_MVIEWprocedure of theDBMS_MVIEWpackage for correction of query rewrite problems
Specify COMPLETE to indicate the complete refresh method, which is implemented by executing the defining query of the materialized view. If you request a complete refresh, then Oracle Database performs a complete refresh even if a fast refresh is possible.
Specify FORCE to indicate that when a refresh occurs, Oracle Database will perform a fast refresh if one is possible or a complete refresh if fast refresh is not possible. If you do not specify a refresh method (FAST, COMPLETE, or FORCE), then FORCE is the default.
Specify ON COMMIT to indicate that a refresh is to occur whenever the database commits a transaction that operates on a master table of the materialized view. This clause may increase the time taken to complete the commit, because the database performs the refresh operation as part of the commit process.
You can specify only one of the ON COMMIT, ON DEMAND, and ON STATEMENT clauses. If you specify ON COMMIT, then you cannot also specify START WITH or NEXT.
Restrictions on Refreshing ON COMMIT
The following restrictions apply to the ON COMMIT clause:
-
This clause is not supported for materialized views containing object types or Oracle-supplied types.
-
This clause is not supported for materialized views with remote tables.
-
If you specify this clause, then you cannot subsequently execute a distributed transaction on any master table of this materialized view. For example, you cannot insert into the master by selecting from a remote table. The
ONDEMANDclause does not impose this restriction on subsequent distributed transactions on master tables.
Specify ON DEMAND to indicate that database will not refresh the materialized view unless the user manually launches a refresh through one of the three DBMS_MVIEW refresh procedures.
You can specify only one of the ON COMMIT, ON DEMAND, and ON STATEMENT clauses. If you omit all three of these clauses, then ON DEMAND is the default. You can override this default setting by specifying the START WITH or NEXT clauses, either in the same CREATE MATERIALIZED VIEW statement or a subsequent ALTER MATERIALIZED VIEW statement.
START WITH and NEXT take precedence over ON DEMAND. Therefore, in most circumstances it is not meaningful to specify ON DEMAND when you have specified START WITH or NEXT.
See Also:
-
Oracle Database PL/SQL Packages and Types Reference for information on these procedures
-
Oracle Database Data Warehousing Guide on the types of materialized views you can create by specifying
REFRESHONDEMAND
ON STATEMENT Clause
Specify ON STATEMENT to indicate that an automatic refresh is to occur every time a DML operation is performed on any of the materialized view's base tables.
You can specify only one of the ON COMMIT, ON DEMAND, and ON STATEMENT clauses. You can specify ON STATEMENT only when creating a materialized view. You cannot subsequently alter the materialized view to use ON STATEMENT refresh.
Restrictions on Refreshing ON STATEMENT
The following restrictions apply to the ON STATEMENT clause:
-
This clause can be used only with materialized views that are fast refreshable. The
ONSTATEMENTclause must be specified with theREFRESHFASTclause. -
The base tables referenced in the materialized view’s defining query must be connected in a join graph that uses the star schema or snowflake schema model. The query must contain exactly one centralized fact table and one or more dimension tables, with all pairs of joined tables being related using primary key-foreign key constraints.
-
There is no restriction on the depth of the snowflake model.
-
The constraints can be in
RELYmode. However, you must include theUSINGTRUSTEDCONSTRAINTclause while creating the materialized view to use theRELYconstraint.
-
-
The materialized view’s defining query must include the
ROWIDcolumn of the fact table. -
The materialized view’s defining query cannot include any of the following: invisible columns, ANSI join syntax, complex query, inline view as base table, composite primary key,
LONGcolumns, and LOB columns. -
You cannot alter the definition of an existing materialized view that uses the
ONSTATEMENTrefresh mode. -
You cannot alter an existing materialized view and enable
ONSTATEMENTrefresh for it. -
The following operations cause a materialized view with
ONSTATEMENTrefresh to become unusable:-
UPDATEoperations on one or more dimension tables on which the materialized view is based -
Partition maintenance operations and
TRUNCATEoperations on any base tableHowever, a materialized view with the
ONSTATEMENTrefresh mode can be partitioned.
-
-
All the restrictions that apply to the
ONCOMMITclause apply toONSTATEMENT.
START WITH Clause
Specify a datetime expression for the first automatic refresh time.
NEXT Clause
Specify a datetime expression for calculating the interval between automatic refreshes.
Both the START WITH and NEXT values must evaluate to a time in the future. If you omit the START WITH value, then the database determines the first automatic refresh time by evaluating the NEXT expression with respect to the creation time of the materialized view. If you specify a START WITH value but omit the NEXT value, then the database refreshes the materialized view only once. If you omit both the START WITH and NEXT values, or if you omit the create_mv_refresh entirely, then the database does not automatically refresh the materialized view.
Specify WITH PRIMARY KEY to create a primary key materialized view. This is the default and should be used in all cases except those described for WITH ROWID. Primary key materialized views allow materialized view master tables to be reorganized without affecting the eligibility of the materialized view for fast refresh. The master table must contain an enabled primary key constraint, and the defining query of the materialized view must specify all of the primary key columns directly. In the defining query, the primary key columns cannot be specified as the argument to a function such as UPPER.
Restriction on Primary Key Materialized Views
You cannot specify this clause for an object materialized view. Oracle Database implicitly refreshes objects materialized WITH OBJECT ID.
See Also:
Oracle Database Administrator’s Guide for detailed information about primary key materialized views and "Creating Primary Key Materialized Views: Example"
WITH ROWID Clause
Specify WITH ROWID to create a rowid materialized view. Rowid materialized views are useful if the materialized view does not include all primary key columns of the master tables. Rowid materialized views must be based on a single table and cannot contain any of the following:
-
Distinct or aggregate functions
-
GROUPBYorCONNECTBYclauses -
Subqueries
-
Joins
-
Set operations
The WITH ROWID clause has no effect if there are multiple master tables in the defining query.
Rowid materialized views are not eligible for fast refresh after a master table reorganization until a complete refresh has been performed.
Restriction on Rowid Materialized Views
You cannot specify this clause for an object materialized view. Oracle Database implicitly refreshes objects materialized WITH OBJECT ID.
See Also:
"Creating Materialized Aggregate Views: Example" and "Creating Rowid Materialized Views: Example"
This clause is not valid if your database is in automatic undo mode, because in that mode Oracle Database uses undo tablespaces instead of rollback segments. Oracle strongly recommends that you use automatic undo mode. This clause is supported for backward compatibility with replication environments containing older versions of Oracle Database that still use rollback segments.
For rollback_segment, specify the remote rollback segment to be used during materialized view refresh.
DEFAULT
DEFAULT specifies that Oracle Database will choose automatically which rollback segment to use. If you specify DEFAULT, then you cannot specify rollback_segment. DEFAULT is most useful when modifying, rather than creating, a materialized view.
See Also:
MASTER
MASTER specifies the remote rollback segment to be used at the remote master site for the individual materialized view.
LOCAL
LOCAL specifies the remote rollback segment to be used for the local refresh group that contains the materialized view. This is the default.
See Also:
Oracle Database PL/SQL Packages and Types Reference for information on specifying the local materialized view rollback segment using the DBMS_REFRESH package
If you omit rollback_segment, then the database automatically chooses the rollback segment to be used. One master rollback segment is stored for each materialized view and is validated during materialized view creation and refresh. If the materialized view is complex, then the database ignores any master rollback segment you specify.
The USING ... CONSTRAINTS clause lets Oracle Database choose more rewrite options during the refresh operation, resulting in more efficient refresh execution. The clause lets Oracle Database use unenforced constraints, such as dimension relationships or constraints in the RELY state, rather than relying only on enforced constraints during the refresh operation.
The USING TRUSTED CONSTRAINTS clause enables you to create a materialized view on top of a table that has a non-NULL Virtual Private Database (VPD) policy on it. In this case, you must ensure that the materialized view behaves correctly. Materialized view results are computed based on the rows and columns filtered by VPD policy. Therefore, you must coordinate the materialized view definition with the VPD policy to ensure the correct results. Without the USING TRUSTED CONSTRAINTS clause, any VPD policy on a master table will prevent a materialized view from being created.
Note:
The USING TRUSTED CONSTRAINTS clause lets Oracle Database use dimension and constraint information that has been declared trustworthy by the database administrator but that has not been validated by the database. If the dimension and constraint information is valid, then performance may improve. However, if this information is invalid, then the refresh procedure may corrupt the materialized view even though it returns a success status.
If you omit this clause, then the default is USING ENFORCED CONSTRAINTS.
NEVER REFRESH Clause
Specify NEVER REFRESH to prevent the materialized view from being refreshed with any Oracle Database refresh mechanism or packaged procedure. Oracle Database will ignore any REFRESH statement on the materialized view issued from such a procedure. If you specify this clause, then you can perform DML operations on the materialized view. To reverse this clause, you must issue an ALTER MATERIALIZED VIEW ... REFRESH statement.
evaluation_edition_clause
You must specify this clause if subquery references an editioned object. Use this clause to specify the edition that is searched during name resolution of the editioned object—the evaluation edition.
-
Specify
CURRENTEDITIONto search the edition in which this DDL statement is executed. -
Specify
EDITIONeditionto searchedition. -
Specifying
NULLEDITIONis equivalent to omitting theevaluation_edition_clause.
If you omit the evaluation_edition_clause, then editioned objects are invisible during name resolution and an error will result. Dropping the evaluation edition invalidates the materialized view.
See Also:
Oracle Database Development Guide for more information on specifying the evaluation edition for a materialized view
{ ENABLE | DISABLE } ON QUERY COMPUTATION
This clause lets you create a real-time materialized view or a regular view. A real-time materialized view provides fresh data to user queries even when the materialized view is not in sync with its base tables due to data changes. Instead of modifying the materialized view, the optimizer writes a query that combines the existing rows in the materialized view with changes recorded in log files (either materialized view logs or the direct loader logs). This is called on-query computation.
-
Specify
ENABLEONQUERYCOMPUTATIONto create a real-time materialized view by enabling on-query computation. This allows you to directly query up-to-date data from the materialized view by specifying theFRESH_MVhint in theSELECTstatement. If the materialized view is also enabled for query rewrite, then on-query computation occurs automatically during query rewrite. -
Specify
DISABLEONQUERYCOMPUTATIONto create a regular materialized view by disabling on-query computation. This is the default.
Restrictions on Real-Time Materialized Views
Real-time materialized views are subject to the following restrictions:
-
Real-time materialized views cannot be used when one or more materialized view logs created on the base tables are either unusable or nonexistent.
-
A real-time materialized view must be refreshable using out-of-place refresh, log-based refresh, or partition change tracking (PCT) refresh.
-
A refresh-on-commit materialized view cannot be a real-time materialized view.
-
If a real-time materialized view is a nested materialized view that is defined on top of one or more base materialized views, then query rewrite occurs only if all the base materialized views are fresh. If one or more base materialized views are stale, then query rewrite is not performed using this real-time materialized view.
-
The cursors of queries that directly access real-time materialized views are not shared.
See Also:
-
Oracle Database Data Warehousing Guide for more information on real-time materialized views
query_rewrite_clause
The query_rewrite_clause lets you specify whether the materialized view is eligible to be used for query rewrite.
ENABLE Clause
Specify ENABLE to enable the materialized view for query rewrite. If you also specify the unusable_editions_clause, then the materialized view is not enabled for query rewrite in the unusable editions.
Restrictions on Enabling Query Rewrite
Enabling of query rewrite is subject to the following restrictions:
-
You can enable query rewrite only if all user-defined functions in the materialized view are
DETERMINISTIC. -
You can enable query rewrite only if expressions in the statement are repeatable. For example, you cannot include
CURRENT_TIMEorUSER, sequence values (such as theCURRVALorNEXTVALpseudocolumns), or theSAMPLEclause (which may sample different rows as the contents of the materialized view change).
Note:
-
Query rewrite is disabled by default, so you must specify this clause to make materialized views eligible for query rewrite.
-
After you create the materialized view, you must collect statistics on it using the
DBMS_STATSpackage. Oracle Database needs the statistics generated by this package to optimize query rewrite.
See Also:
-
Oracle Database Data Warehousing Guide for more information on query rewrite
-
Oracle Database Data Warehousing Guide to learn how to use refresh statistics to monitor the performance of materialized view refresh operations
-
Oracle Database PL/SQL Packages and Types Reference for information about the
DBMS_STATSpackage -
The
EXPLAIN_MVIEWprocedure of theDBMS_MVIEWpackage for help diagnosing problems with query rewrite and theTUNE_MVIEWprocedure of theDBMS_MVIEWpackage for correction of query rewrite problems
DISABLE Clause
Specify DISABLE to indicate that the materialized view is not eligible for use by query rewrite. A disabled materialized view can be refreshed.
unusable_editions_clause
This clause lets you specify that the materialized view is not eligible for query rewrite in one or more editions. You can specify this clause regardless of whether you specify the ENABLE or DISABLE clause. If you specify the DISABLE clause, then this clause will take effect if the materialized view is subsequently enabled for query rewrite using the ALTER MATERIALIZED VIEW ... ENABLE QUERY REWRITE statement.
UNUSABLE BEFORE Clause
This clause lets you specify that the materialized view is not eligible for query rewrite in the ancestors of an edition.
-
If you specify
CURRENTEDITION, then the materialized view is not eligible for query rewrite in the ancestors of the current edition. -
If you specify
EDITIONedition, then the materialized view is not eligible for query rewrite in the ancestors of the specifiededition.
UNUSABLE BEGINNING WITH Clause
This clause lets you specify that the materialized view is not eligible for query rewrite in an edition and its descendants.
-
If you specify
CURRENTEDITION, then the materialized view is not eligible for query rewrite in the current edition and its descendants. -
If you specify
EDITIONedition, then the materialized view is not eligible for query rewrite in the specified edition and its descendants. -
Specifying
NULLEDITIONis equivalent to omitting theUNUSABLEBEGINNINGWITHclause.
The materialized view has a dependency on each edition in which it is not eligible for query rewrite. If such an edition is subsequently dropped, then the dependency is removed. However, the materialized view is not invalidated.
AS subquery
Specify the defining query of the materialized view. When you create the materialized view, Oracle Database executes this subquery and places the results in the materialized view. This subquery is any valid SQL subquery. However, not all subqueries are fast refreshable, nor are all subqueries eligible for query rewrite.
Notes on the Defining Query of a Materialized View
The following notes apply to materialized views:
-
Oracle Database does not execute the defining query immediately if you specify
BUILDDEFERRED. -
Oracle recommends that you qualify each table and view in the
FROMclause of the defining query of the materialized view with the schema containing it. -
In order to create a materialized view whose defining query selects from a master table that has a Virtual Private Database (VPD) policy, you must specify the
REFRESHUSINGTRUSTEDCONSTRAINTSclause.
Restrictions on the Defining Query of a Materialized View
The materialized view query is subject to the following restrictions:
-
The defining query of a materialized view can select from tables, views, or materialized views owned by the user
SYS, but you cannot enableQUERYREWRITEon such a materialized view. -
The defining query of a materialized view cannot select from a
V$view or aGV$view. -
You cannot define a materialized view with a subquery in the select list of the defining query. You can, however, include subqueries elsewhere in the defining query, such as in the
WHEREclause. -
You cannot use the
ASOFclause of theflashback_query_clausein the defining query of a materialized view. -
Materialized join views and materialized aggregate views with a
GROUPBYclause cannot select from an index-organized table. -
Materialized views cannot contain columns of data type
LONGorLONGRAW. -
Materialized views cannot contain virtual columns.
-
You cannot create a materialized view log on a temporary table. Therefore, if the defining query references a temporary table, then this materialized view will not be eligible for
FASTrefresh, nor can you specify theQUERYREWRITEclause in this statement. -
If the
FROMclause of the defining query references another materialized view, then you must always refresh the materialized view referenced in the defining query before refreshing the materialized view you are creating in this statement. -
Materialized views with join expressions in the defining query cannot have XML data type columns. The XML data types include
XMLTypeand URI data type columns.
If you are creating a materialized view enabled for query rewrite, then:
-
The defining query cannot contain, either directly or through a view, references to
ROWNUM,USER,SYSDATE, remote tables, sequences, or PL/SQL functions that write or read database or package state. -
Neither the materialized view nor the master tables of the materialized view can be remote.
If you want the materialized view to be eligible for fast refresh using a materialized view log, or synchronous refresh using a staging log, then some additional restrictions apply.
See Also:
-
Oracle Database Data Warehousing Guide for restrictions relating to using fast refresh and synchronous refresh
-
Oracle Database Administrator’s Guidefor more information on restrictions relating to replication
-
"Creating Materialized Join Views: Example", "Creating Subquery Materialized Views: Example", and "Creating a Nested Materialized View: Example"
Examples
The following examples require the materialized logs that are created in the "Examples" section of CREATE MATERIALIZED VIEW LOG.
Creating a Simple Materialized View: Example
The following statement creates a very simple materialized view based on the employees and table in the hr schema:
CREATE MATERIALIZED VIEW mv1 AS SELECT * FROM hr.employees;
By default, Oracle Database creates a primary key materialized view with refresh on demand only. If a materialized view log exists on employees, then mv1 can be altered to be capable of fast refresh. If no such log exists, then only full refresh of mv1 is possible. Oracle Database uses default storage properties for mv1. The only privileges required for this operation are the CREATE MATERIALIZED VIEW system privilege, and the READ or SELECT object privilege on hr.employees.
Creating Subquery Materialized Views: Example
The following statement creates a subquery materialized view based on the customers and countries tables in the sh schema at the remote database:
CREATE MATERIALIZED VIEW foreign_customers
AS SELECT * FROM sh.customers@remote cu
WHERE EXISTS
(SELECT * FROM sh.countries@remote co
WHERE co.country_id = cu.country_id);Creating Materialized Aggregate Views: Example
The following statement creates and populates a materialized aggregate view on the sample sh.sales table and specifies the default refresh method, mode, and time. It uses the materialized view log created in "Creating a Materialized View Log for Fast Refresh: Examples", as well as the two additional logs shown here:
CREATE MATERIALIZED VIEW LOG ON times
WITH ROWID, SEQUENCE (time_id, calendar_year)
INCLUDING NEW VALUES;
CREATE MATERIALIZED VIEW LOG ON products
WITH ROWID, SEQUENCE (prod_id)
INCLUDING NEW VALUES;
CREATE MATERIALIZED VIEW sales_mv
BUILD IMMEDIATE
REFRESH FAST ON COMMIT
AS SELECT t.calendar_year, p.prod_id,
SUM(s.amount_sold) AS sum_sales
FROM times t, products p, sales s
WHERE t.time_id = s.time_id AND p.prod_id = s.prod_id
GROUP BY t.calendar_year, p.prod_id;Creating Materialized Join Views: Example
The following statement creates and populates the materialized aggregate view sales_by_month_by_state using tables in the sample sh schema. The materialized view will be populated with data as soon as the statement executes successfully. By default, subsequent refreshes will be accomplished by reexecuting the defining query of the materialized view:
CREATE MATERIALIZED VIEW sales_by_month_by_state
TABLESPACE example
PARALLEL 4
BUILD IMMEDIATE
REFRESH COMPLETE
ENABLE QUERY REWRITE
AS SELECT t.calendar_month_desc, c.cust_state_province,
SUM(s.amount_sold) AS sum_sales
FROM times t, sales s, customers c
WHERE s.time_id = t.time_id AND s.cust_id = c.cust_id
GROUP BY t.calendar_month_desc, c.cust_state_province;Creating Prebuilt Materialized Views: Example
The following statement creates a materialized aggregate view for the preexisting summary table, sales_sum_table:
CREATE TABLE sales_sum_table
(month VARCHAR2(8), state VARCHAR2(40), sales NUMBER(10,2));
CREATE MATERIALIZED VIEW sales_sum_table
ON PREBUILT TABLE WITH REDUCED PRECISION
ENABLE QUERY REWRITE
AS SELECT t.calendar_month_desc AS month,
c.cust_state_province AS state,
SUM(s.amount_sold) AS sales
FROM times t, customers c, sales s
WHERE s.time_id = t.time_id AND s.cust_id = c.cust_id
GROUP BY t.calendar_month_desc, c.cust_state_province;
In the preceding example, the materialized view has the same name and also has the same number of columns with the same data types as the prebuilt table. The WITH REDUCED PRECISION clause allows for differences between the precision of the materialized view columns and the precision of the values returned by the subquery.
Creating Primary Key Materialized Views: Example
The following statement creates the primary key materialized view catalog on the sample table oe.product_information:
CREATE MATERIALIZED VIEW catalog REFRESH FAST START WITH SYSDATE NEXT SYSDATE + 1/4096 WITH PRIMARY KEY AS SELECT * FROM product_information;
Creating Rowid Materialized Views: Example
The following statement creates a rowid materialized view on the sample table oe.orders:
CREATE MATERIALIZED VIEW order_data REFRESH WITH ROWID AS SELECT * FROM orders;
Periodic Refresh of Materialized Views: Example
The following statement creates the primary key materialized view emp_data and populates it with data from the sample table hr.employees:
CREATE MATERIALIZED VIEW LOG ON employees WITH PRIMARY KEY INCLUDING NEW VALUES; CREATE MATERIALIZED VIEW emp_data PCTFREE 5 PCTUSED 60 TABLESPACE example STORAGE (INITIAL 50K) REFRESH FAST NEXT sysdate + 7 AS SELECT * FROM employees;
The preceding statement does not include a START WITH parameter, so Oracle Database determines the first automatic refresh time by evaluating the NEXT value using the current SYSDATE. A materialized view log was created for the employee table, so Oracle Database performs a fast refresh of the materialized view every 7 days, beginning 7 days after the materialized view is created.
Because the materialized view conforms to the conditions for fast refresh, the database will perform a fast refresh. The preceding statement also establishes storage characteristics that the database uses to maintain the materialized view.
Automatic Refresh Times for Materialized Views: Example
The following statement creates the complex materialized view all_customers that queries the employee tables on the remote and local databases:
CREATE MATERIALIZED VIEW all_customers
PCTFREE 5 PCTUSED 60
TABLESPACE example
STORAGE (INITIAL 50K)
USING INDEX STORAGE (INITIAL 25K)
REFRESH START WITH ROUND(SYSDATE + 1) + 11/24
NEXT NEXT_DAY(TRUNC(SYSDATE), 'MONDAY') + 15/24
AS SELECT * FROM sh.customers@remote
UNION
SELECT * FROM sh.customers@local;
Oracle Database automatically refreshes this materialized view tomorrow at 11:00 a.m. and subsequently every Monday at 3:00 p.m. The default refresh method is FORCE. The defining query contains a UNION operator, which is not supported for fast refresh, so the database will automatically perform a complete refresh.
The preceding statement also establishes storage characteristics for both the materialized view and the index that the database uses to maintain it:
-
The first
STORAGEclause establishes the sizes of the first and second extents of the materialized view as 50 kilobytes each. -
The second
STORAGEclause, appearing with theUSINGINDEXclause, establishes the sizes of the first and second extents of the index as 25 kilobytes each.
Creating a Fast Refreshable Materialized View: Example
The following statement creates a fast-refreshable materialized view that selects columns from the order_items table in the sample oe schema, using the UNION set operator to restrict the rows returned from the product_information and inventories tables using WHERE conditions. The materialized view logs for order_items and product_information were created in the "Examples" section of CREATE MATERIALIZED VIEW LOG. This example also requires a materialized view log on oe.inventories.
CREATE MATERIALIZED VIEW LOG ON inventories
WITH (quantity_on_hand);
CREATE MATERIALIZED VIEW warranty_orders REFRESH FAST AS
SELECT order_id, line_item_id, product_id FROM order_items o
WHERE EXISTS
(SELECT * FROM inventories i WHERE o.product_id = i.product_id
AND i.quantity_on_hand IS NOT NULL)
UNION
SELECT order_id, line_item_id, product_id FROM order_items
WHERE quantity > 5;
The materialized view warranty_orders requires that materialized view logs be defined on order_items (with product_id as a join column) and on inventories (with quantity_on_hand as a filter column). See "Specifying Filter Columns for Materialized View Logs: Example" and "Specifying Join Columns for Materialized View Logs: Example".
Creating a Nested Materialized View: Example
The following example uses the materialized view from the preceding example as a master table to create a materialized view tailored for a particular sales representative in the sample oe schema:
CREATE MATERIALIZED VIEW my_warranty_orders AS SELECT w.order_id, w.line_item_id, o.order_date FROM warranty_orders w, orders o WHERE o.order_id = o.order_id AND o.sales_rep_id = 165;



































