8 Generation of XML Data from Relational Data
Oracle XML DB provides features for generating (constructing) XML data from relational data in the database. There are both SQL/XML standard functions and Oracle-specific functions and packages for generating XML data from relational content.
- Overview of Generating XML Data
You can generate XML data using Oracle XML DB using standard SQL/XML functions, Oracle-specific SQL functions, PL/SQL subprograms from packageDBMS_XMLGEN, orDBURIType. - Generation of XML Data Using SQL Functions
Oracle XML DB provides SQL functions that you can use to construct XML data. Most of these belong to the SQL/XML standard. - Generation of XML Data Using DBMS_XMLGEN
PL/SQL packageDBMS_XMLGENcreates XML documents from SQL query results. It retrieves an XML document as aCLOBorXMLTypevalue. - SYS_XMLAGG Oracle SQL Function
Oracle SQL functionsys_XMLAggaggregates all XML documents or fragments represented by an expression, producing a single XML document from them. It wraps the results of the expression in a new element namedROWSET(by default). - Ordering Query Results Before Aggregating, Using XMLAGG ORDER BY Clause
To use theXMLAgg ORDER BYclause before aggregation, specify theORDER BYclause following the firstXMLAGGargument. - Returning a Rowset Using XMLTABLE
You can use standard SQL/XML functionXMLTableto return a rowset with relevant portions of a document extracted as multiple rows.
See Also:
XQuery and Oracle XML DB for information about constructing XML data using SQL/XML functions XMLQuery and XMLTable
Parent topic: Relational Data To and From XML Data
8.1 Overview of Generating XML Data
You can generate XML data using Oracle XML DB using standard SQL/XML functions, Oracle-specific SQL functions, PL/SQL subprograms from package DBMS_XMLGEN, or DBURIType.
-
Use standard SQL/XML functions. See Generation of XML Data Using SQL Functions.
-
Use Oracle SQL functions . See the following sections:
-
SYS_XMLAGG Oracle SQL Function. This operates on groups of rows, aggregating several XML documents into one.
-
Use PL/SQL package
DBMS_XMLGEN. See Generation of XML Data Using DBMS_XMLGEN. -
Use a
DBURITypeinstance to construct XML documents from database data. See Data Access Using URIs.
8.2 Generation of XML Data Using SQL Functions
Oracle XML DB provides SQL functions that you can use to construct XML data. Most of these belong to the SQL/XML standard.
The standard XML-generation functions are also known as SQL/XML publishing or generation functions.
The use of SQL/XML function XMLQuery is not limited to generating (publishing) XML data. Function XMLQuery is very general and is referred to in this book as a SQL/XML query and update function.
The following XML-generating SQL functions are Oracle-specific (not part of the SQL/XML standard):
-
SYS_XMLAGG Oracle SQL Function. This operates on groups of relational rows, aggregating several XML documents into one.
All of the XML-generation SQL functions convert scalars and user-defined data-type instances to their canonical XML format. In this canonical mapping, user-defined data-type attributes are mapped to XML elements.
- XMLELEMENT and XMLATTRIBUTES SQL/XML Functions
SQL/XML standard functionXMLElementconstructs XML elements from relational data. SQL/XML standard functionXMLAttributescan be used together withXMLElement, to specify attributes for the generated elements. - XMLFOREST SQL/XML Function
You use SQL/XML standard functionXMLForestto construct a forest of XML elements. - XMLCONCAT SQL/XML Function
You use SQL/XML standard functionXMLConcatto construct an XML fragment by concatenating multipleXMLTypeinstances. - XMLAGG SQL/XML Function
You use SQL/XML standard functionXMLAggto construct a forest of XML elements from a collection of XML elements — it is an aggregate function. - XMLPI SQL/XML Function
You use SQL/XML standard functionXMLPIto construct an XML processing instruction (PI). - XMLCOMMENT SQL/XML Function
You use SQL/XML standard functionXMLCommentto construct an XML comment. - XMLSERIALIZE SQL/XML Function
You use SQL/XML standard functionXMLSerializeto obtain a string or LOB representation of XML data. - XMLPARSE SQL/XML Function
You use SQL/XML standard functionXMLParseto parse a string containing XML data and construct a correspondingXMLTypeinstance. - XMLCOLATTVAL Oracle SQL Function
Oracle SQL functionXMLColAttValgenerates a forest of XMLcolumnelements containing the values of the arguments passed in. This function is an Oracle extension to the SQL/XML ANSI-ISO standard functions. - XMLCDATA Oracle SQL Function
You use Oracle SQL functionXMLCDATAto generate an XMLCDATAsection.
See Also:
-
XQuery and Oracle XML DB for information about constructing XML data using SQL/XML function
XMLQuery -
Oracle Database SQL Language Reference for information about Oracle support for the SQL/XML standard
Parent topic: Generation of XML Data from Relational Data
8.2.1 XMLELEMENT and XMLATTRIBUTES SQL/XML Functions
SQL/XML standard function XMLElement constructs XML elements from relational data. SQL/XML standard function XMLAttributes can be used together with XMLElement, to specify attributes for the generated elements.
SQL/XML standard function XMLElement takes as arguments an XML element name, an optional collection of attributes for the element, and zero or more additional arguments that make up the element content. It returns an XMLType instance.
For an explanation of keywords ENTITYESCAPING and NOENTITYESCAPING, see Escape of Characters in Generated XML Data. These keywords are Oracle extensions to standard SQL/XML functions XMLElement and XMLAttributes.
The first argument to function XMLElement defines an identifier that names the root XML element to be created. The root-element identifier argument can be defined using a literal identifier (identifier, in Figure 8-1) or by EVALNAME followed by an expression (value_expr) that evaluates to an identifier. However it is defined, the identifier must not be NULL or else an error is raised. The possibility of using EVALNAME is an Oracle extension to standard SQL/XML function XMLElement.
The optional XML-attributes-clause argument of function XMLElement specifies the attributes of the root element to be generated. Figure 8-2 shows the syntax of this argument.
In addition to the optional XML-attributes-clause argument, function XMLElement accepts zero or more value_expr arguments that make up the content of the root element (child elements and text content). If an XML-attributes-clause argument is also present then these content arguments must follow the XML-attributes-clause argument. Each of the content-argument expressions is evaluated, and the result is converted to XML format. If a value argument evaluates to NULL, then no content is created for that argument.
Note:
The AS preceding an alias (c_alias) is required by the SQL/XML standard, but is optional for Oracle.
The optional XML-attributes-clause argument uses SQL/XML standard function XMLAttributes to specify the attributes of the root element. Function XMLAttributes can be used only in a call to function XMLElement. It cannot be used on its own.
Figure 8-2 XMLAttributes Clause Syntax (XMLATTRIBUTES)

Description of "Figure 8-2 XMLAttributes Clause Syntax (XMLATTRIBUTES)"
For an explanation of keywords ENTITYESCAPING and NOENTITYESCAPING, see Escape of Characters in Generated XML Data. These keywords are Oracle extensions to standard SQL/XML functions XMLElement and XMLAttributes.
Keywords SCHEMACHECK and NOSCHEMACHECK determine whether or not a run-time check is made of the generated attributes, to see if any of them specify a schema location that corresponds to an XML schema that is registered with Oracle XML DB, and, if so, to try to generate XML schema-based XML data accordingly. The default behavior is that provided by NOSCHEMACHECK: no check is made. In releases prior to 12c Release 1 (12.1), the default behavior is to perform the check. Keyword SCHEMACHECK can be used to obtain backward compatibility.
A similar check is always made at compile time, regardless of the presence or absence of NOSCHEMACHECK. This means, in particular, that if you use a string literal to specify an XML schema location attribute value, then a (compile-time) check is made, and, if appropriate, XML schema-based data is generated accordingly.
Keywords SCHEMACHECK and NOSCHEMACHECK are Oracle extensions to standard SQL/XML function XMLAttributes.
Note:
If a view is created to generate XML data, function XMLAttributes is used to add XML-schema location references, and the target XML schema has not yet been registered with Oracle XML DB, then the XML data that is generated is not XML schema-based. If the XML schema is subsequently registered, then XML data that is generated thereafter is also not XML-schema-based. To create XML schema-based data, you must recompile the view.
Argument XML-attributes-clause itself contains one or more value_expr expressions as arguments to function XMLAttributes. These are evaluated to obtain the values for the attributes of the root element. (Do not confuse these value_expr arguments to function XMLAttributes with the value_expr arguments to function XMLElement, which specify the content of the root element.) The optional AS c_alias clause for each value_expr specifies that the attribute name is c_alias, which can be either a string literal or EVALNAME followed by an expression that evaluates to a string literal.
Note:
The following are Oracle extensions to the standard SQL/XML syntax:
-
The possibility of using
EVALNAME. -
The fact that
ASpreceding an alias (c_alias) is optional.
If an attribute value expression evaluates to NULL, then no corresponding attribute is created. The data type of an attribute value expression cannot be an object type or a collection.
- Escape of Characters in Generated XML Data
As specified by the SQL/XML standard, characters in explicit identifiers are not escaped in any way – it is up to you to ensure that valid XML names are used. This applies to all SQL/XML functions. - Formatting of XML Dates and Timestamps
The XML Schema standard specifies that dates and timestamps in XML data be in standard formats. XML generation functions in Oracle XML DB produce XML dates and timestamps according to this standard. - XMLElement Examples
Examples here illustrate the use SQL/XML functionXMLElement.
Parent topic: Generation of XML Data Using SQL Functions
8.2.1.1 Escape of Characters in Generated XML Data
As specified by the SQL/XML standard, characters in explicit identifiers are not escaped in any way – it is up to you to ensure that valid XML names are used. This applies to all SQL/XML functions.
In particular, it applies to the root-element identifier of XMLElement (identifier, in Figure 8-1) and to attribute identifier aliases named with AS clauses of XMLAttributes (see Figure 8-2).
However, other XML data that is generated is escaped, by default, to ensure that only valid XML NameChar characters are generated. As part of generating a valid XML element or attribute name from a SQL identifier, each character that is disallowed in an XML name is replaced with an underscore character (_), followed by the hexadecimal Unicode representation of the original character, followed by a second underscore character. For example, the colon character (:) is escaped by replacing it with _003A_, where 003A is the hexadecimal Unicode representation.
Escaping applies to characters in the evaluated value_expr arguments to all SQL/XML functions, including XMLElement and XMLAttributes. It applies also to the characters of an attribute identifier that is defined implicitly from an XMLAttributes attribute value expression that is not followed by an AS clause: the escaped form of the SQL column name is used as the name of the attribute.
In some cases, you might not need or want character escaping. If you know, for example, that the XML data being generated is well-formed, then you can save some processing time by inhibiting escaping. You can do that by specifying the keyword NOENTITYESCAPING for SQL/XML functions XMLElement and XMLAttributes. Keyword ENTITYESCAPING imposes escaping, which is the default behavior. Keywords NOENTITYESCAPING and ENTITYESCAPING are Oracle extensions to standard SQL/XML functions XMLElement and XMLAttributes.
Parent topic: XMLELEMENT and XMLATTRIBUTES SQL/XML Functions
8.2.1.2 Formatting of XML Dates and Timestamps
The XML Schema standard specifies that dates and timestamps in XML data be in standard formats. XML generation functions in Oracle XML DB produce XML dates and timestamps according to this standard.
In releases prior to Oracle Database 10g Release 2, the database settings for date and timestamp formats, not the XML Schema standard formats, were used for XML. You can reproduce this previous behavior by setting the database event 19119, level 0x8, as follows:
ALTER SESSION SET EVENTS '19119 TRACE NAME CONTEXT FOREVER, LEVEL 0x8';
If you must otherwise produce a non-standard XML date or timestamp, use SQL function to_char – see Example 8-1.
See Also:
XML Schema Part 2: Datatypes, D. ISO 8601 Date and Time Formats for the XML Schema specification of XML date and timestamp formats
Parent topic: XMLELEMENT and XMLATTRIBUTES SQL/XML Functions
8.2.1.3 XMLElement Examples
Examples here illustrate the use SQL/XML function XMLElement.
Example 8-1 uses XMLElement to generate an XML date with a format that is different from the XML Schema standard date format.
Example 8-2 uses XMLElement to generate an Emp element for each employee, with the employee name as the content.
Example 8-3 uses XMLElement to generate an Emp element for each employee, with child elements that provide the employee name and hire date.
Example 8-4 uses XMLElement to generate an Emp element for each employee, with attributes id and name.
As mentioned in Escape of Characters in Generated XML Data, characters in the root-element name and the names of any attributes defined by AS clauses are not escaped. Characters in an identifier name are escaped only if the name is created from an evaluated expression (such as a column reference).
Example 8-5 shows that, with XML data constructed using XMLElement, the root-element name and the attribute name are not escaped. Invalid XML is produced because greater-than sign (>) and a comma (,) are not allowed in XML element and attribute names.
A full description of character escaping is included in the SQL/XML standard.
Example 8-6 illustrates the use of namespaces to create an XML schema-based document. Assuming that an XML schema "http://www.oracle.com/Employee.xsd" exists and has no target namespace, the query in Example 8-6 creates an XMLType instance conforming to that schema:
Example 8-7 uses XMLElement to generate an XML document with employee and department information, using data from sample database schema table hr.departments.
Example 8-1 XMLELEMENT: Formatting a Date
-- With standard XML date format:
SELECT XMLElement("Date", hire_date)
FROM hr.employees
WHERE employee_id = 203;
XMLELEMENT("DATE",HIRE_DATE)
----------------------------
<Date>2002-06-07</Date>
1 row selected.
-- With an alternative date format:
SELECT XMLElement("Date", to_char(hire_date))
FROM hr.employees
WHERE employee_id = 203;
XMLELEMENT("DATE",TO_CHAR(HIRE_DATE))
-------------------------------------
<Date>07-JUN-02</Date>
1 row selected.
Example 8-2 XMLELEMENT: Generating an Element for Each Employee
SELECT e.employee_id,
XMLELEMENT ("Emp", e.first_name ||' '|| e.last_name) AS "RESULT"
FROM hr.employees e
WHERE employee_id > 200;
This query produces the following typical result:
EMPLOYEE_ID RESULT
----------- -----------------------------------
201 <Emp>Michael Hartstein</Emp>
202 <Emp>Pat Fay</Emp>
203 <Emp>Susan Mavris</Emp>
204 <Emp>Hermann Baer</Emp>
205 <Emp>Shelley Higgins</Emp>
206 <Emp>William Gietz</Emp>
6 rows selected.
SQL/XML function XMLElement can also be nested, to produce XML data with a nested structure.
Example 8-3 XMLELEMENT: Generating Nested XML
SELECT XMLElement("Emp",
XMLElement("name", e.first_name ||' '|| e.last_name),
XMLElement("hiredate", e.hire_date)) AS "RESULT"
FROM hr.employees e
WHERE employee_id > 200;
This query produces the following typical XML result:
RESULT ----------------------------------------------------------------------- <Emp><name>Michael Hartstein</name><hiredate>2004-02-17</hiredate></Emp> <Emp><name>Pat Fay</name><hiredate>2005-08-17</hiredate></Emp> <Emp><name>Susan Mavris</name><hiredate>2002-06-07</hiredate></Emp> <Emp><name>Hermann Baer</name><hiredate>2002-06-07</hiredate></Emp> <Emp><name>Shelley Higgins</name><hiredate>2002-06-07</hiredate></Emp> <Emp><name>William Gietz</name><hiredate>2002-06-07</hiredate></Emp> 6 rows selected.
Example 8-4 XMLELEMENT: Generating Employee Elements with Attributes ID and Name
SELECT XMLElement("Emp", XMLAttributes(
e.employee_id as "ID",
e.first_name ||' ' || e.last_name AS "name"))
AS "RESULT"
FROM hr.employees e
WHERE employee_id > 200;
This query produces the following typical XML result fragment:
RESULT ----------------------------------------------- <Emp ID="201" name="Michael Hartstein"></Emp> <Emp ID="202" name="Pat Fay"></Emp> <Emp ID="203" name="Susan Mavris"></Emp> <Emp ID="204" name="Hermann Baer"></Emp> <Emp ID="205" name="Shelley Higgins"></Emp> <Emp ID="206" name="William Gietz"></Emp> 6 rows selected.
Example 8-5 XMLELEMENT: Characters in Generated XML Data Are Not Escaped
SELECT XMLElement("Emp->Special",
XMLAttributes(e.last_name || ', ' || e.first_name
AS "Last,First"))
AS "RESULT"
FROM hr.employees e
WHERE employee_id = 201;
This query produces the following result, which is not well-formed XML:
RESULT -------------------------------------------------------------------- <Emp->Special Last,First="Hartstein, Michael"></Emp->Special> 1 row selected.
Example 8-6 Creating a Schema-Based XML Document Using XMLELEMENT with Namespaces
SELECT XMLElement("Employee",
XMLAttributes('http://www.w3.org/2001/XMLSchema' AS
"xmlns:xsi",
'http://www.oracle.com/Employee.xsd' AS
"xsi:nonamespaceSchemaLocation"),
XMLForest(employee_id, last_name, salary)) AS "RESULT"
FROM hr.employees
WHERE department_id = 10;
This creates the following XML document that conforms to XML schema Employee.xsd. (The result is shown here pretty-printed, for clarity.)
RESULT
-----------------------------------------------------------------------------
<Employee xmlns:xsi="http://www.w3.org/2001/XMLSchema"
xsi:nonamespaceSchemaLocation="http://www.oracle.com/Employee.xsd">
<EMPLOYEE_ID>200</EMPLOYEE_ID>
<LAST_NAME>Whalen</LAST_NAME>
<SALARY>4400</SALARY>
</Employee>
1 row selected.
Example 8-7 XMLELEMENT: Generating an Element from a User-Defined Data-Type Instance
CREATE OR REPLACE TYPE emp_t AS OBJECT ("@EMPNO" NUMBER(4),
ENAME VARCHAR2(10));
CREATE OR REPLACE TYPE emplist_t AS TABLE OF emp_t;
CREATE OR REPLACE TYPE dept_t AS OBJECT ("@DEPTNO" NUMBER(2),
DNAME VARCHAR2(14),
EMP_LIST emplist_t);
SELECT XMLElement("Department",
dept_t(department_id,
department_name,
cast(MULTISET
(SELECT employee_id, last_name
FROM hr.employees e
WHERE e.department_id = d.department_id)
AS emplist_t)))
AS deptxml
FROM hr.departments d
WHERE d.department_id = 10;
This produces an XML document which contains the Department element and the canonical mapping of type dept_t.
DEPTXML
-------------
<Department>
<DEPT_T DEPTNO="10">
<DNAME>ACCOUNTING</DNAME>
<EMPLIST>
<EMP_T EMPNO="7782">
<ENAME>CLARK</ENAME>
</EMP_T>
<EMP_T EMPNO="7839">
<ENAME>KING</ENAME>
</EMP_T>
<EMP_T EMPNO="7934">
<ENAME>MILLER</ENAME>
</EMP_T>
</EMPLIST>
</DEPT_T>
</Department>
1 row selected.Parent topic: XMLELEMENT and XMLATTRIBUTES SQL/XML Functions
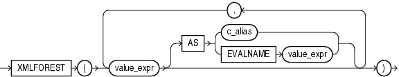
8.2.2 XMLFOREST SQL/XML Function
You use SQL/XML standard function XMLForest to construct a forest of XML elements.
Its arguments are expressions to be evaluated, with optional aliases. Figure 8-3 describes the XMLForest syntax.
Each of the value expressions (value_expr in Figure 8-3) is converted to XML format, and, optionally, identifier c_alias is used as the attribute identifier (c_alias can be a string literal or EVALNAME followed by an expression that evaluates to a string literal). The possibility of using EVALNAME is an Oracle extension to standard SQL/XML function XMLForest.
For an object type or collection, the AS clause is required. For other types, the AS clause is optional. For a given expression, if the AS clause is omitted, then characters in the evaluated value expression are escaped to form the name of the enclosing tag of the element. The escaping is as defined in Escape of Characters in Generated XML Data. If the value expression evaluates to NULL, then no element is created for that expression.
Example 8-8 uses XMLElement and XMLForest to generate an Emp element for each employee, with a name attribute and with child elements containing the employee hire date and department as the content.
Example 8-8 XMLFOREST: Generating Elements with Attribute and Child Elements
SELECT XMLElement("Emp",
XMLAttributes(e.first_name ||' '|| e.last_name AS "name"),
XMLForest(e.hire_date, e.department AS "department"))
AS "RESULT"
FROM employees e WHERE e.department_id = 20;
(The WHERE clause is used here to keep the example brief.) This query produces the following XML result:
RESULT ------------------------------------- <Emp name="Michael Hartstein"> <HIRE_DATE>2004-02-17</HIRE_DATE> <department>20</department> </Emp> <Emp name="Pat Fay"> <HIRE_DATE>2005-08-17</HIRE_DATE> <department>20</department> </Emp> 2 rows selected.
See Also:
Example 8-9 uses XMLForest to generate hierarchical XML data from user-defined data-type instances.
Example 8-9 XMLFOREST: Generating an Element from a User-Defined Data-Type Instance
SELECT XMLForest(
dept_t(department_id,
department_name,
cast(MULTISET
(SELECT employee_id, last_name
FROM hr.employees e WHERE e.department_id = d.department_id)
AS emplist_t))
AS "Department")
AS deptxml
FROM hr.departments d
WHERE department_id=10;
This produces an XML document with element Department containing attribute DEPTNO and child element DNAME.
DEPTXML
---------------------------------
<Department DEPTNO="10">
<DNAME>Administration</DNAME>
<EMP_LIST>
<EMP_T EMPNO="200">
<ENAME>Whalen</ENAME>
</EMP_T>
</EMP_LIST>
</Department>
1 row selected.
You might want to compare this example with Example 8-7 and Example 8-24.
Parent topic: Generation of XML Data Using SQL Functions
8.2.3 XMLCONCAT SQL/XML Function
You use SQL/XML standard function XMLConcat to construct an XML fragment by concatenating multiple XMLType instances.
Figure 8-4 shows the XMLConcat syntax. Function XMLConcat has two forms:
-
The first form takes as argument an
XMLSequenceTypevalue, which is a varray ofXMLTypeinstances, and returns a singleXMLTypeinstance that is the concatenation of all of the elements of the varray. This form is useful to collapse lists ofXMLTypeinstances into a single instance. -
The second form takes an arbitrary number of
XMLTypeinstances and concatenates them together. If one of the values isNULL, then it is ignored in the result. If all the values areNULL, then the result isNULL. This form is used to concatenate arbitrary number ofXMLTypeinstances in the same row. FunctionXMLAggcan be used to concatenateXMLTypeinstances across rows.
Example 8-10 uses SQL/XML function XMLConcat to return a concatenation of XMLType instances from an XMLSequenceType value (a varray of XMLType instances).
Example 8-10 XMLCONCAT: Concatenating XMLType Instances from a Sequence
SELECT XMLSerialize(
CONTENT
XMLConcat(XMLSequenceType(
XMLType('<PartNo>1236</PartNo>'),
XMLType('<PartName>Widget</PartName>'),
XMLType('<PartPrice>29.99</PartPrice>')))
AS CLOB)
AS "RESULT"
FROM DUAL;
This query returns a single XML fragment. (The result is shown here pretty-printed, for clarity.)
RESULT --------------- <PartNo>1236</PartNo> <PartName>Widget</PartName> <PartPrice>29.99</PartPrice> 1 row selected.
Example 8-11 uses XMLConcat to create and concatenate XML elements for employee first and the last names.
Example 8-11 XMLCONCAT: Concatenating XML Elements
SELECT XMLConcat(XMLElement("first", e.first_name),
XMLElement("last", e.last_name))
AS "RESULT"
FROM employees e;
This query produces the following XML fragment:
RESULT -------------------------------------------- <first>Den</first><last>Raphaely</last> <first>Alexander</first><last>Khoo</last> <first>Shelli</first><last>Baida</last> <first>Sigal</first><last>Tobias</last> <first>Guy</first><last>Himuro</last> <first>Karen</first><last>Colmenares</last> 6 rows selected.
Parent topic: Generation of XML Data Using SQL Functions
8.2.4 XMLAGG SQL/XML Function
You use SQL/XML standard function XMLAgg to construct a forest of XML elements from a collection of XML elements — it is an aggregate function.
Figure 8-5 describes the XMLAgg syntax.
The order_by_clause is the following:
ORDER BY [list of: expr [ASC|DESC] [NULLS {FIRST|LAST}]]
Numeric literals are not interpreted as column positions. For example, ORDER BY 1 does not mean order by the first column. Instead, numeric literals are interpreted as any other literals.
As with SQL/XML function XMLConcat, any arguments whose value is NULL are dropped from the result. SQL/XML function XMLAgg is similar to Oracle SQL function sys_XMLAgg, but XMLAgg returns a forest of nodes and it does not accept an XMLFormat parameter.
SQL/XML function XMLAgg can be used to concatenate XMLType instances across multiple rows. It also accepts an optional ORDER BY clause, to order the XML values being aggregated. Function XMLAgg produces one aggregated XML result for each group. If there is no group by specified in the query, then it returns a single aggregated XML result for all the rows of the query.
Example 8-12 uses SQL/XML functions XMLAgg and XMLElement to construct a Department element that contains Employee elements that have employee job ID and last name as their contents. It also orders the Employee elements in the department by employee last name. (The result is shown pretty-printed, for clarity.)
Example 8-12 XMLAGG: Generating a Department Element with Child Employee Elements
SELECT XMLElement("Department", XMLAgg(XMLElement("Employee",
e.job_id||' '||e.last_name)
ORDER BY e.last_name))
AS "Dept_list"
FROM hr.employees e
WHERE e.department_id = 30 OR e.department_id = 40;
Dept_list
------------------
<Department>
<Employee>PU_CLERK Baida</Employee>
<Employee>PU_CLERK Colmenares</Employee>
<Employee>PU_CLERK Himuro</Employee>
<Employee>PU_CLERK Khoo</Employee>
<Employee>HR_REP Mavris</Employee>
<Employee>PU_MAN Raphaely</Employee>
<Employee>PU_CLERK Tobias</Employee>
</Department>
1 row selected.
The result is a single row, because XMLAgg aggregates the employee rows.
Example 8-13 shows how to use the GROUP BY clause to group the returned set of rows into multiple groups, forming multiple Department elements. (The result is shown here pretty-printed, for clarity.)
Example 8-13 XMLAGG: Using GROUP BY to Generate Multiple Department Elements
SELECT XMLElement("Department", XMLAttributes(department_id AS "deptno"),
XMLAgg(XMLElement("Employee", e.job_id||' '||e.last_name)))
AS "Dept_list"
FROM hr.employees e
GROUP BY e.department_id;
Dept_list
------------------
<Department deptno="30">
<Employee>PU_MAN Raphaely</Employee>
<Employee>PU_CLERK Colmenares</Employee>
<Employee>PU_CLERK Himuro</Employee>
<Employee>PU_CLERK Tobias</Employee>
<Employee>PU_CLERK Baida</Employee>
<Employee>PU_CLERK Khoo</Employee></Department>
<Department deptno="40">
<Employee>HR_REP Mavris</Employee>
</Department>
2 rows selected.
You can order the employees within each department by using the ORDER BY clause inside the XMLAgg expression.
Note:
Within the ORDER BY clause, Oracle Database does not interpret number literals as column positions, as it does in other uses of this clause.
Function XMLAgg can be used to reflect the hierarchical nature of some relationships that exist in tables. Example 8-14 generates a department element for department 30. Within this element is a child element emp for each employee of the department. Within each employee element is a dependent element for each dependent of that employee.
Example 8-14 XMLAGG: Generating Nested Elements
SELECT last_name, employee_id FROM employees WHERE department_id = 30; LAST_NAME EMPLOYEE_ID ------------------------- ----------- Raphaely 114 Khoo 115 Baida 116 Tobias 117 Himuro 118 Colmenares 119 6 rows selected.
A dependents table holds the dependents of each employee.
CREATE TABLE hr.dependents (id NUMBER(4) PRIMARY KEY,
employee_id NUMBER(4),
name VARCHAR2(10));
Table created.
INSERT INTO dependents VALUES (1, 114, 'MARK');
1 row created.
INSERT INTO dependents VALUES (2, 114, 'JACK');
1 row created.
INSERT INTO dependents VALUES (3, 115, 'JANE');
1 row created.
INSERT INTO dependents VALUES (4, 116, 'HELEN');
1 row created.
INSERT INTO dependents VALUES (5, 116, 'FRANK');
1 row created.
COMMIT;
Commit complete.
The following query generates the XML data for a department that contains the information about dependents. (The result is shown here pretty-printed, for clarity.)
SELECT
XMLElement(
"Department",
XMLAttributes(d.department_name AS "name"),
(SELECT
XMLAgg(XMLElement("emp",
XMLAttributes(e.last_name AS name),
(SELECT XMLAgg(XMLElement("dependent",
XMLAttributes(de.name AS "name")))
FROM dependents de
WHERE de.employee_id = e.employee_id)))
FROM employees e
WHERE e.department_id = d.department_id)) AS "dept_list"
FROM departments d
WHERE department_id = 30;
dept_list
--------------------------------------------------------------------------------
<Department name="Purchasing">
<emp NAME="Raphaely">
<dependent name="MARK"></dependent>
<dependent name="JACK"></dependent>
</emp><emp NAME="Khoo">
<dependent name="JANE"></dependent>
</emp>
<emp NAME="Baida">
<dependent name="HELEN"></dependent>
<dependent name="FRANK"></dependent>
</emp><emp NAME="Tobias"></emp>
<emp NAME="Himuro"></emp>
<emp NAME="Colmenares"></emp>
</Department>
1 row selected.Parent topic: Generation of XML Data Using SQL Functions
8.2.5 XMLPI SQL/XML Function
You use SQL/XML standard function XMLPI to construct an
XML processing instruction (PI).
Figure 8-6 shows the syntax:
Argument value_expr is evaluated, and the string
result is appended to the optional identifier (identifier),
separated by a space. This concatenation is then enclosed between "<?"
and "?>" to create the processing instruction. That is, if
string-result is the result of evaluating
value_expr, then the generated processing instruction is
<?identifier
string-result?>. If string-result is the empty
string, '', then the function returns
<?identifier?>.
As an alternative to using keyword NAME followed by a
literal string identifier, you can use keyword
EVALNAME followed by an expression that evaluates to a string to be used
as the identifier. The possibility of using EVALNAME is an Oracle extension
to standard SQL/XML function XMLPI.
An error is raised if the constructed XML is not a legal XML processing instruction. In particular:
-
identifiermust not be the word "xml" (uppercase, lowercase, or mixed case). -
string-resultmust not contain the character sequence "?>".
Function XMLPI returns an instance of
XMLType. If string-result is
NULL, then it returns NULL.
Example 8-15 uses XMLPI to generate a simple processing
instruction.
Example 8-15 Using SQL/XML Function XMLPI
SELECT XMLPI(NAME "OrderAnalysisComp",
'imported, reconfigured, disassembled')
AS pi FROM DUAL;
This results in the following output:
PI
----------------------------------------------------------
<?OrderAnalysisComp imported, reconfigured, disassembled?>
1 row selected.Parent topic: Generation of XML Data Using SQL Functions
8.2.6 XMLCOMMENT SQL/XML Function
You use SQL/XML standard function XMLComment to construct an XML comment.
Figure 8-7 shows the syntax:
Argument value_expr is evaluated to a string, and the result is used as the body of the generated XML comment. The result is thus <!--string-result-->, where string-result is the string result of evaluating value_expr. If string-result is the empty string, then the comment is empty: <!---->.
An error is raised if the constructed XML is not a legal XML comment. In particular, string-result must not contain two consecutive hyphens (-): "--".
Function XMLComment returns an instance of XMLType. If string-result is NULL, then the function returns NULL.
Example 8-16 uses XMLComment to generate a simple XML comment.
Example 8-16 Using SQL/XML Function XMLCOMMENT
SELECT XMLComment('This is a comment') AS cmnt FROM DUAL;
This query results in the following output:
CMNT
--------------------------
<!--This is a comment-->Parent topic: Generation of XML Data Using SQL Functions
8.2.7 XMLSERIALIZE SQL/XML Function
You use SQL/XML standard function XMLSerialize to obtain a string or LOB representation of XML data.
Figure 8-8 shows the syntax of XMLSerialize:
Argument value_expr is evaluated, and the resulting XMLType instance is serialized to produce the content of the created string or LOB. If presentFoot 1, the specified datatype must be one of the following (the default data type is CLOB):
-
VARCHAR2(N), whereNis the size in bytesFoot 2 -
CLOB -
BLOB
If you specify DOCUMENT, then the result of evaluating value_expr must be a well-formed document. In particular, it must have a single root. If the result is not a well-formed document, then an error is raised. If you specify CONTENT, however, then the result of value_expr is not checked for being well-formed.
If value_expr evaluates to NULL or to the empty string (''), then function XMLSerialize returns NULL.
The ENCODING clause specifies the character encoding for XML data that is serialized as a BLOB instance. xml_encoding_spec is an XML encoding declaration (encoding="..."). If datatype is BLOB and you specify an ENCODING clause, then the output is encoded as specified, and xml_encoding_spec is added to the prolog to indicate the BLOB encoding. If you specify an ENCODING clause with a datatype other than BLOB, then an error is raised. For UTF-16 characters, xml_encoding_spec must be one of the following:
-
encoding=UTF-16BE– Big-endian UTF-16 encoding -
encoding=UTF-16LE– Little-endian UTF-16 encoding
If you specify VERSION then the specified version is used in the XML declaration (<?xml version="..." ...?>).
If you specify NO INDENT, then all insignificant whitespace is stripped, so that it does not appear in the output. If you specify INDENT SIZE = N, where N is a whole number, then the output is pretty-printed using a relative indentation of N spaces. If N is 0, then pretty-printing inserts a newline character after each element, placing each element on a line by itself, but there is no other insignificant whitespace in the output. If you specify INDENT without a SIZE specification, then 2-space indenting is used. If you specify neither NO INDENT nor INDENT, then the behavior (pretty-printing or not) is indeterminate.
HIDE DEFAULTS and SHOW DEFAULTS apply only to XML schema-based data. If you specify SHOW DEFAULTS and the input data is missing any optional elements or attributes for which the XML schema defines default values, then those elements or attributes are included in the output with their default values. If you specify HIDE DEFAULTS, then no such elements or attributes are included in the output. HIDE DEFAULTS is the default behavior.
Example 8-17 uses XMLSerialize to produce a CLOB instance containing serialized XML data.
Example 8-17 Using SQL/XML Function XMLSERIALIZE
SELECT XMLSerialize(DOCUMENT XMLType('<poid>143598</poid>') AS CLOB)
AS xmlserialize_doc FROM DUAL;
This results in the following output:
XMLSERIALIZE_DOC ------------------- <poid>143598</poid>
Parent topic: Generation of XML Data Using SQL Functions
8.2.8 XMLPARSE SQL/XML Function
You use SQL/XML standard function XMLParse to parse a string containing XML data and construct a corresponding XMLType instance.
Figure 8-9 shows the syntax:
Argument value_expr is evaluated to produce the string that is parsed. If you specify DOCUMENT, then value_expr must correspond to a singly rooted, well-formed XML document. If you specify CONTENT, then value_expr need only correspond to a well-formed XML fragment (it need not be singly rooted).
Keyword WELLFORMED is an Oracle XML DB extension to the SQL/XML standard. When you specify WELLFORMED, you are informing the parser that argument value_expr is well-formed, so Oracle XML DB does not check to ensure that it is well-formed.
Function XMLParse returns an instance of XMLType. If value_expr evaluates to NULL, then the function returns NULL.
Example 8-18 uses XMLParse to parse a string of XML code and produce an XMLType instance.
Example 8-18 Using SQL/XML Function XMLPARSE
SELECT XMLParse(CONTENT
'124 <purchaseOrder poNo="12435">
<customerName> Acme Enterprises</customerName>
<itemNo>32987457</itemNo>
</purchaseOrder>'
WELLFORMED)
AS po FROM DUAL d;
This results in the following output:
PO
-----------------------------------------------
124 <purchaseOrder poNo="12435">
<customerName>Acme Enterprises</customerName>
<itemNo>32987457</itemNo>
</purchaseOrder>
See Also:
Extensible Markup Language (XML) 1.0 for the definition of well-formed XML documents and fragments
Parent topic: Generation of XML Data Using SQL Functions
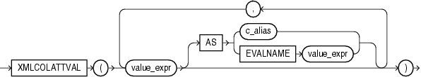
8.2.9 XMLCOLATTVAL Oracle SQL Function
Oracle SQL function XMLColAttVal generates a forest of XML column elements containing the values of the arguments passed in. This function is an Oracle extension to the SQL/XML ANSI-ISO standard functions.
Figure 8-10 shows the XMLColAttVal syntax.
The arguments are used as the values of the name attribute of the column element. The c_alias values are used as the attribute identifiers.
As an alternative to using keyword AS followed by a literal string c_alias, you can use AS EVALNAME followed by an expression that evaluates to a string to be used as the attribute identifier.
Because argument values value_expr are used only as attribute values, they need not be escaped in any way. This is in contrast to function XMLForest. It means that you can use XMLColAttVal to transport SQL columns and values without escaping.
Example 8-19 uses XMLColAttVal to generate an Emp element for each employee, with a name attribute, and with column elements that have the employee hire date and department as the content.
Example 8-19 XMLCOLATTVAL: Generating Elements with Attribute and Child Elements
SELECT XMLElement("Emp",
XMLAttributes(e.first_name ||' '||e.last_name AS "fullname" ),
XMLColAttVal(e.hire_date, e.department_id AS "department"))
AS "RESULT"
FROM hr.employees e
WHERE e.department_id = 30;
This query produces the following XML result. (The result is shown here pretty-printed, for clarity.)
RESULT ----------------------------------------------------------- <Emp fullname="Den Raphaely"> <column name = "HIRE_DATE">2002-12-07</column> <column name = "department">30</column> </Emp> <Emp fullname="Alexander Khoo"> <column name = "HIRE_DATE">2003-05-18</column> <column name = "department">30</column> </Emp> <Emp fullname="Shelli Baida"> <column name = "HIRE_DATE">2005-12-24</column> <column name = "department">30</column> </Emp> <Emp fullname="Sigal Tobias"> <column name = "HIRE_DATE">2005-07-24</column> <column name = "department">30</column> </Emp> <Emp fullname="Guy Himuro"> <column name = "HIRE_DATE">2006-11-15</column> <column name = "department">30</column> </Emp> <Emp fullname="Karen Colmenares"> <column name = "HIRE_DATE">2007-08-10</column> <column name = "department">30</column> </Emp> 6 rows selected.
See Also:
Parent topic: Generation of XML Data Using SQL Functions
8.2.10 XMLCDATA Oracle SQL Function
You use Oracle SQL function XMLCDATA to generate an XML
CDATA section.
Figure 8-11 shows the syntax:
Argument value_expr is evaluated to a string,
and the result is used as the body of the generated XML CDATA section,
<![CDATA[string-result]]>,
where string-result is the result of evaluating
value_expr. If string-result is the
empty string, then the CDATA section is empty:
<![CDATA[]]>.
An error is raised if the
constructed XML is not a legal XML CDATA section. In particular,
string-result must not contain two consecutive right
brackets (]): "]]".
Function
XMLCDATA returns an instance of XMLType. If
string-result is NULL, then the function
returns NULL.
Example 8-20 uses XMLCDATA to generate an XML
CDATA section.
Example 8-20 Using Oracle SQL Function XMLCDATA
SELECT XMLElement("PurchaseOrder",
XMLElement("Address",
XMLCDATA('100 Pennsylvania Ave.'),
XMLElement("City", 'Washington, D.C.')))
AS RESULT FROM DUAL;
This results in the following output. (The result is shown here pretty-printed, for clarity.)
RESULT
--------------------------
<PurchaseOrder>
<Address>
<![CDATA[100 Pennsylvania Ave.]]>
<City>Washington, D.C.</City>
</Address>
</PurchaseOrder>Parent topic: Generation of XML Data Using SQL Functions
8.3 Generation of XML Data Using DBMS_XMLGEN
PL/SQL package DBMS_XMLGEN creates XML documents from SQL query results. It retrieves an XML document as a CLOB or XMLType value.
It provides a fetch interface, whereby you can specify the maximum number of rows to retrieve and the number of rows to skip. For example, the first fetch could retrieve a maximum of ten rows, skipping the first four. This is especially useful for pagination requirements in Web applications.
Package DBMS_XMLGEN also provides options for changing tag names for ROW, ROWSET, and so on. The parameters of the package can restrict the number of rows retrieved and the enclosing tag names.
- Using PL/SQL Package DBMS_XMLGEN
You can use packageDBMS_XMLGENto generate XML data from relational data. - Functions and Procedures of Package DBMS_XMLGEN
PL/SQL packageDBMS_XMLGENprovides functions and procedures for generating XML data from relational data. - DBMS_XMLGEN Examples
Examples here illustrate the use of PL/SQL packageDBMS_XMLGEN.
See Also:
-
Oracle XML Developer's Kit Programmer's Guide (compare
OracleXMLQuerywithDBMS_XMLGEN)
Parent topic: Generation of XML Data from Relational Data
8.3.1 Using PL/SQL Package DBMS_XMLGEN
You can use package DBMS_XMLGEN to generate XML data from relational data.
Figure 8-12 illustrates how to use package DBMS_XMLGEN. The steps are as follows:
Figure 8-12 Using PL/SQL Package DBMS_XMLGEN

Description of "Figure 8-12 Using PL/SQL Package DBMS_XMLGEN"
In conjunction with a SQL query, PL/SQL method DBMS_XMLGEN.getXML() typically returns a result similar to the following, as a CLOB value:
<?xml version="1.0"?> <ROWSET> <ROW> <EMPLOYEE_ID>100</EMPLOYEE_ID> <FIRST_NAME>Steven</FIRST_NAME> <LAST_NAME>King</LAST_NAME> <EMAIL>SKING</EMAIL> <PHONE_NUMBER>515.123.4567</PHONE_NUMBER> <HIRE_DATE>17-JUN-87</HIRE_DATE> <JOB_ID>AD_PRES</JOB_ID> <SALARY>24000</SALARY> <DEPARTMENT_ID>90</DEPARTMENT_ID> </ROW> <ROW> <EMPLOYEE_ID>101</EMPLOYEE_ID> <FIRST_NAME>Neena</FIRST_NAME> <LAST_NAME>Kochhar</LAST_NAME> <EMAIL>NKOCHHAR</EMAIL> <PHONE_NUMBER>515.123.4568</PHONE_NUMBER> <HIRE_DATE>21-SEP-89</HIRE_DATE> <JOB_ID>AD_VP</JOB_ID> <SALARY>17000</SALARY> <MANAGER_ID>100</MANAGER_ID> <DEPARTMENT_ID>90</DEPARTMENT_ID> </ROW> </ROWSET>
The default mapping between relational data and XML data is as follows:
-
Each row returned by the SQL query maps to an XML element with the default element name
ROW. -
Each column returned by the SQL query maps to a child element of the
ROWelement. -
The entire result is wrapped in a
ROWSETelement. -
Binary data is transformed to its hexadecimal representation.
Element names ROW and ROWSET can be replaced with names you choose, using DBMS_XMLGEN procedures setRowTagName and setRowSetTagName, respectively.
The CLOB value returned by getXML has the same encoding as the database character set. If the database character set is SHIFTJIS, then the XML document returned is also SHIFTJIS.
Parent topic: Generation of XML Data Using DBMS_XMLGEN
8.3.2 Functions and Procedures of Package DBMS_XMLGEN
PL/SQL package DBMS_XMLGEN provides functions and
procedures for generating XML data from relational data.
Table 8-1 describes the functions and procedures of package
DBMS_XMLGEN.
Table 8-1 DBMS_XMLGEN Functions and Procedures
| Function or Procedure | Description |
|---|---|
|
The context handle used by all functions. Document Type Definition (DTD) or schema specifications:
Can
be used in function |
|
Given a query string, generate a new context handle to be used in subsequent functions. |
|
Returns a new context Parameter:
Returns: Context handle. Call this function first to
obtain a handle that you can use in the |
|
Creates a new context handle from a PL/SQL cursor variable. The context handle can be used for the rest of the functions. |
|
Parameter:
Returns: Context handle. Call this function
first to obtain a handle that you can use in the |
|
Sets the name of the element separating
all the rows. The default name is |
|
Parameters:
Call this procedure to set the name of
the However, since function |
|
Sets the name of the document root
element. The default name is |
|
Parameters:
Call this procedure to set the name of the document root
element, if you do not want the default name However, since function
|
|
Gets the XML document by fetching the
maximum number of rows specified. It appends the XML document to the
|
|
Parameters:
Use this version of function |
|
Generates the XML document and returns it
as a |
|
Parameters:
Returns: A temporary |
|
Parameters:
Returns: An |
|
Converts the query results from the SQL
query string Returns: A |
|
Converts the query results from the SQL
query string Returns: An |
|
Gets the number of SQL rows processed
when generating XML data using function |
|
Parameter:
Returns: The number of SQL rows that were
processed in the last call to You can
call this to find out if the end of the result set has been reached. This does not
include the number of rows skipped before generating XML data. Use this
function to determine the terminating condition if you are calling
|
|
Sets the maximum number of rows to fetch
from the SQL query result for every invocation of the |
|
Parameters:
The
|
|
Skips a given number of rows before
generating the XML output for every call to |
|
Parameters:
The
|
|
Determines whether or not special
characters in the XML data must be converted into their escaped XML equivalent. For
example, the |
|
Parameters:
You can use this function to speed up the XML processing whenever you
are sure that the input data cannot contain any special characters such as
|
|
Sets the name of the collection elements.
The default name for collection elements is the type name itself. You can override
that to use the name of the column with the |
|
Parameter:
If you have a
collection of |
|
Restarts the query and generate the XML from the first row again. |
|
Parameter:
|
|
Closes a given context and releases all resources associated with that context, including the SQL cursor and bind and define buffers, and so on. |
|
Parameter:
|
|
Conversion Functions |
Encodes or decodes the XML data string argument.
|
|
Encodes or decodes the passed in XML
|
|
NULL Handling |
The
|
|
|
|
Sets bind value for the bind variable
appearing in the query string associated with the context handle. The query string
with bind variables cannot be executed until all of the bind variables are set
values using |
|
Clears all the bind values for all the
bind variables appearing in the query string associated with the context handle.
Afterward, all of the bind variables must rebind new values using
|
Parent topic: Generation of XML Data Using DBMS_XMLGEN
8.3.3 DBMS_XMLGEN Examples
Examples here illustrate the use of PL/SQL package DBMS_XMLGEN.
Example 8-21 uses DBMS_XMLGEN to create an XML document by selecting employee data from an object-relational table and putting the resulting CLOB value into a table.
Instead of generating all of the XML data for all rows, you can use the fetch interface of package DBMS_XMLGEN to retrieve a fixed number of rows each time. This speeds up response time and can help in scaling applications that need a Document Object Model (DOM) Application Program Interface (API) on the resulting XML, particularly if the number of rows is large.
Example 8-22 uses DBMS_XMLGEN to retrieve results from table HR.employees:
Example 8-23 uses DBMS_XMLGEN with object types to represent nested structures.
With relational data, the result is an XML document without nested elements. To obtain nested XML structures, you can use object-relational data, where the mapping is as follows:
-
Object types map to XML elements – see XML Schema Storage and Query: Basic.
-
Attributes of the type map to sub-elements of the parent element
Note:
Complex structures can be obtained by using object types and creating object views or object tables. A canonical mapping is used to map object instances to XML.
When used in column names or attribute names, the at-sign (
@) is translated into an attribute of the enclosing XML element in the mapping.
When you provide a user-defined data-type instance to DBMS_XMLGEN functions, the user-defined data-type instance is mapped to an XML document using a canonical mapping: the attributes of the user-defined data type are mapped to XML elements. Attributes with names starting with an at-sign character (@) are mapped to attributes of the preceding element.
User-defined data-type instances can be used for nesting in the resulting XML document.
For example, consider the tables emp and dept defined in Example 8-24. To generate a hierarchical view of the data, that is, departments with their employees, Example 8-24 defines suitable object types to create the structure inside the database.
The default name ROW is not present because it was set to NULL. The deptno and empno have become attributes of the enclosing element.
Example 8-25 uses DBMS_XMLGEN.getXMLType to generate a purchase order document in XML format using object views.
Example 8-26 shows how to open a cursor variable for a query and use that cursor variable to create a new context handle for DBMS_XMLGEN.
See Also:
Oracle Database PL/SQL Language Reference for more information about cursor variables (REF CURSOR)
Example 8-27 shows how to specify NULL handling when using DBMS_XMLGEN.
Function DBMS_XMLGEN.newContextFromHierarchy takes as argument a hierarchical query string, which is typically formulated with a CONNECT BY clause. It returns a context that can be used to generate a hierarchical XML document with recursive elements.
The hierarchical query returns two columns, the level number (a pseudocolumn generated by CONNECT BY query) and an XMLType instance. The level is used to determine the position of the XMLType value within the hierarchy of the result XML document.
It is an error to set the skip number of rows or the maximum number of rows for a context created using newContextFromHierarchy.
Example 8-28 uses DBMS_ XMLGEN.newContextFromHierarchy to generate a manager–employee hierarchy.
If the query string used to create a context contains host variables, you can use PL/SQL method setBindValue() to give the variables values before query execution. Example 8-29 illustrates this.
Example 8-21 DBMS_XMLGEN: Generating Simple XML
CREATE TABLE temp_clob_tab (result CLOB);
DECLARE
qryCtx DBMS_XMLGEN.ctxHandle;
result CLOB;
BEGIN
qryCtx := DBMS_XMLGEN.newContext(
'SELECT * FROM hr.employees WHERE employee_id = 101');
-- Set the row header to be EMPLOYEE
DBMS_XMLGEN.setRowTag(qryCtx, 'EMPLOYEE');
-- Get the result
result := DBMS_XMLGEN.getXML(qryCtx);
INSERT INTO temp_clob_tab VALUES(result);
--Close context
DBMS_XMLGEN.closeContext(qryCtx);
END;
/
That generates the following XML document:
SELECT * FROM temp_clob_tab; RESULT ------------------------------------------------------- <?xml version="1.0"?> <ROWSET> <EMPLOYEE> <EMPLOYEE_ID>101</EMPLOYEE_ID> <FIRST_NAME>Neena</FIRST_NAME> <LAST_NAME>Kochhar</LAST_NAME> <EMAIL>NKOCHHAR</EMAIL> <PHONE_NUMBER>515.123.4568</PHONE_NUMBER> <HIRE_DATE>21-SEP-05</HIRE_DATE> <JOB_ID>AD_VP</JOB_ID> <SALARY>17000</SALARY> <MANAGER_ID>100</MANAGER_ID> <DEPARTMENT_ID>90</DEPARTMENT_ID> </EMPLOYEE> </ROWSET> 1 row selected.
Example 8-22 DBMS_XMLGEN: Generating Simple XML with Pagination (Fetch)
-- Create a table to hold the results
CREATE TABLE temp_clob_tab (result clob);
DECLARE
qryCtx DBMS_XMLGEN.ctxHandle;
result CLOB;
BEGIN
-- Get the query context;
qryCtx := DBMS_XMLGEN.newContext('SELECT * FROM hr.employees');
-- Set the maximum number of rows to be 2
DBMS_XMLGEN.setMaxRows(qryCtx, 2);
LOOP
-- Get the result
result := DBMS_XMLGEN.getXML(qryCtx);
-- If no rows were processed, then quit
EXIT WHEN DBMS_XMLGEN.getNumRowsProcessed(qryCtx) = 0;
-- Do some processing with the lob data
-- Insert the results into a table.
-- You can print the lob out, output it to a stream,
-- put it in a queue, or do any other processing.
INSERT INTO temp_clob_tab VALUES(result);
END LOOP;
--close context
DBMS_XMLGEN.closeContext(qryCtx);
END;
/
SELECT * FROM temp_clob_tab WHERE rownum < 3;
RESULT
----------------------------------------------------------
<?xml version="1.0"?>
<ROWSET>
<ROW>
<EMPLOYEE_ID>100</EMPLOYEE_ID>
<FIRST_NAME>Steven</FIRST_NAME>
<LAST_NAME>King</LAST_NAME>
<EMAIL>SKING</EMAIL>
<PHONE_NUMBER>515.123.4567</PHONE_NUMBER>
<HIRE_DATE>17-JUN-03</HIRE_DATE>
<JOB_ID>AD_PRES</JOB_ID>
<SALARY>24000</SALARY>
<DEPARTMENT_ID>90</DEPARTMENT_ID>
</ROW>
<ROW>
<EMPLOYEE_ID>101</EMPLOYEE_ID>
<FIRST_NAME>Neena</FIRST_NAME>
<LAST_NAME>Kochhar</LAST_NAME>
<EMAIL>NKOCHHAR</EMAIL>
<PHONE_NUMBER>515.123.4568</PHONE_NUMBER>
<HIRE_DATE>21-SEP-05</HIRE_DATE>
<JOB_ID>AD_VP</JOB_ID>
<SALARY>17000</SALARY>
<MANAGER_ID>100</MANAGER_ID>
<DEPARTMENT_ID>90</DEPARTMENT_ID>
</ROW>
</ROWSET>
<?xml version="1.0"?>
<ROWSET>
<ROW>
<EMPLOYEE_ID>102</EMPLOYEE_ID>
<FIRST_NAME>Lex</FIRST_NAME>
<LAST_NAME>De Haan</LAST_NAME>
<EMAIL>LDEHAAN</EMAIL>
<PHONE_NUMBER>515.123.4569</PHONE_NUMBER>
<HIRE_DATE>13-JAN-01</HIRE_DATE>
<JOB_ID>AD_VP</JOB_ID>
<SALARY>17000</SALARY>
<MANAGER_ID>100</MANAGER_ID>
<DEPARTMENT_ID>90</DEPARTMENT_ID>
</ROW>
<ROW>
<EMPLOYEE_ID>103</EMPLOYEE_ID>
<FIRST_NAME>Alexander</FIRST_NAME>
<LAST_NAME>Hunold</LAST_NAME>
<EMAIL>AHUNOLD</EMAIL>
<PHONE_NUMBER>590.423.4567</PHONE_NUMBER>
<HIRE_DATE>03-JAN-06</HIRE_DATE>
<JOB_ID>IT_PROG</JOB_ID>
<SALARY>9000</SALARY>
<MANAGER_ID>102</MANAGER_ID>
<DEPARTMENT_ID>60</DEPARTMENT_ID>
</ROW>
</ROWSET>
2 rows selected.
Example 8-23 DBMS_XMLGEN: Generating XML Using Object Types
CREATE TABLE new_departments (department_id NUMBER PRIMARY KEY,
department_name VARCHAR2(20));
CREATE TABLE new_employees (employee_id NUMBER PRIMARY KEY,
last_name VARCHAR2(20),
department_id NUMBER REFERENCES new_departments);
CREATE TYPE emp_t AS OBJECT ("@employee_id" NUMBER,
last_name VARCHAR2(20));
/
INSERT INTO new_departments VALUES (10, 'SALES');
INSERT INTO new_departments VALUES (20, 'ACCOUNTING');
INSERT INTO new_employees VALUES (30, 'Scott', 10);
INSERT INTO new_employees VALUES (31, 'Mary', 10);
INSERT INTO new_employees VALUES (40, 'John', 20);
INSERT INTO new_employees VALUES (41, 'Jerry', 20);
COMMIT;
CREATE TYPE emplist_t AS TABLE OF emp_t;
/
CREATE TYPE dept_t AS OBJECT ("@department_id" NUMBER,
department_name VARCHAR2(20),
emplist emplist_t);
/
CREATE TABLE temp_clob_tab (result CLOB);
DECLARE
qryCtx DBMS_XMLGEN.ctxHandle;
result CLOB;
BEGIN
DBMS_XMLGEN.setRowTag(qryCtx, NULL);
qryCtx := DBMS_XMLGEN.newContext
('SELECT dept_t(department_id,
department_name,
cast(MULTISET
(SELECT e.employee_id, e.last_name
FROM new_employees e
WHERE e.department_id = d.department_id)
AS emplist_t))
AS deptxml
FROM new_departments d');
-- now get the result
result := DBMS_XMLGEN.getXML(qryCtx);
INSERT INTO temp_clob_tab VALUES (result);
-- close context
DBMS_XMLGEN.closeContext(qryCtx);
END;
/
SELECT * FROM temp_clob_tab;
Here is the resulting XML:
RESULT
--------------------------------------------
<?xml version="1.0"?>
<ROWSET>
<ROW>
<DEPTXML department_id="10">
<DEPARTMENT_NAME>SALES</DEPARTMENT_NAME>
<EMPLIST>
<EMP_T employee_id="30">
<LAST_NAME>Scott</LAST_NAME>
</EMP_T>
<EMP_T employee_id="31">
<LAST_NAME>Mary</LAST_NAME>
</EMP_T>
</EMPLIST>
</DEPTXML>
</ROW>
<ROW>
<DEPTXML department_id="20">
<DEPARTMENT_NAME>ACCOUNTING</DEPARTMENT_NAME>
<EMPLIST>
<EMP_T employee_id="40">
<LAST_NAME>John</LAST_NAME>
</EMP_T>
<EMP_T employee_id="41">
<LAST_NAME>Jerry</LAST_NAME>
</EMP_T>
</EMPLIST>
</DEPTXML>
</ROW>
</ROWSET>
1 row selected.
Example 8-24 DBMS_XMLGEN: Generating XML Using User-Defined Data-Type Instances
CREATE TABLE dept (deptno NUMBER PRIMARY KEY, dname VARCHAR2(20));
CREATE TABLE emp (empno NUMBER PRIMARY KEY, ename VARCHAR2(20),
deptno NUMBER REFERENCES dept);
-- empno is preceded by an at-sign (@) to indicate that it must
-- be mapped as an attribute of the enclosing Employee element.
CREATE TYPE emp_t AS OBJECT ("@empno" NUMBER, -- empno defined as attribute
ename VARCHAR2(20));
/
INSERT INTO DEPT VALUES (10, 'Sports');
INSERT INTO DEPT VALUES(20, 'Accounting');
INSERT INTO EMP VALUES(200, 'John', 10);
INSERT INTO EMP VALUES(300, 'Jack', 10);
INSERT INTO EMP VALUES(400, 'Mary', 20);
INSERT INTO EMP VALUES(500, 'Jerry', 20);
COMMIT;
CREATE TYPE emplist_t AS TABLE OF emp_t;
/
CREATE TYPE dept_t AS OBJECT("@deptno" NUMBER,
dname VARCHAR2(20),
emplist emplist_t);
/
-- Department type dept_t contains a list of employees.
-- You can now query the employee and department tables and get
-- the result as an XML document, as follows:
CREATE TABLE temp_clob_tab (result CLOB);
DECLARE
qryCtx DBMS_XMLGEN.ctxHandle;
RESULT CLOB;
BEGIN
-- get query context
qryCtx := DBMS_XMLGEN.newContext(
'SELECT dept_t(deptno,
dname,
cast(MULTISET
(SELECT empno, ename FROM emp e WHERE e.deptno = d.deptno)
AS emplist_t))
AS deptxml
FROM dept d');
-- set maximum number of rows to 5
DBMS_XMLGEN.setMaxRows(qryCtx, 5);
-- set no row tag for this result, since there is a single ADT column
DBMS_XMLGEN.setRowTag(qryCtx, NULL);
LOOP
-- get result
result := DBMS_XMLGEN.getXML(qryCtx);
-- if there were no rows processed, then quit
EXIT WHEN DBMS_XMLGEN.getNumRowsProcessed(qryCtx) = 0;
-- do something with the result
INSERT INTO temp_clob_tab VALUES (result);
END LOOP;
END;
/
The MULTISET keyword for Oracle SQL function cast treats the employees working in the department as a list, which cast assigns to the appropriate collection type. A department instance is created using constructor dept_t, and DBMS_XMLGEN routines create the XML data for the object instance.
SELECT * FROM temp_clob_tab;
RESULT
---------------------------------
<?xml version="1.0"?>
<ROWSET>
<DEPTXML deptno="10">
<DNAME>Sports</DNAME>
<EMPLIST>
<EMP_T empno="200">
<ENAME>John</ENAME>
</EMP_T>
<EMP_T empno="300">
<ENAME>Jack</ENAME>
</EMP_T>
</EMPLIST>
</DEPTXML>
<DEPTXML deptno="20">
<DNAME>Accounting</DNAME>
<EMPLIST>
<EMP_T empno="400">
<ENAME>Mary</ENAME>
</EMP_T>
<EMP_T empno="500">
<ENAME>Jerry</ENAME>
</EMP_T>
</EMPLIST>
</DEPTXML>
</ROWSET>
1 row selected.
Example 8-25 DBMS_XMLGEN: Generating an XML Purchase Order
-- Create relational schema and define object views
-- DBMS_XMLGEN maps user-defined data-type attribute names that start
-- with an at-sign (@) to XML attributes
-- Purchase Order Object View Model
-- PhoneList varray object type
CREATE TYPE phonelist_vartyp AS VARRAY(10) OF VARCHAR2(20)
/
-- Address object type
CREATE TYPE address_typ AS OBJECT(Street VARCHAR2(200),
City VARCHAR2(200),
State CHAR(2),
Zip VARCHAR2(20))
/
-- Customer object type
CREATE TYPE customer_typ AS OBJECT(CustNo NUMBER,
CustName VARCHAR2(200),
Address address_typ,
PhoneList phonelist_vartyp)
/
-- StockItem object type
CREATE TYPE stockitem_typ AS OBJECT("@StockNo" NUMBER,
Price NUMBER,
TaxRate NUMBER)
/
-- LineItems object type
CREATE TYPE lineitem_typ AS OBJECT("@LineItemNo" NUMBER,
Item stockitem_typ,
Quantity NUMBER,
Discount NUMBER)
/
-- LineItems ordered collection table
CREATE TYPE lineitems_ntabtyp AS TABLE OF lineitem_typ
/
-- Purchase Order object type
CREATE TYPE po_typ AUTHID CURRENT_USER
AS OBJECT(PONO NUMBER,
Cust_ref REF customer_typ,
OrderDate DATE,
ShipDate TIMESTAMP,
LineItems_ntab lineitems_ntabtyp,
ShipToAddr address_typ)
/
-- Create Purchase Order relational model tables
-- Customer table
CREATE TABLE customer_tab (CustNo NUMBER NOT NULL,
CustName VARCHAR2(200),
Street VARCHAR2(200),
City VARCHAR2(200),
State CHAR(2),
Zip VARCHAR2(20),
Phone1 VARCHAR2(20),
Phone2 VARCHAR2(20),
Phone3 VARCHAR2(20),
CONSTRAINT cust_pk PRIMARY KEY (CustNo));
-- Purchase Order table
CREATE TABLE po_tab (PONo NUMBER, /* purchase order number */
Custno NUMBER /* foreign KEY referencing customer */
CONSTRAINT po_cust_fk REFERENCES customer_tab,
OrderDate DATE, /* date of order */
ShipDate TIMESTAMP, /* date to be shipped */
ToStreet VARCHAR2(200), /* shipto address */
ToCity VARCHAR2(200),
ToState CHAR(2),
ToZip VARCHAR2(20),
CONSTRAINT po_pk PRIMARY KEY(PONo));
--Stock Table
CREATE TABLE stock_tab (StockNo NUMBER CONSTRAINT stock_uk UNIQUE,
Price NUMBER,
TaxRate NUMBER);
--Line Items table
CREATE TABLE lineitems_tab (LineItemNo NUMBER,
PONo NUMBER
CONSTRAINT li_po_fk REFERENCES po_tab,
StockNo NUMBER,
Quantity NUMBER,
Discount NUMBER,
CONSTRAINT li_pk PRIMARY KEY (PONo, LineItemNo));
-- Create Object views
-- Customer Object View
CREATE OR REPLACE VIEW customer OF customer_typ
WITH OBJECT IDENTIFIER(CustNo)
AS SELECT c.custno, c.custname,
address_typ(c.street, c.city, c.state, c.zip),
phonelist_vartyp(phone1, phone2, phone3)
FROM customer_tab c;
--Purchase order view
CREATE OR REPLACE VIEW po OF po_typ
WITH OBJECT IDENTIFIER (PONo)
AS SELECT p.pono, make_ref(Customer, P.Custno), p.orderdate, p.shipdate,
cast(MULTISET
(SELECT lineitem_typ(l.lineitemno,
stockitem_typ(l.stockno, s.price,
s.taxrate),
l.quantity, l.discount)
FROM lineitems_tab l, stock_tab s
WHERE l.pono = p.pono AND s.stockno=l.stockno)
AS lineitems_ntabtyp),
address_typ(p.tostreet,p.tocity, p.tostate, p.tozip)
FROM po_tab p;
-- Create table with XMLType column to store purchase order in XML format
CREATE TABLE po_xml_tab (poid NUMBER, podoc XMLType)
/
-- Populate data
-------------------
-- Establish Inventory
INSERT INTO stock_tab VALUES(1004, 6750.00, 2);
INSERT INTO stock_tab VALUES(1011, 4500.23, 2);
INSERT INTO stock_tab VALUES(1534, 2234.00, 2);
INSERT INTO stock_tab VALUES(1535, 3456.23, 2);
-- Register Customers
INSERT INTO customer_tab
VALUES (1, 'Jean Nance', '2 Avocet Drive',
'Redwood Shores', 'CA', '95054',
'415-555-1212', NULL, NULL);
INSERT INTO customer_tab
VALUES (2, 'John Nike', '323 College Drive',
'Edison', 'NJ', '08820',
'609-555-1212', '201-555-1212', NULL);
-- Place orders
INSERT INTO po_tab
VALUES (1001, 1, '10-APR-1997', '10-MAY-1997',
NULL, NULL, NULL, NULL);
INSERT INTO po_tab
VALUES (2001, 2, '20-APR-1997', '20-MAY-1997',
'55 Madison Ave', 'Madison', 'WI', '53715');
-- Detail line items
INSERT INTO lineitems_tab VALUES(01, 1001, 1534, 12, 0);
INSERT INTO lineitems_tab VALUES(02, 1001, 1535, 10, 10);
INSERT INTO lineitems_tab VALUES(01, 2001, 1004, 1, 0);
INSERT INTO lineitems_tab VALUES(02, 2001, 1011, 2, 1);
-- Use package DBMS_XMLGEN to generate purchase order in XML format
-- and store XMLType in table po_xml
DECLARE
qryCtx DBMS_XMLGEN.ctxHandle;
pxml XMLType;
cxml CLOB;
BEGIN
-- get query context;
qryCtx := DBMS_XMLGEN.newContext('SELECT pono,deref(cust_ref) customer,
p.orderdate,
p.shipdate,
lineitems_ntab lineitems,
shiptoaddr
FROM po p');
-- set maximum number of rows to be 1,
DBMS_XMLGEN.setMaxRows(qryCtx, 1);
-- set ROWSET tag to NULL and ROW tag to PurchaseOrder
DBMS_XMLGEN.setRowSetTag(qryCtx, NULL);
DBMS_XMLGEN.setRowTag(qryCtx, 'PurchaseOrder');
LOOP
-- get purchase order in XML format
pxml := DBMS_XMLGEN.getXMLType(qryCtx);
-- if there were no rows processed, then quit
EXIT WHEN DBMS_XMLGEN.getNumRowsProcessed(qryCtx) = 0;
-- Store XMLType po in po_xml table (get the pono out)
INSERT INTO po_xml_tab(poid, poDoc)
VALUES(XMLCast(XMLQuery('//PONO/text()' PASSING pxml RETURNING CONTENT)
AS NUMBER),
pxml);
END LOOP;
END;
/
This query then produces two XML purchase-order documents:
SELECT XMLSerialize(DOCUMENT x.podoc AS CLOB) xpo FROM po_xml_tab x;
XPO
---------------------------------------------------
<PurchaseOrder>
<PONO>1001</PONO>
<CUSTOMER>
<CUSTNO>1</CUSTNO>
<CUSTNAME>Jean Nance</CUSTNAME>
<ADDRESS>
<STREET>2 Avocet Drive</STREET>
<CITY>Redwood Shores</CITY>
<STATE>CA</STATE>
<ZIP>95054</ZIP>
</ADDRESS>
<PHONELIST>
<VARCHAR2>415-555-1212</VARCHAR2>
</PHONELIST>
</CUSTOMER>
<ORDERDATE>10-APR-97</ORDERDATE>
<SHIPDATE>10-MAY-97 12.00.00.000000 AM</SHIPDATE>
<LINEITEMS>
<LINEITEM_TYP LineItemNo="1">
<ITEM StockNo="1534">
<PRICE>2234</PRICE>
<TAXRATE>2</TAXRATE>
</ITEM>
<QUANTITY>12</QUANTITY>
<DISCOUNT>0</DISCOUNT>
</LINEITEM_TYP>
<LINEITEM_TYP LineItemNo="2">
<ITEM StockNo="1535">
<PRICE>3456.23</PRICE>
<TAXRATE>2</TAXRATE>
</ITEM>
<QUANTITY>10</QUANTITY>
<DISCOUNT>10</DISCOUNT>
</LINEITEM_TYP>
</LINEITEMS>
<SHIPTOADDR/>
</PurchaseOrder>
<PurchaseOrder>
<PONO>2001</PONO>
<CUSTOMER>
<CUSTNO>2</CUSTNO>
<CUSTNAME>John Nike</CUSTNAME>
<ADDRESS>
<STREET>323 College Drive</STREET>
<CITY>Edison</CITY>
<STATE>NJ</STATE>
<ZIP>08820</ZIP>
</ADDRESS>
<PHONELIST>
<VARCHAR2>609-555-1212</VARCHAR2>
<VARCHAR2>201-555-1212</VARCHAR2>
</PHONELIST>
</CUSTOMER>
<ORDERDATE>20-APR-97</ORDERDATE>
<SHIPDATE>20-MAY-97 12.00.00.000000 AM</SHIPDATE>
<LINEITEMS>
<LINEITEM_TYP LineItemNo="1">
<ITEM StockNo="1004">
<PRICE>6750</PRICE>
<TAXRATE>2</TAXRATE>
</ITEM>
<QUANTITY>1</QUANTITY>
<DISCOUNT>0</DISCOUNT>
</LINEITEM_TYP>
<LINEITEM_TYP LineItemNo="2">
<ITEM StockNo="1011">
<PRICE>4500.23</PRICE>
<TAXRATE>2</TAXRATE>
</ITEM>
<QUANTITY>2</QUANTITY>
<DISCOUNT>1</DISCOUNT>
</LINEITEM_TYP>
</LINEITEMS>
<SHIPTOADDR>
<STREET>55 Madison Ave</STREET>
<CITY>Madison</CITY>
<STATE>WI</STATE>
<ZIP>53715</ZIP>
</SHIPTOADDR>
</PurchaseOrder>
2 rows selected.
Example 8-26 DBMS_XMLGEN: Generating a New Context Handle from a REF Cursor
CREATE TABLE emp_tab (emp_id NUMBER PRIMARY KEY,
name VARCHAR2(20),
dept_id NUMBER);
Table created.
INSERT INTO emp_tab VALUES (122, 'Scott', 301);
1 row created.
INSERT INTO emp_tab VALUES (123, 'Mary', 472);
1 row created.
INSERT INTO emp_tab VALUES (124, 'John', 93);
1 row created.
INSERT INTO emp_tab VALUES (125, 'Howard', 488);
1 row created.
INSERT INTO emp_tab VALUES (126, 'Sue', 16);
1 row created.
COMMIT;
DECLARE
ctx NUMBER;
maxrow NUMBER;
xmldoc CLOB;
refcur SYS_REFCURSOR;
BEGIN
DBMS_LOB.createtemporary(xmldoc, TRUE);
maxrow := 3;
OPEN refcur FOR 'SELECT * FROM emp_tab WHERE ROWNUM <= :1' USING maxrow;
ctx := DBMS_XMLGEN.newContext(refcur);
-- xmldoc will have 3 rows
DBMS_XMLGEN.getXML(ctx, xmldoc, DBMS_XMLGEN.NONE);
DBMS_OUTPUT.put_line(xmldoc);
DBMS_LOB.freetemporary(xmldoc);
CLOSE refcur;
DBMS_XMLGEN.closeContext(ctx);
END;
/
<?xml version="1.0"?>
<ROWSET>
<ROW>
<EMP_ID>122</EMP_ID>
<NAME>Scott</NAME>
<DEPT_ID>301</DEPT_ID>
</ROW>
<ROW>
<EMP_ID>123</EMP_ID>
<NAME>Mary</NAME>
<DEPT_ID>472</DEPT_ID>
</ROW>
<ROW>
<EMP_ID>124</EMP_ID>
<NAME>John</NAME>
<DEPT_ID>93</DEPT_ID>
</ROW>
</ROWSET>
PL/SQL procedure successfully completed.Example 8-27 DBMS_XMLGEN: Specifying NULL Handling
CREATE TABLE emp_tab (emp_id NUMBER PRIMARY KEY,
name VARCHAR2(20),
dept_id NUMBER);
Table created.
INSERT INTO emp_tab VALUES (30, 'Scott', NULL);
1 row created.
INSERT INTO emp_tab VALUES (31, 'Mary', NULL);
1 row created.
INSERT INTO emp_tab VALUES (40, 'John', NULL);
1 row created.
COMMIT;
CREATE TABLE temp_clob_tab (result CLOB);
Table created.
DECLARE
qryCtx DBMS_XMLGEN.ctxHandle;
result CLOB;
BEGIN
qryCtx := DBMS_XMLGEN.newContext('SELECT * FROM emp_tab where name = :NAME');
-- Set the row header to be EMPLOYEE
DBMS_XMLGEN.setRowTag(qryCtx, 'EMPLOYEE');
-- Drop nulls
DBMS_XMLGEN.setBindValue(qryCtx, 'NAME', 'Scott');
DBMS_XMLGEN.setNullHandling(qryCtx, DBMS_XMLGEN.DROP_NULLS);
result := DBMS_XMLGEN.getXML(qryCtx);
INSERT INTO temp_clob_tab VALUES(result);
-- Null attribute
DBMS_XMLGEN.setBindValue(qryCtx, 'NAME', 'Mary');
DBMS_XMLGEN.setNullHandling(qryCtx, DBMS_XMLGEN.NULL_ATTR);
result := DBMS_XMLGEN.getXML(qryCtx);
INSERT INTO temp_clob_tab VALUES(result);
-- Empty tag
DBMS_XMLGEN.setBindValue(qryCtx, 'NAME', 'John');
DBMS_XMLGEN.setNullHandling(qryCtx, DBMS_XMLGEN.EMPTY_TAG);
result := DBMS_XMLGEN.getXML(qryCtx);
INSERT INTO temp_clob_tab VALUES(result);
--Close context
DBMS_XMLGEN.closeContext(qryCtx);
END;
/
PL/SQL procedure successfully completed.
SELECT * FROM temp_clob_tab;
RESULT
-------------------------------------------
<?xml version="1.0"?>
<ROWSET>
<EMPLOYEE>
<EMP_ID>30</EMP_ID>
<NAME>Scott</NAME>
</EMPLOYEE>
</ROWSET>
<?xml version="1.0"?>
<ROWSET xmlns:xsi = "http://www.w3.org/2001/XMLSchema-instance">
<EMPLOYEE>
<EMP_ID>31</EMP_ID>
<NAME>Mary</NAME>
<DEPT_ID xsi:nil = "true"/>
</EMPLOYEE>
</ROWSET>
<?xml version="1.0"?>
<ROWSET>
<EMPLOYEE>
<EMP_ID>40</EMP_ID>
<NAME>John</NAME>
<DEPT_ID/>
</EMPLOYEE>
</ROWSET>
3 rows selected.
Example 8-28 DBMS_XMLGEN: Generating Recursive XML with a Hierarchical Query
CREATE TABLE sqlx_display (id NUMBER, xmldoc XMLType);
Table created.
DECLARE
qryctx DBMS_XMLGEN.ctxhandle;
result XMLType;
BEGIN
qryctx :=
DBMS_XMLGEN.newContextFromHierarchy(
'SELECT level,
XMLElement("employees",
XMLElement("enumber", employee_id),
XMLElement("name", last_name),
XMLElement("Salary", salary),
XMLElement("Hiredate", hire_date))
FROM hr.employees
START WITH last_name=''De Haan'' CONNECT BY PRIOR employee_id=manager_id
ORDER SIBLINGS BY hire_date');
result := DBMS_XMLGEN.getxmltype(qryctx);
DBMS_OUTPUT.put_line('<result num rows>');
DBMS_OUTPUT.put_line(to_char(DBMS_XMLGEN.getNumRowsProcessed(qryctx)));
DBMS_OUTPUT.put_line('</result num rows>');
INSERT INTO sqlx_display VALUES (2, result);
COMMIT;
DBMS_XMLGEN.closecontext(qryctx);
END;
/
<result num rows>
6
</result num rows>
PL/SQL procedure successfully completed.
SELECT xmldoc FROM sqlx_display WHERE id = 2;
XMLDOC
-----------------------------------------------------
<?xml version="1.0"?>
<employees>
<enumber>102</enumber>
<name>De Haan</name>
<Salary>17000</Salary>
<Hiredate>2001-01-13</Hiredate>
<employees>
<enumber>103</enumber>
<name>Hunold</name>
<Salary>9000</Salary>
<Hiredate>2006-01-03</Hiredate>
<employees>
<enumber>105</enumber>
<name>Austin</name>
<Salary>4800</Salary>
<Hiredate>2005-06-25</Hiredate>
</employees>
<employees>
<enumber>106</enumber>
<name>Pataballa</name>
<Salary>4800</Salary>
<Hiredate>2006-02-05</Hiredate>
</employees>
<employees>
<enumber>107</enumber>
<name>Lorentz</name>
<Salary>4200</Salary>
<Hiredate>2007-02-07</Hiredate>
</employees>
<employees>
<enumber>104</enumber>
<name>Ernst</name>
<Salary>6000</Salary>
<Hiredate>2007-05-21</Hiredate>
</employees>
</employees>
</employees>
1 row selected.
By default, the ROWSET tag is NULL: there is no default ROWSET tag used to enclose the XML result. However, you can explicitly set the ROWSET tag by using procedure setRowSetTag, as follows:
CREATE TABLE gg (x XMLType);
Table created.
DECLARE
qryctx DBMS_XMLGEN.ctxhandle;
result CLOB;
BEGIN
qryctx := DBMS_XMLGEN.newContextFromHierarchy(
'SELECT level,
XMLElement("NAME", last_name) AS myname FROM hr.employees
CONNECT BY PRIOR employee_id=manager_id
START WITH employee_id = 102');
DBMS_XMLGEN.setRowSetTag(qryctx, 'mynum_hierarchy');
result:=DBMS_XMLGEN.getxml(qryctx);
DBMS_OUTPUT.put_line('<result num rows>');
DBMS_OUTPUT.put_line(to_char(DBMS_XMLGEN.getNumRowsProcessed(qryctx)));
DBMS_OUTPUT.put_line('</result num rows>');
INSERT INTO gg VALUES(XMLType(result));
COMMIT;
DBMS_XMLGEN.closecontext(qryctx);
END;
/
<result num rows>
6
</result num rows>
PL/SQL procedure successfully completed.
SELECT * FROM gg;
X
----------------------------------------------------------
<?xml version="1.0"?>
<mynum_hierarchy>
<NAME>De Haan
<NAME>Hunold
<NAME>Ernst</NAME>
<NAME>Austin</NAME>
<NAME>Pataballa</NAME>
<NAME>Lorentz</NAME>
</NAME>
</NAME>
</mynum_hierarchy>
1 row selected.
Example 8-29 DBMS_XMLGEN: Binding Query Variables Using SETBINDVALUE()
-- Bind one variable DECLARE ctx NUMBER; xmldoc CLOB; BEGIN ctx := DBMS_XMLGEN.newContext( 'SELECT * FROM employees WHERE employee_id = :NO'); DBMS_XMLGEN.setBindValue(ctx, 'NO', '145'); xmldoc := DBMS_XMLGEN.getXML(ctx); DBMS_OUTPUT.put_line(xmldoc); DBMS_XMLGEN.closeContext(ctx); EXCEPTION WHEN OTHERS THEN DBMS_XMLGEN.closeContext(ctx); RAISE; END; / <?xml version="1.0"?> <ROWSET> <ROW> <EMPLOYEE_ID>145</EMPLOYEE_ID> <FIRST_NAME>John</FIRST_NAME> <LAST_NAME>Russell</LAST_NAME> <EMAIL>JRUSSEL</EMAIL> <PHONE_NUMBER>011.44.1344.429268</PHONE_NUMBER> <HIRE_DATE>01-OCT-04</HIRE_DATE> <JOB_ID>SA_MAN</JOB_ID> <SALARY>14000</SALARY> <COMMISSION_PCT>.4</COMMISSION_PCT> <MANAGER_ID>100</MANAGER_ID> <DEPARTMENT_ID>80</DEPARTMENT_ID> </ROW> </ROWSET> PL/SQL procedure successfully completed.
-- Bind one variable twice with different values DECLARE ctx NUMBER; xmldoc CLOB; BEGIN ctx := DBMS_XMLGEN.newContext('SELECT * FROM employees WHERE hire_date = :MDATE'); DBMS_XMLGEN.setBindValue(ctx, 'MDATE', '01-OCT-04'); xmldoc := DBMS_XMLGEN.getXML(ctx); DBMS_OUTPUT.put_line(xmldoc); DBMS_XMLGEN.setBindValue(ctx, 'MDATE', '10-MAR-05'); xmldoc := DBMS_XMLGEN.getXML(ctx); DBMS_OUTPUT.put_line(xmldoc); DBMS_XMLGEN.closeContext(ctx); EXCEPTION WHEN OTHERS THEN DBMS_XMLGEN.closeContext(ctx); RAISE; END; / <?xml version="1.0"?> <ROWSET> <ROW> <EMPLOYEE_ID>145</EMPLOYEE_ID> <FIRST_NAME>John</FIRST_NAME> <LAST_NAME>Russell</LAST_NAME> <EMAIL>JRUSSEL</EMAIL> <PHONE_NUMBER>011.44.1344.429268</PHONE_NUMBER> <HIRE_DATE>01-OCT-04</HIRE_DATE> <JOB_ID>SA_MAN</JOB_ID> <SALARY>14000</SALARY> <COMMISSION_PCT>.4</COMMISSION_PCT> <MANAGER_ID>100</MANAGER_ID> <DEPARTMENT_ID>80</DEPARTMENT_ID> </ROW> </ROWSET> <?xml version="1.0"?> <ROWSET> <ROW> <EMPLOYEE_ID>147</EMPLOYEE_ID> <FIRST_NAME>Alberto</FIRST_NAME> <LAST_NAME>Errazuriz</LAST_NAME> <EMAIL>AERRAZUR</EMAIL> <PHONE_NUMBER>011.44.1344.429278</PHONE_NUMBER> <HIRE_DATE>10-MAR-05</HIRE_DATE> <JOB_ID>SA_MAN</JOB_ID> <SALARY>12000</SALARY> <COMMISSION_PCT>.3</COMMISSION_PCT> <MANAGER_ID>100</MANAGER_ID> <DEPARTMENT_ID>80</DEPARTMENT_ID> </ROW> <ROW> <EMPLOYEE_ID>159</EMPLOYEE_ID> <FIRST_NAME>Lindsey</FIRST_NAME> <LAST_NAME>Smith</LAST_NAME> <EMAIL>LSMITH</EMAIL> <PHONE_NUMBER>011.44.1345.729268</PHONE_NUMBER> <HIRE_DATE>10-MAR-97</HIRE_DATE> <JOB_ID>SA_REP</JOB_ID> <SALARY>8000</SALARY> <COMMISSION_PCT>.3</COMMISSION_PCT> <MANAGER_ID>146</MANAGER_ID> <DEPARTMENT_ID>80</DEPARTMENT_ID> </ROW> </ROWSET> PL/SQL procedure successfully completed.
-- Bind two variables DECLARE ctx NUMBER; xmldoc CLOB; BEGIN ctx := DBMS_XMLGEN.newContext('SELECT * FROM employees WHERE employee_id = :NO AND hire_date = :MDATE'); DBMS_XMLGEN.setBindValue(ctx, 'NO', '145'); DBMS_XMLGEN.setBindValue(ctx, 'MDATE', '01-OCT-04'); xmldoc := DBMS_XMLGEN.getXML(ctx); DBMS_OUTPUT.put_line(xmldoc); DBMS_XMLGEN.closeContext(ctx); EXCEPTION WHEN OTHERS THEN DBMS_XMLGEN.closeContext(ctx); RAISE; END; / <?xml version="1.0"?> <ROWSET> <ROW> <EMPLOYEE_ID>145</EMPLOYEE_ID> <FIRST_NAME>John</FIRST_NAME> <LAST_NAME>Russell</LAST_NAME> <EMAIL>JRUSSEL</EMAIL> <PHONE_NUMBER>011.44.1344.429268</PHONE_NUMBER> <HIRE_DATE>01-OCT-04</HIRE_DATE> <JOB_ID>SA_MAN</JOB_ID> <SALARY>14000</SALARY> <COMMISSION_PCT>.4</COMMISSION_PCT> <MANAGER_ID>100</MANAGER_ID> <DEPARTMENT_ID>80</DEPARTMENT_ID> </ROW> </ROWSET> PL/SQL procedure successfully completed.
Parent topic: Generation of XML Data Using DBMS_XMLGEN
8.4 SYS_XMLAGG Oracle SQL Function
Oracle SQL function sys_XMLAgg aggregates all XML documents or fragments represented by an expression, producing a single XML document from them. It wraps the results of the expression in a new element named ROWSET (by default).
Oracle function sys_XMLAgg is similar to standard SQL/XML function XMLAgg, but sys_XMLAgg returns a single node and it accepts an XMLFormat parameter. You can use that parameter to format the resulting XML document in various ways.
See Also:
-
Oracle Database SQL Language Reference for information about
sys_XMLAgg -
Oracle Database SQL Language Reference for information about an
XMLFormatparameter
Parent topic: Generation of XML Data from Relational Data
8.5 Ordering Query Results Before Aggregating, Using XMLAGG ORDER BY Clause
To use the XMLAgg ORDER BY clause before
aggregation, specify the ORDER BY clause following the first
XMLAGG argument.
This is illustrated in Example 8-30.
Example 8-30 Using XMLAGG ORDER BY Clause
CREATE TABLE dev_tab (dev NUMBER,
dev_total NUMBER,
devname VARCHAR2(20));
Table created.
INSERT INTO dev_tab VALUES (16, 5, 'Alexis');
1 row created.
INSERT INTO dev_tab VALUES (2, 14, 'Han');
1 row created.
INSERT INTO dev_tab VALUES (1, 2, 'Jess');
1 row created.
INSERT INTO dev_tab VALUES (9, 88, 'Kurt');
1 row created.
COMMIT;
The result of the following query is
aggregated according to the order of the
dev column. (The result is shown
here pretty-printed, for
clarity.)
SELECT XMLAgg(XMLElement("Dev",
XMLAttributes(dev AS "id", dev_total AS "total"),
devname)
ORDER BY dev)
FROM dev_tab dev_total;
XMLAGG(XMLELEMENT("DEV",XMLATTRIBUTES(DEVAS"ID"
-----------------------------------------------
<Dev id="1" total="2">Jess</Dev>
<Dev id="2" total="14">Han</Dev>
<Dev id="9" total="88">Kurt</Dev>
<Dev id="16" total="5">Alexis</Dev>
1 row selected.Parent topic: Generation of XML Data from Relational Data
8.6 Returning a Rowset Using XMLTABLE
You can use standard SQL/XML function XMLTable to return a rowset with relevant portions of a document extracted as multiple rows.
This is shown in Example 8-31.
Example 8-31 Returning a Rowset Using XMLTABLE
CONNECT oe
Enter password: password
Connected.
SELECT item.descr, item.partid
FROM purchaseorder,
XMLTable('$p/PurchaseOrder/LineItems/LineItem' PASSING OBJECT_VALUE
COLUMNS descr VARCHAR2(256) PATH 'Description',
partid VARCHAR2(14) PATH 'Part/@Id') item
WHERE item.partid = '715515012027'
OR item.partid = '715515011921'
ORDER BY partid;
This returns a rowset with just the descriptions and part IDs, ordered by part ID.
DESCR
--------------
PARTID
--------------
My Man Godfrey
715515011921
My Man Godfrey
715515011921
My Man Godfrey
715515011921
My Man Godfrey
715515011921
My Man Godfrey
715515011921
My Man Godfrey
715515011921
My Man Godfrey
715515011921
Mona Lisa
715515012027
Mona Lisa
715515012027
Mona Lisa
715515012027
Mona Lisa
715515012027
Mona Lisa
715515012027
Mona Lisa
715515012027
Mona Lisa
715515012027
Mona Lisa
715515012027
Mona Lisa
715515012027
16 rows selected.Parent topic: Generation of XML Data from Relational Data
Footnote Legend
Footnote 1:The SQL/XML standard requires argument data-type to be present, but it is optional in the Oracle XML DB implementation of the standard, for ease of use.
Footnote 2:
The limit is 32767 or 4000 bytes, depending on the value of initialization parameter MAX_STRING_SIZE. See Oracle Database PL/SQL Packages and Types Reference.










