GRANT
Purpose
Use the GRANT statement to grant:
-
System privileges to users and roles. Table 18-1 lists the system privileges (organized by the database object operated upon).
Note that
ANYsystem privileges, for example,SELECT ANY TABLE, will not work onSYSobjects or other dictionary objects. -
Roles to users, roles, and program units. The granted roles can be either user-defined (local or external) or predefined. For a list of predefined roles, refer to Oracle Database Security Guide.
-
Object privileges for a particular object to users and roles. Table 18-2 lists the object privileges (organized by the database object operated upon).
Note:
Global roles (created with IDENTIFIED GLOBALLY) are granted through enterprise roles and cannot be granted using the GRANT statement.
Notes on Authorizing Database Users
You can authorize database users through means other than the database and the GRANT statement.
-
Many Oracle Database privileges are granted through supplied PL/SQL and Java packages. For information on those privileges, refer to the documentation for the appropriate package.
-
Some operating systems have facilities that let you grant roles to Oracle Database users with the initialization parameter
OS_ROLES. If you choose to grant roles to users through operating system facilities, then you cannot also grant roles to users with theGRANTstatement, although you can use theGRANTstatement to grant system privileges to users and system privileges and roles to other roles.
Note on Oracle Automatic Storage Management
A user authenticated AS SYSASM can use this statement to grant the system privileges SYSASM, SYSOPER, and SYSDBA to a user in the Oracle ASM password file of the current node.
Note on Editionable Objects
A GRANT operation to grant object privileges on an editionable object actualizes the object in the current edition. See Oracle Database Development Guide for more information about editions and editionable objects.
See Also:
-
CREATE USER and CREATE ROLE for definitions of local, global, and external privileges
-
Oracle Database Security Guide for information about other authorization methods and for information about privileges
-
REVOKE for information on revoking grants
Prerequisites
To grant a system privilege, one of the following conditions must be met:
-
You must have been granted the
GRANTANYPRIVILEGEsystem privilege. In this case, if you grant the system privilege to a role, then a user to whom the role has been granted does not have the privilege unless the role is enabled in user's session. -
You must have been granted the system privilege with the
ADMINOPTION. In this case, if you grant the system privilege to a role, then a user to whom the role has been granted has the privilege regardless whether the role is enabled in the user's session.
To grant a role to a user or another role, you must have been directly granted the role with the ADMIN OPTION, or you must have been granted the GRANT ANY ROLE system privilege, or you must have created the role.
To grant a role to a program unit in your own schema, you must have been directly granted the role with either the ADMIN OPTION or the DELEGATE OPTION, or you must have been granted the GRANT ANY ROLE system privilege, or you must have created the role.
To grant a role to a program unit in another user's schema, you must be the user SYS and the role must have been created by the schema owner or directly granted to the schema owner.
To grant an object privilege on a user, by specifying the ON USER clause of the on_object_clause, you must be the user on whom the privilege is granted, or you must have been granted the object privilege on that user with the WITH GRANT OPTION, or you must have been granted the GRANT ANY OBJECT PRIVILEGE system privilege. If you can grant an object privilege on a user only because you have the GRANT ANY OBJECT PRIVILEGE, then the GRANTOR column of the *_TAB_PRIVS views displays the user on whom the privilege is granted rather than the user who issued the GRANT statement.
To grant an object privilege on all other types of objects, you must own the object, or the owner of the object must have granted you the object privileges with the WITH GRANT OPTION, or you must have been granted the GRANT ANY OBJECT PRIVILEGE system privilege. If you have the GRANT ANY OBJECT PRIVILEGE, then you can grant the object privilege only if the object owner could have granted the same object privilege. In this case, the GRANTOR column of the *_TAB_PRIVS views displays the object owner rather than the user who issued the GRANT statement.
To specify the CONTAINER clause, you must be connected to a multitenant container database (CDB). To specify CONTAINER = ALL, the current container must be the root.
Syntax
grant_system_privileges::=
grantee_clause::=
grantee_identified_by::=
grant_object_privileges::=
on_object_clause::=
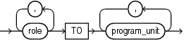
grant_roles_to_programs::=
program_unit::=
Semantics
grant_system_privileges
Use these clauses to grant system privileges.
system_privilege
Specify the system privilege you want to grant. Table 18-1 lists the system privileges, organized by the database object operated upon.
-
If you grant a privilege to a user, then the database adds the privilege to the user's privilege domain. The user can immediately exercise the privilege. Oracle recommends that you only grant the
ANYprivileges to trusted users. -
If you grant a privilege to a role, then the database adds the privilege to the privilege domain of the role. Users who have been granted and have enabled the role can immediately exercise the privilege. Other users who have been granted the role can enable the role and exercise the privilege.
-
If you grant a privilege to
PUBLIC, then the database adds the privilege to the privilege domains of each user. All users can immediately perform operations authorized by the privilege. Oracle recommends against granting system privileges toPUBLIC.
role
Specify the role you want to grant. You can grant an Oracle Database predefined role or a user-defined role.
-
If you grant a role to a user, then the database makes the role available to the user. The user can immediately enable the role and exercise the privileges in the privilege domain of the role.
In the case of a secure application role, you need not grant such a role directly to the user. You can let the associated PL/SQL package do this, assuming the user passes appropriate security policies. For more information, see the
CREATEROLEsemantics for USING package and Oracle Database Security Guide -
If you grant a role to another role, then the database adds the privilege domain of the granted role to the privilege domain of the grantee role. Users who have been granted the grantee role can enable it and exercise the privileges in the granted role's privilege domain.
-
If you grant a role to
PUBLIC, then the database makes the role available to all users. All users can immediately enable the role and exercise the privileges in the privilege domain of the role.
Note:
Unlimited tablespace is not granted to the DBA role, but when a grant is executed to grant DBA to a user, unlimited tablespace is granted as part of the same grant, provided the user executing the GRANT command has unlimited tablespace granted with the ADMIN or GRANT ANY PRIVILEGE system privilege .
ALL PRIVILEGES
Specify ALL PRIVILEGES to grant all of the system privileges listed in Table 18-1, except the SELECT ANY DICTIONARY, ALTER DATABASE LINK, and ALTER PUBLIC DATABASE LINK privileges.
However, grant and revoke ALL PRIVILEGES do not apply to ADMINISTER KEY MANAGEMENT. Granting ALL PRIVILEGES does not grant ADMINISTER KEY MANAGEMENT. Similarly, revoking ALL PRIVILEGES does not revoke ADMINISTER KEY MANAGEMENT.
See Also:
-
Oracle Database Security Guide for information on the Oracle predefined roles
-
CREATE ROLE for information on creating a user-defined role
grantee_clause
Use the grantee_clause to specify the users or roles to which the system privilege, role, or object privilege is granted.
PUBLIC
Specify PUBLIC to grant the privileges to all users. Oracle recommends against granting system privileges to PUBLIC.
Restriction on Grantees
A user, role, or PUBLIC cannot appear more than once in the grantee_clause.
grantee_identified_by
The grantee_identified_by clause lets you assign passwords to users when granting them system privileges and roles. You must specify an equal number of users and passwords. The first password is assigned to the first user, the second password is assigned to the second user, and so on. If a specified user exists, then the database resets the user's password. If a specified user does not exist, then the database creates the user with the password.
See Also:
CREATE USER for restrictions on usernames and passwords and "Assigning User Passwords When Granting a System Privilege: Example"
Specify WITH ADMIN OPTION to enable the grantee to:
-
Grant the privilege or role to another user or role, unless the role is a
GLOBALrole -
Revoke the privilege or role from another user or role
-
Alter the privilege or role to change the authorization needed to access it
-
Drop the privilege or role
-
Grant the role to a program unit in the grantee's schema.
-
Revoke the role from a program unit in the grantee's schema.
If you grant a system privilege or role to a user without specifying WITH ADMIN OPTION, and then subsequently grant the privilege or role to the user WITH ADMIN OPTION, then the user has the ADMIN OPTION on the privilege or role.
To revoke the ADMIN OPTION on a system privilege or role from a user, you must revoke the privilege or role from the user altogether and then grant the privilege or role to the user without the ADMIN OPTION.
See Also:
WITH DELEGATE OPTION
You can specify this clause only when granting a role to a user.
Specify WITH DELEGATE OPTION to enable the grantee to:
-
Grant the role to a program unit in the grantee's schema
-
Revoke the role from a program unit in the grantee's schema
If you grant a role to a user without specifying WITH DELEGATE OPTION, and then subsequently grant the role to the user WITH DELEGATE OPTION, then the user has the DELEGATE OPTION on the role.
To revoke the DELEGATE OPTION on a role from a user, you must revoke the role from the user altogether and then grant the role to the user without the DELEGATE OPTION.
See Also:
-
The grant_roles_to_programs clause for more information on granting roles to program units
Restrictions on Granting System Privileges and Roles
Privileges and roles are subject to the following restrictions:
-
A privilege or role cannot appear more than once in the list of privileges and roles to be granted.
-
You cannot grant a role to itself.
-
You cannot grant a role
IDENTIFIEDGLOBALLYto anything. -
You cannot grant a role
IDENTIFIEDEXTERNALLYto a global user or global role. -
You cannot grant roles circularly. For example, if you grant the role
bankerto the roleteller, then you cannot subsequently granttellertobanker. -
You cannot grant an
IDENTIFIEDBYrole,IDENTIFIEDUSINGrole, orIDENTIFIEDEXTERNALLYrole to another role.
grant_object_privileges
Use these clauses to grant object privileges.
object_privilege
Specify the object privilege you want to grant. Table 18-2 lists the object privileges, organized by the type of object on which they can be granted. When you grant an object privilege on a editionable object, either to a user or to a role, the object is actualized in the edition in which the grant is made. Refer to CREATE EDITION for information on editionable object types and editions.
Note:
To grant SELECT on a view to another user, either you must own all of the objects underlying the view or you must have been granted the SELECT object privilege WITH GRANT OPTION on all of those underlying objects. This is true even if the grantee already has SELECT privileges on those underlying objects.
To grant READ on a view to another user, either you must own all of the objects underlying the view or you must have been granted the READ or SELECT object privilege WITH GRANT OPTION on all of those underlying objects. This is true even if the grantee already has the READ or SELECT privilege on those underlying objects.
Restriction on Object Privileges
A privilege cannot appear more than once in the list of privileges to be granted.
Specify ALL to grant all the privileges for the object that you have been granted with the GRANT OPTION. The user who owns the schema containing an object automatically has all privileges on the object with the GRANT OPTION. The keyword PRIVILEGES is provided for semantic clarity and is optional.
column
Specify the table or view column on which privileges are to be granted. You can specify columns only when granting the INSERT, REFERENCES, or UPDATE privilege. If you do not list columns, then the grantee has the specified privilege on all columns in the table or view.
For information on existing column object grants, query the USER_, ALL_, or DBA_COL_PRIVS data dictionary view.
See Also:
Oracle Database Reference for information on the data dictionary views and "Granting Multiple Object Privileges on Individual Columns: Example"
on_object_clause
The on_object_clause identifies the object on which the privileges are granted. Users, directory objects, editions, data mining models, Java source and resource schema objects, and SQL translation profiles are identified separately because they reside in separate namespaces.
See Also:
object
Specify the schema object on which the privileges are to be granted. If you do not qualify object with schema, then the database assumes the object is in your own schema. The object can be one of the following types:
-
Table, view, or materialized view
-
Sequence
-
Procedure, function, or package
-
User-defined type
-
Synonym for any of the preceding items
-
Directory, library, operator, or indextype
-
Java source, class, or resource
You cannot grant privileges directly to a single partition of a partitioned table.
See Also:
"Granting Object Privileges on a Table to a User: Example", "Granting Object Privileges on a View: Example", and "Granting Object Privileges to a Sequence in Another Schema: Example"
ON USER
Specify one or more database user on whom privileges are to be granted.
Restriction on Granting Privileges on Users
You cannot grant privileges on user PUBLIC.
See Also:
ON DIRECTORY
Specify the name of the directory object on which privileges are to be granted. You cannot qualify directory_name with a schema name.
See Also:
CREATE DIRECTORY and "Granting an Object Privilege on a Directory: Example"
ON EDITION
Specify the name of the edition on which the USE object privilege is to be granted. You cannot qualify edition_name with a schema name.
ON MINING MODEL
Specify the name of the mining model on which privileges are to be granted. If you do not qualify mining_model_name with schema, then the database assumes that the mining model is in your own schema.
ON JAVA SOURCE | RESOURCE
Specify the name of the Java source or resource schema object on which privileges are to be granted. If you do not qualify object with schema, then the database assumes that the object is in your own schema.
See Also:
ON SQL TRANSLATION PROFILE
Specify the name of the SQL translation profile on which privileges are to be granted. If you do not qualify profile with schema, then the database assumes that the profile is in your own schema.
Specify WITH HIERARCHY OPTION to grant the specified object privilege on all subobjects of object, such as subviews created under a view, including subobjects created subsequent to this statement.
This clause is meaningful only in combination with the READ or SELECT object privilege.
Specify WITH GRANT OPTION to enable the grantee to grant the object privileges to other users and roles.
If you grant an object privilege to a user without specifying WITH GRANT OPTION, and then subsequently grant the privilege to the user WITH GRANT OPTION, then the user has the GRANT OPTION on the privilege.
To revoke the GRANT OPTION on an object privilege from a user, you must revoke the privilege from the user altogether and then grant the privilege to the user without the GRANT OPTION.
Restriction on Granting WITH GRANT OPTION
You can specify WITH GRANT OPTION only when granting to a user or to PUBLIC, not when granting to a role.
grant_roles_to_programs
Use this clause to grant roles to program units. Such roles are called code based access control (CBAC) roles.
role
Specify the role you want to grant. You can grant an Oracle Database predefined role or a user-defined role. The role must have been created by or directly granted to the schema owner of the program unit.
program_unit
Specify the program unit to which the role is to be granted. You can specify a PL/SQL function, procedure, or package. If you do not specify schema, then Oracle Database assumes the function, procedure, or package is in your own schema.
See Also:
Oracle Database Security Guide for more information on granting code based access control roles to program units
CONTAINER Clause
If the current container is a pluggable database (PDB):
-
Specify
CONTAINER=CURRENTto locally grant a system privilege, object privilege, or role to a user or role. The privilege or role is granted to the user or role only in the current PDB.
If the current container is the root:
-
Specify
CONTAINER=CURRENTto locally grant a system privilege, object privilege, or role to a common user or common role. The privilege or role is granted to the user or role only in the root. -
Specify
CONTAINER=ALLto commonly grant a system privilege, object privilege on a common object, or role, to a common user or common role.
If you omit this clause, then CONTAINER = CURRENT is the default.
Note:
If you specify the CONTAINER clause when granting a privilege or role, then the current container must be the same container and you must specify the same CONTAINER clause when you revoke the privilege or role. Refer to the CONTAINER Clause of the REVOKE statement for more information.
Listings of System and Object Privileges
Table 18-1 System Privileges (Organized by the Database Object Operated Upon)
| System Privilege Name | Operations Authorized |
|---|---|
|
Advisor Framework Privileges: All of the advisor framework privileges are part of the DBA role. |
— |
|
|
Access the advisor framework through PL/SQL packages such as |
|
Create, drop, select (read), load (write), and delete SQL tuning sets owned by the grantee through the |
|
|
Create, drop, select (read), load (write), and delete SQL tuning sets owned by any user through the |
|
|
Accept a SQL Profile recommended by the SQL Tuning Advisor, which is accessed through Enterprise Manager or by the Note: This privilege has been deprecated in favor of |
|
|
Alter the attributes of an existing SQL Profile. Note: This privilege has been deprecated in favor of |
|
|
Drop existing SQL Profiles. Note: This privilege has been deprecated in favor of |
|
|
Create, alter, and drop SQL Profiles owned by any user through the |
|
|
ANALYTIC VIEWS |
— |
|
|
Create analytic views in the grantee's schema. |
|
|
Create analytic views in any schema except |
|
|
Rename analytic views in any schema except |
|
|
Drop analytic views in any schema except |
|
ATTRIBUTE DIMENSIONS |
— |
|
|
Create attribute dimensions in the grantee's schema. |
|
|
Create attribute dimensions in any schema except |
|
|
Rename attribute dimensions in any schema except |
|
|
Drop attribute dimensions in any schema except |
|
CLUSTERS: |
— |
|
|
Create clusters in the grantee's schema. |
|
|
Create clusters in any schema except |
|
|
Alter clusters in any schema except |
|
|
Drop clusters in any schema except |
|
CONTEXTS: |
— |
|
|
Create any context namespace. |
|
|
Drop any context namespace. |
|
DATA REDACTION: |
— |
|
|
Bypass any existing Oracle Data Redaction policies and view actual data from tables or views on which Data Redaction policies are defined. |
|
DATABASE: |
— |
|
|
Alter the database. |
|
|
Issue |
|
|
Issue |
|
DATABASE LINKS: |
— |
|
|
Create private database links in the grantee's schema. |
|
|
Create public database links. |
|
Modify a fixed-user database link when the password of the connection or authentication user changes. |
|
|
Modify a public fixed-user database link when the password of the connection or authentication user changes. |
|
|
|
Drop public database links. |
|
DEBUGGING: |
— |
|
|
Connect the current session to a debugger. |
|
|
Debug all PL/SQL and Java code in any database object. Display information on all SQL statements executed by the application. Note: Granting this privilege is equivalent to granting the |
|
— |
|
|
|
Analyze any data dictionary object. |
|
DIMENSIONS: |
— |
|
|
Create dimensions in the grantee's schema. |
|
|
Create dimensions in any schema except |
|
|
Alter dimensions in any schema except |
|
|
Drop dimensions in any schema except |
|
DIRECTORIES: |
— |
|
|
Create directory database objects. |
|
|
Drop directory database objects. |
|
EDITIONS: |
— |
|
|
Create editions. |
|
|
Drop editions. |
|
FLASHBACK DATA ARCHIVES: |
— |
|
|
Create, alter, or drop any flashback data archive. |
|
HIERARCHIES |
— |
|
|
Create hierarchies in the grantee's schema. |
|
|
Create hierarchies in any schema except |
ALTER ANY HIERARCHY |
Rename hierarchies in any schema except |
|
|
Drop hierarchies in any schema except |
|
INDEXES: |
— |
|
|
Create in any schema, except |
|
|
Alter indexes in any schema except |
|
|
Drop indexes in any schema except |
|
INDEXTYPES: |
— |
|
|
Create indextypes in the grantee's schema. |
|
|
Create indextypes in any schema except |
|
|
Modify indextypes in any schema except |
|
|
Drop indextypes in any schema except |
|
|
Reference indextypes in any schema except |
|
JOB SCHEDULER OBJECTS: |
The following privileges are needed to execute procedures in the |
|
|
Create, alter, or drop jobs, chains, schedules, programs, credentials, resource objects, or incompatibility resource objects in the grantee's schema. |
|
|
Create, alter, or drop jobs, chains, schedules, programs, credentials, resource objects, or incompatibility resource objects in any schema except Note: This extremely powerful privilege allows the grantee to execute code as any other user. It should be granted with caution. |
|
|
Create in the grantee's schema an executable scheduler job that runs on the operating system. |
|
|
Specify any job class in a job in the grantee's schema. |
|
|
Use any program in a job in the grantee's schema. |
|
|
Create, alter, or drop any job class, window, or window group. |
|
|
Associate any schedule resource object with any program or job in the grantee’s schema. |
|
KEY MANAGEMENT FRAMEWORK: |
— |
|
Manage keys and keystores. |
|
|
LIBRARIES: |
Caution: |
|
|
Create external procedure or function libraries in the grantee's schema. |
|
|
Create external procedure or function libraries in any schema except |
|
|
Alter external procedure or function libraries in any schema except |
|
|
Drop external procedure or function libraries in any schema except |
|
|
Use external procedure or function libraries in any schema except |
|
LOGMINER: |
— |
|
|
Execute procedures in the |
|
MATERIALIZED VIEWS: |
— |
|
|
Create materialized views in the grantee's schema. |
|
|
Create materialized views in any schema except |
|
|
Alter materialized views in any schema except |
|
|
Drop materialized views in any schema except |
|
|
This privilege has been deprecated. No privileges are needed for a user to enable rewrite for a materialized view that references tables or views in the user's own schema. |
|
|
Enable rewrite using a materialized view when that materialized view references tables or views in any schema except |
|
|
Create a refresh-on-commit materialized view on any table in the database. Alter a refresh-on-demand materialized view on any table in the database to refresh-on-commit. |
|
|
Issue a SQL Flashback Query on any table, view, or materialized view in any schema except |
|
MINING MODELS: |
— |
|
|
Create mining models in the grantee's schema using the |
|
|
Create mining models in any schema, except |
|
|
Change the mining model name or the associated cost matrix of a model in any schema, except |
|
|
Drop mining models in any schema, except |
|
|
Score or view mining models in any schema except |
|
|
Create comments on mining models in any schema, except |
|
OLAP CUBES: |
The following privileges are valid when you are using Oracle Database with the OLAP option. |
|
|
Create OLAP cubes in the grantee's schema. |
|
|
Create OLAP cubes in any schema except |
|
|
Alter OLAP cubes in any schema except |
|
|
Drop OLAP cubes in any schema except |
|
|
Query or view OLAP cubes in any schema except |
|
|
Update OLAP cubes in any schema except |
|
OLAP CUBE MEASURE FOLDERS: |
The following privileges are valid when you are using Oracle Database with the OLAP option. |
|
|
Create OLAP measure folders in the grantee's schema. |
|
|
Create OLAP measure folders in any schema except |
|
|
Delete a measure from an OLAP measure folder in any schema except |
|
|
Drop OLAP measure folders in any schema except |
|
|
Insert a measure into an OLAP measure folder in any schema except |
|
OLAP CUBE DIMENSIONS: |
The following privileges are valid when you are using Oracle Database with the OLAP option. |
|
|
Create OLAP cube dimension in the grantee's schema. |
|
|
Create OLAP cube dimensions in any schema except |
|
|
Alter OLAP cube dimensions in any schema except |
|
|
Delete from OLAP cube dimensions in any schema except |
|
|
Drop OLAP cube dimensions in any schema except |
|
|
Insert into OLAP cube dimensions in any schema except |
|
|
View or query OLAP cube dimensions in any schema except |
|
|
Update OLAP cube dimensions in any schema except |
|
OLAP CUBE BUILD PROCESSES: |
— |
|
|
Create OLAP cube build processes in the grantee's schema. |
|
|
Create OLAP cube build processes in any schema except |
|
|
Drop OLAP cube build processes in any schema except |
|
|
Update OLAP cube build processes in any schema except |
|
OPERATORS: |
— |
|
|
Create an operator and its bindings in the grantee's schema. |
|
|
Create an operator and its bindings in any schema and create a comment on an operator in any schema. |
|
|
Modify operators in any schema. |
|
|
Drop operators in any schema. |
|
|
Reference operators in any schema. |
|
OUTLINES: |
— |
|
|
Create public outlines that can be used in any schema that uses outlines. |
|
|
Modify outlines. |
|
|
Drop outlines. |
|
PDB LOCKDOWN PROFILES: |
— |
|
|
Create PDB lockdown profiles. |
|
|
Alter PDB lockdown profiles. |
|
|
Drop PDB lockdown profiles. |
|
PLAN MANAGEMENT: |
— |
|
|
Perform controlled manipulation of plan history and SQL plan baselines maintained for various SQL statements. |
|
PLUGGABLE DATABASES: |
— |
|
Create a PDB. Plug in a PDB that was previously unplugged from a CDB. Clone a PDB. |
|
|
Allow a common user to switch into the container for which this privilege was granted. This privilege can be granted only to a common user or common role. |
|
|
PROCEDURES: |
— |
|
|
Create stored procedures, functions, or packages in the grantee's schema. |
|
|
Create stored procedures, functions, or packages in any schema except |
|
|
Alter stored procedures, functions, or packages in any schema except |
|
|
Drop stored procedures, functions, or packages in any schema except |
|
|
Execute procedures or functions, either standalone or packaged. Reference public package variables in any schema except |
|
|
Execute definer's rights procedures or functions that contain current user database links. |
|
PROFILES: |
— |
|
|
Create profiles. |
|
|
Alter profiles. |
|
|
Drop profiles. |
|
ROLES: |
— |
|
|
Create roles. |
|
|
Alter any role in the database. |
|
|
Drop roles. |
|
|
Grant any role in the database. |
|
ROLLBACK SEGMENTS: |
— |
|
|
Create rollback segments. |
|
|
Alter rollback segments. |
|
|
Drop rollback segments. |
|
SEQUENCES: |
— |
|
|
Create sequences in the grantee's schema. |
|
|
Create sequences in any schema except |
|
|
Alter sequences in any schema except |
|
|
Drop sequences in any schema except |
|
|
Reference sequences in any schema except |
|
SESSIONS: |
— |
|
|
Connect to the database. |
|
|
Set costs for session resources. |
|
|
Enable and disable the SQL trace facility. |
|
|
Logon after the instance is started using the SQL*Plus |
|
SNAPSHOTS: |
See |
|
— |
|
|
|
Create SQL translation profiles in the grantee's schema. |
|
|
Create SQL translation profiles in any schema except |
|
|
Alter the translator, custom SQL statement translations, or custom error translations of a SQL translation profile in any schema except |
|
|
Use SQL translation profiles in any schema except |
|
|
Drop SQL translation profiles in any schema except |
|
|
Translate SQL through the grantee's SQL translation profile for any user. |
|
SYNONYMS: |
Caution: |
|
|
Create synonyms in the grantee's schema. |
|
|
Create private synonyms in any schema except |
|
|
Create public synonyms. |
|
|
Drop private synonyms in any schema except |
|
|
Drop public synonyms. |
|
TABLES: |
Note: For external tables, the only valid privileges are |
|
|
Create tables in the grantee's schema. |
|
|
Create a table in any schema except |
|
|
Alter a table or view in any schema except |
|
|
Use the Export utility to incrementally export objects from the schema of other users except |
|
|
Delete rows from tables, table partitions, or views in any schema except |
|
|
Drop or truncate tables or table partitions in any schema except |
|
|
Insert rows into tables and views in any schema except |
|
|
Lock tables and views in any schema except |
|
Query tables, views, or materialized views in any schema except |
|
|
|
Query tables, views, or materialized views in any schema except |
|
|
Issue a SQL Flashback Query on any table, view, or materialized view in any schema except |
|
|
Update rows in tables and views in any schema except |
|
|
Perform online redefinition without granting any of the privileges in |
|
TABLESPACES: |
— |
|
|
Create tablespaces. |
|
|
Alter tablespaces. |
|
|
Drop tablespaces. |
|
|
Take tablespaces offline and online and begin and end tablespace backups. |
|
|
Use an unlimited amount of any tablespace. This privilege overrides any specific quotas assigned. If you revoke this privilege from a user, then the user's schema objects remain but further tablespace allocation is denied unless authorized by specific tablespace quotas. You cannot grant this system privilege to roles. |
|
TRIGGERS: |
— |
|
|
Create database triggers in the grantee's schema. |
|
|
Create database triggers in any schema except |
|
|
Enable, disable, or compile database triggers in any schema except |
|
|
Drop database triggers in any schema except |
|
|
Create a trigger on |
|
TYPES: |
— |
|
|
Create object types and object type bodies in the grantee's schema. |
|
|
Create object types and object type bodies in any schema except |
|
|
Alter object types in any schema except |
|
|
Drop object types and object type bodies in any schema except |
|
|
Use and reference object types and collection types in any schema except |
|
|
Create subtypes under any nonfinal object types. |
|
USERS: |
— |
|
|
Create users. This privilege also allows the creator to:
|
|
|
Alter any user except
|
|
|
Drop users |
|
VIEWS: |
— |
|
|
Create views in the grantee's schema. |
|
|
Create views in any schema except |
|
|
Drop views in any schema except |
|
|
Create subviews under any object views. |
|
|
Issue a SQL Flashback Query on any table, view, or materialized view in any schema except |
|
If a user has been granted the |
|
|
MISCELLANEOUS: |
— |
|
|
Analyze a table, cluster, or index in any schema except |
|
|
Audit an object in any schema, except |
|
Allow users of the Data Pump Import utility (impdp) and the original Import utility (imp) to assume the identity of another user in order to perform operations that cannot be directly performed by a third party (for example, loading objects such as object privilege grants). Allow Streams administrators to create or alter capture users and apply users in a Streams environment. By default this privilege is part of the DBA role. Database Vault removes this privileges from the DBA role. Therefore, this privilege is needed by Streams only in an environment where Database Vault is installed. |
|
|
Create a registration on queries and receive database change notifications in response to DML or DDL changes to the objects associated with the registered queries. Refer to Oracle Database Development Guide for more information on database change notification. |
|
|
|
Comment on a table, view, or column in any schema except |
|
|
Bypass fine-grained access control. Caution: This is a very powerful system privilege, as it lets the grantee bypass application-driven security policies. Database administrators should use caution when granting this privilege. |
|
|
Force the commit or rollback of any in-doubt distributed transaction in the local database. Induce the failure of a distributed transaction. |
|
|
Force the commit or rollback of the grantee's in-doubt distributed transactions in the local database. |
|
|
Grant any object privilege that the object owner is permitted to grant. Revoke any object privilege that was granted by the object owner or by some other user with the |
|
|
Grant any system privilege. |
|
|
Execute invoker's rights procedures owned by the grantee with the privileges of the invoker. |
|
|
The Note: If this privilege is granted or revoked between runtime and failover of a request, then the original values are not returned during replay for Application Continuity for that request. |
|
|
The Note: If this privilege is granted or revoked between runtime and failover of a request, then the original value is not returned during replay for Application Continuity for that request. |
|
|
Remove all objects from the system-wide recycle bin. |
|
|
Enable resumable space allocation. |
|
|
Query any data dictionary object in the This privilege lets you selectively override the default |
|
|
Query the contents of the Caution: This is a very powerful system privilege, as it lets the grantee view all data in the database, including past data. This privilege should be granted only to users who need to use the Oracle Flashback Transaction Query feature. |
|
|
Perform the following backup and recovery operations:
Create, use, view, and drop restore points (including guaranteed restore points). Execute procedures in the
Includes the |
|
|
Includes the |
|
|
Perform the following Oracle Data Guard operations:
Create, use, view, and drop restore points (including guaranteed restore points).
Includes the |
|
|
Perform the following encryption key management operations: Connect to the database even if the database is not open.
Includes the |
|
|
Includes the |
Table 18-2 Object Privileges (Organized by the Database Object Operated Upon)
| Object Privilege Name | Operations Authorized |
|---|---|
|
ANALYTIC VIEW PRIVILEGES |
The following analytic view privileges authorize operations on analytic views. |
ALTER |
Rename the analytic view. |
READ |
Query the object with the |
SELECT |
Query the object with the SELECT statement.
|
|
ATTRIBUTE DIMENSION PRIVILEGES |
The following attribute dimension privileges authorize operations on attribute dimensions.. |
ALTER |
Rename the attribute dimension. |
|
DIRECTORY PRIVILEGES |
The following directory privileges provide secured access to the files stored in the operating system directory to which the directory object serves as a pointer. The directory object contains the full path name of the operating system directory where the files reside. Because the files are actually stored outside the database, Oracle Database server processes also need to have appropriate file permissions on the file system server. Granting object privileges on the directory database object to individual database users, rather than on the operating system, allows the database to enforce security during file operations. |
|
|
Read files in the directory. |
|
|
Write files in the directory. This privilege is useful only in connection with external tables. It allows the grantee to determine whether the external table agent can write a log file or a bad file to the directory. Restriction: This privilege does not allow the grantee to write to a |
|
Execute a preprocessor program that resides in the directory. A preprocessor program converts data to a supported format when loading data records from an external table with the |
|
|
EDITION PRIVILEGE |
The following edition privilege authorizes the use of an edition. |
|
|
Use an edition. |
|
FLASHBACK DATA ARCHIVE PRIVILEGE |
The following flashback data archive privilege authorizes operations on flashback data archives. |
|
Enable or disable historical tracking for a table. |
|
|
HIERARCHY PRIVILEGES |
The following hierarchy privileges authorize operations on hierarchies. |
ALTER |
Rename the hierarchy. |
READ |
Query the object with the |
SELECT |
Query the object with the |
|
INDEXTYPE PRIVILEGE |
The following indextype privilege authorizes operations on indextypes. |
|
|
Reference an indextype. |
|
LIBRARY PRIVILEGE |
The following library privilege authorizes operations on a library. |
|
|
Use and reference the specified object and invoke its methods. Caution: This extremely powerful privilege should be granted only to trusted users. Refer to Oracle Database Security Guide before granting this privilege. |
|
MATERIALIZED VIEW PRIVILEGES |
The following materialized view privileges authorize operations on a materialized view. The |
|
|
Create a refresh-on-commit materialized view on the specified table. |
|
|
Create a materialized view for query rewrite using the specified table. |
|
Query the materialized view. |
|
|
|
Query the materialized view. Obtain row locks with the |
|
MINING MODEL PRIVILEGES |
The following mining model privileges authorize operations on a mining model. These privileges are not required for models within the users own schema. |
|
|
Change the mining model name or the associated cost matrix using the applicable |
|
|
Score or view the mining model. Scoring is done with the |
|
OBJECT TYPE PRIVILEGES |
The following object type privileges authorize operations on a database object type. |
|
|
Access, through a debugger, all public and nonpublic variables, methods, and types defined on the object type. Place a breakpoint or stop at a line or instruction boundary within the type body. |
|
|
Use and reference the specified object and invoke its methods. Access, through a debugger, public variables, types, and methods defined on the object type. |
|
|
Create a subtype under this type. You can grant this object privilege only if you have the |
|
OLAP PRIVILEGES |
The following object privileges are valid if you are using Oracle Database with the OLAP option. |
|
|
Insert members into the OLAP cube dimension or measures into the measures folder. |
|
|
Change the definition of the OLAP cube dimension or cube. |
|
|
Delete members from the OLAP cube dimension or measures from the measures folder. |
|
|
View or query the OLAP cube or cube dimension. |
|
|
Update measure values of the OLAP cube or attribute values of the cube dimension. |
|
OPERATOR PRIVILEGE |
The following operator privilege authorizes operations on user-defined operators. |
|
|
Reference an operator. |
|
PROCEDURE, FUNCTION, PACKAGE PRIVILEGES |
The following procedure, function, and package privileges authorize operations on procedures, functions, and packages. These privileges also apply to Java sources, classes, and resources, which Oracle Database treats as though they were procedures for purposes of granting object privileges. |
|
|
Access, through a debugger, all public and nonpublic variables, methods, and types defined on the object. Place a breakpoint or stop at a line or instruction boundary within the procedure, function, or package. This privilege grants access to the declarations in the method or package specification and body. |
|
|
Execute the procedure or function directly, or access any program object declared in the specification of a package, or compile the object implicitly during a call to a currently invalid or uncompiled function or procedure. This privilege does not allow the grantee to explicitly compile using Access, through a debugger, public variables, types, and methods defined on the procedure, function, or package. This privilege grants access to the declarations in the method or package specification only. Job scheduler objects are created using the Note: Users do not need this privilege to execute a procedure, function, or package indirectly. |
|
SCHEDULER PRIVILEGES |
Job scheduler objects are created using the |
|
|
Operations on job classes, programs, chains, and credentials. |
|
|
Modifications to jobs, programs, chains, credentials, and schedules. |
|
|
Associate the specified scheduler resource object with programs and jobs. |
|
SEQUENCE PRIVILEGES |
The following sequence privileges authorize operations on a sequence. |
|
|
Change the sequence definition with the |
|
The sequence pseudocolumn If this privilege is granted or revoked between runtime and failover of a request, then the original value of Note: This privilege is not granted by the Note: This privilege is part of the DBA role. |
|
|
|
Examine and increment values of the sequence with the |
|
The following SQL translation profile privileges authorize operations on a SQL translation profile. |
|
|
Alter the translator, custom SQL statement translations, or custom error translations of a SQL translation profile. |
|
|
Use a SQL translation profile. |
|
|
SYNONYM PRIVILEGES |
Synonym privileges are the same as the privileges for the target object. Granting a privilege on a synonym is equivalent to granting the privilege on the base object. Similarly, granting a privilege on a base object is equivalent to granting the privilege on all synonyms for the object. If you grant to a user a privilege on a synonym, then the user can use either the synonym name or the base object name in the SQL statement that exercises the privilege. |
|
TABLE PRIVILEGES |
The following table privileges authorize operations on a table. Any one of following object privileges, except the Note: For external tables, the only valid object privileges are |
|
|
Change the table definition with the |
|
|
Access, through a debugger:
|
|
|
Remove rows from the table with the Note: You must grant the |
|
|
Create an index on the table with the |
|
|
Add new rows to the table with the Note: You must grant the |
|
Query the table with the |
|
|
|
Create a constraint that refers to the table. You cannot grant this privilege to a role. |
|
|
Query the table with the |
|
|
Change data in the table with the Note: You must grant the |
|
USER PRIVILEGES |
The following privileges authorize operations on a user. |
|
Execute invoker's rights procedures or functions owned by the grantee with the privileges of the invoker when the invoker is the user on whom this privilege is granted. |
|
|
|
Allow the user on whom this privilege is granted to execute definer's rights procedures or functions that contain current user database links and are owned by the grantee. |
|
Translate SQL through the grantee's SQL translation profile for the user on whom this privilege is granted. |
|
|
VIEW PRIVILEGES |
The following view privileges authorize operations on a view. Any one of the following object privileges, except the To grant a privilege on a view, you must have that privilege with the |
|
|
Access, through a debugger:
|
|
|
Remove rows from the view with the |
|
|
Add new rows to the view with the |
|
This object privilege has the same behavior as the system privilege MERGE ANY VIEW, except that the privilege is limited to the views specified in the |
|
|
Query the view with the |
|
|
|
Define foreign key constraints on the view. |
|
|
Query the view with the See Also: object_privilege for additional information on granting this object privilege on a view |
|
Create a subview under this view. You can grant this object privilege only if you have the |
|
|
|
Change data in the view with the |
Examples
Granting a System Privilege to a User: Example
To grant the CREATE SESSION system privilege to the sample user hr, allowing hr to log on to Oracle Database, issue the following statement:
GRANT CREATE SESSION TO hr;
Assigning User Passwords When Granting a System Privilege: Example
Assume that user hr exists and user newuser does not exist. The following statement resets the user hr password to password1, creates user newuser with password2, and grants both users the CREATE SESSION system privilege:
GRANT CREATE SESSION TO hr, newuser IDENTIFIED BY password1, password2;
Granting System Privileges to a Role: Example
The following statement grants appropriate system privileges to a data warehouse manager role, which was created in the "Creating a Role: Example":
GRANT
CREATE ANY MATERIALIZED VIEW
, ALTER ANY MATERIALIZED VIEW
, DROP ANY MATERIALIZED VIEW
, QUERY REWRITE
, GLOBAL QUERY REWRITE
TO dw_manager
WITH ADMIN OPTION;
The dw_manager privilege domain now contains the system privileges related to materialized views.
Granting a Role with the ADMIN OPTION: Example
To grant the dw_manager role with the ADMIN OPTION to the sample user sh, issue the following statement:
GRANT dw_manager TO sh WITH ADMIN OPTION;
User sh can now perform the following operations with the dw_manager role:
-
Enable the role and exercise any privileges in the privilege domain of the role, including the
CREATEMATERIALIZEDVIEWsystem privilege -
Grant and revoke the role to and from other users
-
Drop the role
-
Grant and revoke the
dw_managerrole to and from program units in theshschema
Granting a Role with the DELEGATE OPTION: Example
To grant the dw_manager role with the DELEGATE OPTION to the sample user sh, issue the following statement:
GRANT dw_manager TO sh WITH DELEGATE OPTION;
User sh can now grant and revoke the dw_manager role to and from program units in the sh schema.
Granting Object Privileges to a Role: Example
The following example grants the SELECT object privileges to a data warehouse user role, which was created in the "Creating a Role: Example":
GRANT SELECT ON sh.sales TO warehouse_user;
Granting a Role to a Role: Example
The following statement grants the warehouse_user role to the dw_manager role. Both roles were created in the "Creating a Role: Example":
GRANT warehouse_user TO dw_manager;
The dw_manager role now contains all of the privileges in the domain of the warehouse_user role.
Granting an Object Privilege on a User: Example
To grant the INHERIT PRIVILEGES object privilege on user sh to user hr, issue the following statement:
GRANT INHERIT PRIVILEGES ON USER sh TO hr;
Granting an Object Privilege on a Directory: Example
To grant READ on directory bfile_dir to user hr, with the GRANT OPTION, issue the following statement:
GRANT READ ON DIRECTORY bfile_dir TO hr WITH GRANT OPTION;
Granting Object Privileges on a Table to a User: Example
To grant all privileges on the table oe.bonuses, which was created in "Merging into a Table: Example", to the user hr with the GRANT OPTION, issue the following statement:
GRANT ALL ON bonuses TO hr WITH GRANT OPTION;
The user hr can subsequently perform the following operations:
-
Exercise any privilege on the
bonusestable -
Grant any privilege on the
bonusestable to another user or role
Granting Object Privileges on a View: Example
To grant SELECT and UPDATE privileges on the view emp_view, which was created in "Creating a View: Example", to all users, issue the following statement:
GRANT SELECT, UPDATE ON emp_view TO PUBLIC;
All users can subsequently query and update the view of employee details.
Granting Object Privileges to a Sequence in Another Schema: Example
To grant SELECT privilege on the customers_seq sequence in the schema oe to the user hr, issue the following statement:
GRANT SELECT ON oe.customers_seq TO hr;
The user hr can subsequently generate the next value of the sequence with the following statement:
SELECT oe.customers_seq.NEXTVAL FROM DUAL;
Granting Multiple Object Privileges on Individual Columns: Example
To grant to user oe the REFERENCES privilege on the employee_id column and the UPDATE privilege on the employee_id, salary, and commission_pct columns of the employees table in the schema hr, issue the following statement:
GRANT REFERENCES (employee_id),
UPDATE (employee_id, salary, commission_pct)
ON hr.employees
TO oe;
The user oe can subsequently update values of the employee_id, salary, and commission_pct columns. User oe can also define referential integrity constraints that refer to the employee_id column. However, because the GRANT statement lists only these columns, oe cannot perform operations on any of the other columns of the employees table.
For example, oe can create a table with a constraint:
CREATE TABLE dependent
(dependno NUMBER,
dependname VARCHAR2(10),
employee NUMBER
CONSTRAINT in_emp REFERENCES hr.employees(employee_id) );
The constraint in_emp ensures that all dependents in the dependent table correspond to an employee in the employees table in the schema hr.







