15 The ORACLE_LOADER Access Driver
Learn how to control the way external tables are accessed by using the ORACLE_LOADER access driver parameters to modify the default behavior of the access driver.
- About the ORACLE_LOADER Access Driver
TheORACLE_LOADERaccess driver provides a set of access parameters unique to external tables of the typeORACLE_LOADER. - access_parameters Clause
Theaccess_parametersclause contains comments, record formatting, and field formatting information. - record_format_info Clause
Learn how to parse, label and manage record information with therecord_format_infoclause and its subclauses. - field_definitions Clause
Learn how to name the fields in the data file and specify how to find them in records using thefield_definitionsclause. - column_transforms Clause
The optionalORACLE_LOADERaccess driveCOLUMN TRANSFORMSclause provides transforms that you can use to describe how to load columns in the external table that do not map directly to columns in the data file. - Parallel Loading Considerations for the ORACLE_LOADER Access Driver
TheORACLE_LOADERaccess driver attempts to divide large data files into chunks that can be processed separately. - Performance Hints When Using the ORACLE_LOADER Access Driver
This topic describes some performance hints when using theORACLE_LOADERaccess driver. - Restrictions When Using the ORACLE_LOADER Access Driver
This section lists restrictions to be aware of when you use theORACLE_LOADERaccess driver. - Reserved Words for the ORACLE_LOADER Access Driver
When identifiers (for example, column or table names) are specified in the external table access parameters, certain values are considered to be reserved words by the access parameter parser.
Parent topic: External Tables
15.1 About the ORACLE_LOADER Access Driver
The ORACLE_LOADER access driver provides a set of access
parameters unique to external tables of the type ORACLE_LOADER.
You can use the access parameters to modify the default behavior of the access driver. The information you provide through the access driver ensures that data from the data source is processed so that it matches the definition of the external table.
To use the external table management features that the ORACLE_LOADER access parameters provide, you must have some knowledge of the file format and record format (including character sets and field data types) of the data files on your platform. You must also know enough about SQL to be able to create an external table, and to perform queries against it.
You can find it helpful to use the
EXTERNAL_TABLE=GENERATE_ONLY parameter in SQL*Loader to obtain the
proper access parameters for a given SQL*Loader control file. When you specify
GENERATE_ONLY, all the SQL statements needed to do the load using
external tables, as described in the control file, are placed in the SQL*Loader log
file. You can edit and customize these SQL statements. You can perform the actual load
later without the use of SQL*Loader by executing these statements in SQL*Plus.
Note:
-
It is sometimes difficult to understand
ORACLE_LOADERaccess driver parameter syntax without reference to otherORACLE_LOADERaccess driver parameters. If you have difficulty understanding the syntax of a particular parameter, then refer to it in context with other referenced parameters. -
Be aware that in ORACLE_LOADER access driver parameter examples that show a
CREATE TABLE...ORGANIZATION EXTERNALstatement, followed by an example of contents of the data file for the external table, the contents of the data file in the example are not part of theCREATE TABLEstatement. They are present in the example only to help complete the example. -
When identifiers (for example, column or table names) are specified in the external table access parameters, certain values are considered to be reserved words by the access parameter parser. If a reserved word is used as an identifier, then it must be enclosed in double quotation marks.
15.2 access_parameters Clause
The access_parameters clause contains comments, record formatting, and field formatting information.
Default
None.
Syntax
The syntax for the access_parameters clause is as
follows:
Purpose
The description of the data in the data source is separate from the definition of the external table. This means that:
- The source file can contain more or fewer fields than there are columns in the external table
- The data types for fields in the data source can be different from the columns in the external table
The access driver ensures that data from the data source is processed so that it matches the definition of the external table.
Note:
These access parameters are collectively referred to as the
opaque_format_spec in the SQL CREATE
TABLE...ORGANIZATION EXTERNAL statement.
See Also:
Oracle Database SQL
Language Reference for information about specifying
opaque_format_spec when using the SQL CREATE
TABLE...ORGANIZATION EXTERNAL statement
comments
Comments are lines that begin with two hyphens followed by text. Comments must be placed before any access parameters, for example:
--This is a comment. --This is another comment. RECORDS DELIMITED BY NEWLINE
All text to the right of the double hyphen is ignored, until the end of the line.
record_format_info
The record_format_info clause is an optional clause that contains information about the record, such as its format, the character set of the data, and what rules are used to exclude records from being loaded. For a full description of the syntax, see record_format_info Clause.
field_definitions
The field_definitions clause is used to describe the fields in the data file. If a data file field has the same name as a column in the external table, then the data from the field is used for that column. For a full description of the syntax, see field_definitions Clause.
column_transforms
The column_transforms clause is an optional clause used to describe how to load columns in the external table that do not map directly to columns in the data file. This is done using the following transforms: NULL, CONSTANT, CONCAT, and LOBFILE. For a full description of the syntax, see column_transforms Clause.
Parent topic: The ORACLE_LOADER Access Driver
15.3 record_format_info Clause
Learn how to parse, label and manage record information with the
record_format_info clause and its subclauses.
- Overview of record_format_info Clause
Therecord_format_infoclause contains information about the record, such as its format, the character set of the data, and what rules are used to exclude records from being loaded. - FIXED Length
Use therecord_format_infoFIXEDclause to identify the records in external tables as all having a fixed size of length bytes. - VARIABLE size
Use therecord_format_infoFIXEDclause to indicate that the records have a variable length - DELIMITED BY
Use therecord_format_infoDELIMITED BYclause to delimit the end-of-record character. - XMLTAG
Use therecord_format_infoXMLTAGclause to specify XML tags that are used to load subdocuments from an XML document. - CHARACTERSET
Use therecord_format_infoCHARACTERSETclause to specify the character set of the data file. - PREPROCESSOR
To specify your own preprocessor program that you want to run for every data file, use therecord_format_infoPREPROCESSORclause. - PREPROCESSOR_TIMEOUT
To extend the timeout period for preprocessor programs, use therecord_format_infoPREPROCESSOR_TIMEOUTclause. - EXTERNAL VARIABLE DATA
To load dump files into the Oracle SQL Connector for HDFS that are generated with theORACLE_DATAPUMPaccess driver, use theEXTERNAL VARIABLE DATAclause. - LANGUAGE
TheLANGUAGEclause allows you to specify a language name (for example,FRENCH), from which locale-sensitive information about the data can be derived. - TERRITORY
TheTERRITORYclause allows you to specify a territory name to further determine input data characteristics. - DATA IS...ENDIAN
TheDATA IS...ENDIANclause indicates the endianness of data whose byte order may vary, depending on the platform that generated the data file. - BYTEORDERMARK [CHECK | NOCHECK]
Use therecord_format_infoBYTEORDERMARKclause to specify whether the data file should be checked for the presence of a byte-order mark (BOM). - STRING SIZES ARE IN
Use therecord_format_infoSTRING SIZES ARE INclause to indicate whether the lengths specified for character strings are in bytes or characters. - LOAD WHEN
Use therecord_format_infoLOAD WHENclause to identify the records that should be passed to the database. - BADFILE | NOBADFILE
Use therecord_format_infoBADFILEclause to name the file to which records are written when they cannot be loaded because of errors. - DISCARDFILE | NODISCARDFILE
Use therecord_format_infoDISCARDFILEclause to name the file to which records are written that fail the condition in theLOAD WHENclause. - LOGFILE | NOLOGFILE
Use therecord_format_infoLOGFILEclause to name the file that contains messages generated by the external tables utility while it was accessing data in the data file. - SKIP
Use therecord_format_infoSKIPclause to skip the specified number of records in the data file before loading. - FIELD NAMES
Use therecord_format_infoFIELD NAMESclause to specify field order in data files. - READSIZE
TheREADSIZEparameter specifies the size of the read buffer used to process records. - DATE_CACHE
- string
A string is a quoted series of characters or hexadecimal digits. - condition_spec
Thecondition_specspecifies one or more conditions that are joined by Boolean operators. - [directory object name:] [filename]
The[directory object name:] [filename]clause is used to specify the name of an output file (BADFILE,DISCARDFILE, orLOGFILE). - condition
To compare a range of bytes or a field from the record against a constant string, you can use theORACLE_LOADERconditionclause - IO_OPTIONS clause
To specify whether the operating system uses direct input/output to read data files from disk, or uses a cache for reading the data files, use theORACLE_LOADERrecordsclauseIO_OPTIONS. - DNFS_DISABLE | DNFS_ENABLE
To disable and enable use of the Direct NFS Client on input data files during an external tables operation, useDNFS_DISABLEorDNFS_ENABLE. - DNFS_READBUFFERS
TheDNFS_READBUFFERSparameter of therecord_format_infoclause is used to control the number of read buffers used by the Direct NFS Client.
Parent topic: The ORACLE_LOADER Access Driver
15.3.1 Overview of record_format_info Clause
The record_format_info clause contains information about
the record, such as its format, the character set of the data, and what rules are used to
exclude records from being loaded.
The PREPROCESSOR clause allows you to optionally specify the
name of a user-supplied program that will run and modify the contents of a data file so
that the ORACLE_LOADER access driver can parse it.
The record_format_info clause is optional. The syntax for
the record_format_info clause is as follows:
The et_record_spec_options clause allows you to optionally
specify additional formatting information. You can specify as many of the formatting
options as you want, in any order. The syntax of the options is as follows:
The following et_output_files diagram shows the options for
specifying the bad, discard, and log files. For each of these clauses, you must supply
either a directory object name or a file name, or both.
Parent topic: record_format_info Clause
15.3.2 FIXED Length
Use the record_format_info
FIXED clause to identify the records in external tables as all having a fixed
size of length bytes.
Default
None.
Purpose
Enables you to identify the records in external tables as all having a fixed size of length bytes.
Usage Notes
The size specified for FIXED records must include any record
termination characters, such as newlines. Compared to other record types, fixed-length
fields in fixed-length records are the easiest field and record formats for the access
driver to process.
Example
The following is an example of using FIXED records. In this
example, we assume that there is a 1-byte newline character at the end of each record in the
data file. After the create table command using FIXED, you see an example
of the data file that you can load with it.
CREATE TABLE emp_load (first_name CHAR(15), last_name CHAR(20), year_of_birth CHAR(4))
ORGANIZATION EXTERNAL (TYPE ORACLE_LOADER DEFAULT DIRECTORY ext_tab_dir
ACCESS PARAMETERS (RECORDS FIXED 20 FIELDS (first_name CHAR(7),
last_name CHAR(8),
year_of_birth CHAR(4)))
LOCATION ('info.dat'));
Alvin Tolliver1976
KennethBaer 1963
Mary Dube 1973
Parent topic: record_format_info Clause
15.3.3 VARIABLE size
Use the record_format_info
FIXED clause to indicate that the records have a variable length
Default
None.
Purpose
Use the VARIABLE clause to indicate that the records have a variable
length, and that each record is preceded by a character string containing a number with the
count of bytes for the record. The length of the character string containing the count field
is the size argument that follows the VARIABLE parameter. Note that size
indicates a count of bytes, not characters. The count at the beginning of the record must
include any record termination characters, but it does not include the size of the count
field itself. The number of bytes in the record termination characters can vary depending on
how the file is created and on what platform it is created.
Example
In the following example of using VARIABLE records, there is
a 1-byte newline character at the end of each record in the data file. After the SQL
example, you see an example of a data file that can be used to load it.
CREATE TABLE emp_load (first_name CHAR(15), last_name CHAR(20), year_of_birth CHAR(4))
ORGANIZATION EXTERNAL (TYPE ORACLE_LOADER DEFAULT DIRECTORY ext_tab_dir
ACCESS PARAMETERS (RECORDS VARIABLE 2 FIELDS TERMINATED BY ','
(first_name CHAR(7),
last_name CHAR(8),
year_of_birth CHAR(4)))
LOCATION ('info.dat'));
21Alvin,Tolliver,1976,
19Kenneth,Baer,1963,
16Mary,Dube,1973,
Parent topic: record_format_info Clause
15.3.4 DELIMITED BY
Use the record_format_info
DELIMITED BY clause to delimit the end-of-record character.
Default
None
Purpose
The DELIMITED BY clause is used to indicate the character that identifies the end of a record.
If you specify DELIMITED BY NEWLINE then the actual value used is
platform-specific. On Unix or Linux operating systems, NEWLINE is assumed
to be '\n'. On Microsoft Windows operating systems,
NEWLINE is assumed to be '\r\n'.
If you are unsure what record delimiter was used when a data file was created, then
running an external table query with DELIMITED BY NEWLINE can result in
files that are incorrectly loaded. The query can be run without identifying what record
delimiter was used when the data file was created. For example, you can work on a Unix or
Linux operating system and use a file that was created in Windows format. If you specify
RECORDS DELIMITED BY NEWLINE on the UNIX or Linux operating system, the
delimiter is automatically assumed to be '\n'. However, because the file
was created in Windows format, in which the records are delimited by
'\r\n', the file is incorrectly uploaded to the UNIX or Linux operating
system.
To resolve problems of different record delimiters, use this syntax:
RECORDS DELIMITED BY DETECTED NEWLINEWith this syntax, the ORACLE_LOADER access driver scans the data
looking first for a Windows delimiter ('\r\n'). If a Windows delimiter is
not found, then the access driver looks for a Unix or Linux delimiter
('\n'). The first delimiter found is the one used as the record
delimiter.
After a record delimiter is found, the access driver identifies that delimiter as
the end of the record. For this reason, if the data contains an embedded delimiter character
in a field before the end of the record, then you cannot use the DETECTED
keyword. This is because the ORACLE_LOADER access driver incorrectly
assumes that the delimiter in the field denotes the end of the record. As a result, the
current and all subsequent records in the file cannot parse correctly.
You cannot mix newline delimiters in the same file. When the
ORACLE_LOADER access driver finds the first delimiter, then that is the
delimiter that it identifies for the records in the file. The access driver then processes
all subsequent records in the file by using the same newline character as the
delimiter..
If you specify DELIMITED BY string, then
string can be either text or a series of hexadecimal
digits enclosed within quotation marks and prefixed by OX or
X. If the string is text, then the text is converted to the character set
of the data file, and the result is used for identifying record boundaries.
If the following conditions are true, then you must use hexadecimal digits to identify the delimiter:
- The character set of the access parameters is different from the character set of the data file.
- Some characters in the delimiter string cannot be translated into the character set of the data file.
The hexadecimal digits are converted into bytes, and there is no character set translation performed on the hexadecimal string.
If the end of the file is found before the record terminator, then the access driver proceeds as if a terminator was found, and all unprocessed data up to the end of the file is considered part of the record.
Note:
Do not include any binary data, including binary counts for VARCHAR and VARRAW, in a record that has delimiters. Doing so could cause errors or corruption, because the binary data will be interpreted as characters during the search for the delimiter.
Example
The following is an example of using DELIMITED BY
records.
CREATE TABLE emp_load (first_name CHAR(15), last_name CHAR(20), year_of_birth CHAR(4))
ORGANIZATION EXTERNAL (TYPE ORACLE_LOADER DEFAULT DIRECTORY ext_tab_dir
ACCESS PARAMETERS (RECORDS DELIMITED BY '|' FIELDS TERMINATED BY ','
(first_name CHAR(7),
last_name CHAR(8),
year_of_birth CHAR(4)))
LOCATION ('info.dat'));
Alvin,Tolliver,1976|Kenneth,Baer,1963|Mary,Dube,1973
Related Topics
Parent topic: record_format_info Clause
15.3.5 XMLTAG
Use the record_format_info
XMLTAG clause to specify XML tags that are used to load subdocuments from an
XML document.
Default
None
Purpose
You can use the XMLTAG clause of the ORACLE_LOADER
access driver to specify XML tags that are used to load subdocuments from an XML document.
The access driver searches the data file for documents enclosed by the tags you identify
with the clause, and loads those documents as separate rows in the external table.
The XMLTAG clause accepts a list of one or more strings. The
strings are used to build tags that ORACLE_LOADER uses to search for
subdocuments in the data file. The tags specified in the access parameters do not include
the "<" and ">" delimiters.
The ORACLE_LOADER access driver starts at the beginning of the
file, and looks for the first occurrence of any of the tags listed in the
XMLTAG clause. When it finds a match, it then searches for the
corresponding closing tag. For example, if the tag is "ORDER_ITEM”, then
ORACLE_LOADER looks for the text string
“<ORDER_ITEM>”, starting at the beginning of the file. When it
finds an occurrence of “<ORDER_ITEM>” it then looks for
“</ORDER_ITEM>”. Everything found between the <ORDER_ITEM>
and </ORDER_ITEM> tags is part of the document loaded for the row.
ORACLE_LOADER then searches for the next occurrence of any of the tags,
starting from the first character after the closing tag.
The ORACLE_LOADER access driver is not parsing the XML document to the elements that match the tag names; it is only doing a string search through a text file. If the external table is being accessed in parallel, then ORACLE_LOADER splits large files up so that different sections are read independently. When it starts reading a section of the data file, it starts looking for one of the tags specified by XMLTAG. If it reaches the end of a section and is still looking for a matching end tag, then ORACLE_LOADER continues reading into the next section until the matching end tag is found.
Restrictions When Using XMLTAG
-
The
XMLTAGclause cannot be used to load data files that have elements nested inside of documents of the same element. For example, if a data file being loaded withXMLTAG(‘FOO’)contains the following data:<FOO><BAR><FOO></FOO></BAR></FOO>then
ORACLE_LOADERextracts everything between the first<FOO>and the first</FOO>as a document, which does not constitute a valid document.Similarly, if
XMLTAG(“FOO”,”BAR”)is specified and the data file contains the following:<FOO><BAR></BAR></FOO>then
<BAR>and</BAR>are loaded, but as the document for "FOO". -
The limit on how large an extracted sub-document can be is determined by the
READSIZEaccess parameter. If theORACLE_LOADERaccess driver sees a subdocument larger thanREADSIZE, then it returns an error.
Example Use of the XMLTAG Clause
Suppose you create an external table T_XT as follows:
CREATE TABLE "T_XT"
(
"C0" VARCHAR2(2000)
)
ORGANIZATION external
(
TYPE oracle_loader
DEFAULT DIRECTORY DMPDIR
ACCESS PARAMETERS
(
RECORDS
XMLTAG ("home address", "work address"," home phone ")
READSIZE 1024
SKIP 0
FIELDS NOTRIM
MISSING FIELD VALUES ARE NULL
(
"C0" (1:2000) CHAR(2000)
)
)
location
(
't.dat'
)
)REJECT LIMIT UNLIMITED
/
exit;Assume the contents of the data file are as follows:
<first name>Lionel</first name><home address>23 Oak St, Tripoli, CT</home address><last name>Rice</last name>You could then perform the following SQL query:
SQL> SELECT C0 FROM T_XT;
C0
------------------------------------------------------------------
<home address>23 Oak St, Tripoli, CT</home address>
Parent topic: record_format_info Clause
15.3.6 CHARACTERSET
Use the record_format_info
CHARACTERSET clause to specify the character set of the data
file.
Default
None.
Purpose
The CHARACTERSET string clause
identifies the character set of the data file. If a character set is not specified,
then the data is assumed to be in the default character set for the database.
Note:
The settings of NLS environment variables on the client have no effect on the character set used for the database.
Related Topics
Parent topic: record_format_info Clause
15.3.7 PREPROCESSOR
To specify your own preprocessor program that you want to run for every data file, use
the record_format_info
PREPROCESSOR clause.
Default
None.
Purpose
Caution:
There are security implications to consider when using the
PREPROCESSOR clause.
If the file you want to load contains data records that are not in a format
supported by the ORACLE_LOADER access driver, then use the
PREPROCESSOR clause to specify a user-supplied preprocessor program that
will execute for every data file. Note that the program specification must be enclosed in a
shell script if it uses arguments (see the description of file_spec).
The preprocessor program converts the data to a record format supported by the access driver and then writes the converted record data to standard output (stdout), which the access driver reads as input.
Syntax
The syntax of the PREPROCESSOR clause is as follows:
directory_spec
Specifies the directory object containing the name of the preprocessor program
to execute for every data file. The user accessing the external table must have the
EXECUTE privilege for the directory object that is used. If
directory_spec is omitted, then the default directory specified for the
external table is used.
Caution:
For security reasons, to store preprocessor programs, Oracle strongly recommends that you use a separate directory. Do not use the default directory. Do not store any other files in the directory in which preprocessor programs are stored.
To maintain security, the preprocessor program must reside in a directory
object, so that access to it can be controlled . Your operating system administrator must
create a directory corresponding to the directory object, and and must verify that the
operating system Oracle user for the database has access to that directory. Database
administrators then must ensure that only approved users are granted permissions to the
directory object associated with the directory path. Although multiple database users can
have access to a directory object, only those with the EXECUTE privilege
can run a preprocessor in that directory. No existing database user with read-write
privileges to a directory object will be able to use the preprocessing feature. As a DBA,
you can prevent preprocessors from ever being used by never granting the
EXECUTE privilege to anyone for a directory object. Refer to Oracle Database SQL
Language Reference for information
about how to grant the EXECUTE privilege.
file_spec
The name of the preprocessor program. It is appended to the path name
associated with the directory object that is being used (either the
directory_spec or the default directory for the external table). The
file_spec cannot contain an absolute or relative directory path.
If the preprocessor program requires any arguments (for example,
gunzip -c), then you must specify the program name and its arguments in
an executable shell script (or on Microsoft Windows operating systems, in a batch
(.bat) file). Shell scripts and batch files have certain requirements, as
discussed in the following sections.
It is important to verify that the correct version of the preprocessor program is in the operating system directory.
The following is an example of specifying the PREPROCESSOR
clause without using a shell or batch file:
SQL> CREATE TABLE xtab (recno varchar2(2000))
2 ORGANIZATION EXTERNAL (
3 TYPE ORACLE_LOADER
4 DEFAULT DIRECTORY data_dir
5 ACCESS PARAMETERS (
6 RECORDS DELIMITED BY NEWLINE
7 PREPROCESSOR execdir:'zcat'
8 FIELDS (recno char(2000)))
9 LOCATION ('foo.dat.gz'))
10 REJECT LIMIT UNLIMITED;
Table created.
Using Shell Scripts With the PREPROCESSOR Clause on Linux Operating Systems
To use shell scripts on Linux, the following conditions must be true:
-
The shell script must reside in
directory_spec. -
The full path name must be specified for system commands such as
gunzip. -
The preprocessor shell script must have
EXECUTEpermissions. -
The data file listed in the external table
LOCATIONclause should be referred to by$1.
The following example shows how to specify a shell script on the PREPROCESSOR clause when creating an external table.
SQL> CREATE TABLE xtab (recno varchar2(2000))
2 ORGANIZATION EXTERNAL (
3 TYPE ORACLE_LOADER
4 DEFAULT DIRECTORY data_dir
5 ACCESS PARAMETERS (
6 RECORDS DELIMITED BY NEWLINE
7 PREPROCESSOR execdir:'uncompress.sh'
8 FIELDS (recno char(2000)))
9 LOCATION ('foo.dat.gz'))
10 REJECT LIMIT UNLIMITED;
Table created.Using Batch Files With The PREPROCESSOR Clause on Windows Operating Systems
To use shell scripts on Microsoft Windows, the following conditions must be true:
-
The batch file must reside in
directory_spec. -
The full path name must be specified for system commands such as
gunzip. -
The preprocessor batch file must have EXECUTE permissions.
-
The first line of the batch file should contain
@echo off. The reason for this requirement is that when the batch file is run, the default is to display the commands being executed, which has the unintended side-effect of the echoed commands being treated as input to the external table access driver. -
To represent the input from the location clause,
%1should be used. (Note that this differs from Unix and Linux-style shell scripts where the location clause is referenced by$1.) -
A full path should be specified to any executables in the batch file (
sed.exein the following example). Note also that the MKS Toolkit may not exist on all Microsoft Windows installations, so commands such assed.exemay not be available.The batch file used on Microsoft Windows must have either a
.bator.cmdextension. Failure to do so (for example, trying to specify the preprocessor script assed.sh) results in the following error:SQL> select * from foo ; select * from foo * ERROR at line 1: ORA-29913: error in executing ODCIEXTTABLEFETCH callout ORA-29400: data cartridge error KUP-04095: preprocessor command C:/Temp\sed.sh encountered error "CreateProcess Failure for Preprocessor: C:/Temp\sed.sh, errorcode: 193
The following is a simple example of using a batch file with the external table
PREPROCESSOR option on Windows. In this example a batch file uses the
stream editor (sed.exe) utility to perform a simple transformation of the
input data.
SQL> create table deptXT (deptno char(2),
2 dname char(14),
3 loc char(13)
4 )
5 organization external
6 (
7 type ORACLE_LOADER
8 default directory def_dir1
9 access parameters
10 (
11 records delimited by newline
12 badfile 'deptXT.bad'
13 logfile 'deptXT.log'
14 preprocessor exec_dir:'sed.bat'
15 fields terminated by ','
16 missing field values are null
17 )
18 location ('deptXT.dat')
19 )
20 reject limit unlimited ;
Table created.
select * from deptxt ;
Where deptxt.dat contains:
20,RESEARCH,DALLAS
30,SALES,CHICAGO
40,OPERATIONS,BOSTON
51,OPERATIONS,BOSTON
The preprocessor program sed.bat has the following
content:
@echo off
c:/mksnt/mksnt/sed.exe -e 's/BOSTON/CALIFORNIA/' %1
The PREPROCESSOR option passes the input data
(deptxt.dat) to sed.bat. If you then select from the
deptxt table, the results show that the LOC column in
the last two rows, which used to be BOSTON, is now
CALIFORNIA.
SQL> select * from deptxt ;
DE DNAME LOC
-- -------------- -------------
20 RESEARCH, DALLAS
30 SALES CHICAGO
40 OPERATIONS CALIFORNIA
51 OPERATIONS CALIFORNIA
4 rows selected.
Usage Notes for Parallel Processing with the PREPROCESSOR Clause
External tables treat each data file specified on the LOCATION
clause as a single granule. To make the best use of parallel processing with the
PREPROCESSOR clause, Oracle recommends that the data that you want to
load is split into multiple files (granules). Note that external tables limits the degree of
parallelism to the number of data files present. For example, if you specify a degree of
parallelism of 16, but have only 10 data files, then in effect the degree of parallelism is
10; this is because 10 child processes are busy, and 6 are idle. To process data more
efficiently, avoid idle child processes. If you do specify a degree of parallelism, then try
to ensure that the degree of parallelism you specify is no larger than the number of data
files, so that all child processes are kept busy. Refer to Oracle Database VLDB and
Partitioning Guide for more information
about granules of parallelism.
Also note that you cannot use the same preprocessor script that you use for file system
files to process object store data. If you want to use the preprocessor for object store
data, then you must write a preprocessor script that can access the object store data, and
modify the data. For example, on Linux or Unix systems, in this case, $1
represents a source such as https://www.yoururl.example.com/yourdata:
@echo off
#!/bin/sh/your_script_or_plsql_function_to_display_objectstore_contents($1) | sed -e 's/BOSTON/CALIFORNIA/'
With this syntax, the preprocessor obtains your data, and sends it to
stdout, and pipes it for the access driver to read.
Restrictions When Using the PREPROCESSOR Clause
-
The
PREPROCESSORclause is not available on databases that use the Oracle Database Vault feature. -
The
PREPROCESSORclause does not work in conjunction with theCOLUMNTRANSFORMSclause.
Related Topics
Parent topic: record_format_info Clause
15.3.8 PREPROCESSOR_TIMEOUT
To extend the timeout period for preprocessor programs, use the
record_format_info
PREPROCESSOR_TIMEOUT clause.
Default
None.
Purpose
If you encounter a timeout when running your preprocessor, and you think
that the preprocessor requires additional time to run, than you can specify a value
(in seconds) for PREPROCESSOR_TIMEOUT to wait for your preprocessor
to begin producing output to the access driver.
Syntax
The syntax of the PREPROCESSOR_TIMEOUT clause is as follows, where
seconds is a numeric value indicating
the number of seconds before a timeout is triggered:
PREPROCESSOR_TIMEOUT seconds
Example
The following is a scenario of how you can use the
PREPROCESSOR clause with the
PREPROCESSOR_TIMEOUT clause to extend the timeout limit for a
preprocessor:
Suppose you have a preprocessor whose purpose is to convert data from lowercase to uppercase:
#!/bin/sh
/bin/cat $1 | /bin/tr '[:lower:]''[:upper:]'
Next, suppose you have a department data file with the following content:
10,accounting,new yorK 20,research,dallas 30,sales,chicago 40,operations,boston
Then you create this data file as an external table:
SQL> create table deptXT (deptno char(2),
2 dname char(14),
3 loc char(13)
4 )
5 organization external
6 (
7 type ORACLE_LOADER
8 default directory def_dir1
9 access parameters
10 (
11 records delimited by newline
12 badfile 'deptXT.bad'
13 logfile 'deptXT.log'
14 preprocessor exec_dir:'tr.sh'
15 fields terminated by ','
16 missing field values are null
17 )
18 location ('deptxt.dat')
19 )
20 reject limit unlimited ;
Table created.
SQL>
SQL> set echo on
SQL> set feedback on
SQL> select * from deptXT ;
DE DNAME LOC
-- -------------- -------------
10 ACCOUNTING NEW YORK
20 RESEARCH DALLAS
30 SALES CHICAGO
40 OPERATIONS BOSTON
4 rows selected.
Note that the department name (DNAME) and location
(LOC) data are changed from lowercase to uppercase.
Suppose that as you add data to the department table, the script takes
longer to process, and you encounter timeout errors. To resolve this issue, you can
add PREPROCESSOR_TIMEOUT to the CREATE TABLE
statement. In the following example, PREPROCESSOR_TIMEOUT (in bold
font) is set to 300 seconds:
create table deptXT_1
(
deptno char(2),
dname char(14),
loc char(13)
)
organization external (
type oracle_loader
default directory DEF_DIR1
access parameters (
records delimited by newline
PREPROCESSOR DEF_DIR1:'tr.sh'
PREPROCESSOR_TIMEOUT 300
fields terminated by ','
missing field values are null
)
LOCATION
(
'deptxt.dat'
)
) PARALLEL REJECT LIMIT UNLIMITED;
Parent topic: record_format_info Clause
15.3.9 EXTERNAL VARIABLE DATA
To load dump files into the Oracle SQL Connector for HDFS that are
generated with the ORACLE_DATAPUMP access driver, use the EXTERNAL
VARIABLE DATA clause.
Default
None.
Purpose
When you specify the EXTERNAL VARIABLE DATA clause, the
ORACLE_LOADER access driver is used to load dump files that were
generated with the ORACLE_DATAPUMP access driver.
Note:
The EXTERNAL VARIABLE DATA clause is valid only for use with the
Oracle SQL Connector for Hadoop Distributed File System (HDFS). See Oracle Big Data
Connectors User's Guide for more information about the Oracle SQL Connector for
HDFS.
Syntax and Description
You can only use the following access parameters with the EXTERNAL
VARIABLE DATA clause:
- LOGFILE | NOLOGFILE
- READSIZE
- PREPROCESSOR
Note:
The parameter DISABLE_DIRECTORY_LINK_CHECK is desupported.Example
In the following example of using the EXTERNAL VARIABLE DATA
clause, the following scenario is true:
- The
deptxt1.dmpdump file was previously generated by theORACLE_DATAPUMPaccess driver. - The
tkexcatprogram specified by thePREPROCESSORparameter is a user-supplied program used to manipulate the input data.
CREATE TABLE deptxt1
(
deptno number(2),
dname varchar2(14),
loc varchar2(13)
)
ORGANIZATION EXTERNAL
(
TYPE ORACLE_LOADER
DEFAULT DIRECTORY dpump_dir
ACCESS PARAMETERS
(
EXTERNAL VARIABLE DATA
LOGFILE 'deptxt1.log'
READSIZE=10000
PREPROCESSOR tkexcat
)
LOCATION ('deptxt1.dmp')
)
REJECT LIMIT UNLIMITED
;
Related Topics
Parent topic: record_format_info Clause
15.3.10 LANGUAGE
The LANGUAGE clause allows you to specify a language name (for example, FRENCH), from which locale-sensitive information about the data can be derived.
The following are some examples of the type of information that can be derived from the language name:
-
Day and month names and their abbreviations
-
Symbols for equivalent expressions for A.M., P.M., A.D., and B.C.
-
Default sorting sequence for character data when the
ORDER BYSQL clause is specified -
Writing direction (right to left or left to right)
-
Affirmative and negative response strings (for example,
YESandNO)
See Also:
Oracle Database Globalization Support Guide for a listing of Oracle-supported languagesParent topic: record_format_info Clause
15.3.11 TERRITORY
The TERRITORY clause allows you to specify a territory name to further determine input data characteristics.
For example, in some countries a decimal point is used in numbers rather than a comma (for example, 531.298 instead of 531,298).
See Also:
Oracle Database Globalization Support Guide for a listing of Oracle-supported territoriesParent topic: record_format_info Clause
15.3.12 DATA IS...ENDIAN
The DATA IS...ENDIAN clause indicates the endianness of data whose
byte order may vary, depending on the platform that generated the data file.
Purpose
Indicates the endianness of data whose byte order may vary depending on the platform that generated the data file.
Usage Notes
Fields of the following types are affected by this clause:
INTEGERUNSIGNED INTEGERFLOATBINARY_FLOATDOUBLEBINARY_DOUBLEVARCHAR(numeric count only)VARRAW(numeric count only)- Any character data type in the UTF16 character set
- Any string specified by
RECORDS DELIMITED BY string, and in the UTF16 character set
Microsoft Windows-based platforms generate little-endian data.
Big-endian platforms include Oracle Solaris and IBM zSeries Based Linux. If the
DATA IS...ENDIAN clause is not specified, then the data is
assumed to have the same endianness as the platform where the access driver is
running. UTF-16 data files can have a mark at the beginning of the file indicating
the endianness of the data. If present, then this mark overrides the DATA
IS...ENDIAN clause.
Parent topic: record_format_info Clause
15.3.13 BYTEORDERMARK [CHECK | NOCHECK]
Use the record_format_info
BYTEORDERMARK clause to specify whether the data file should be checked for
the presence of a byte-order mark (BOM).
Default
CHECK
Syntax
BYTEORDERMARK [CHECK | NOCHECK]
Purpose
The BYTEORDERMARK clause is used to specify whether the data file
should be checked for the presence of a byte-order mark (BOM). This clause is
meaningful only when the character set is Unicode.
BYTEORDERMARK NOCHECK indicates that the data file should not be
checked for a BOM and that all the data in the data file should be read as data.
BYTEORDERMARK CHECK indicates that the data file should be checked
for a BOM. This is the default behavior for a data file in a Unicode character set.
Usage Notes
The following are examples of some possible scenarios:
-
If the data is specified as being little or big-endian, and
CHECKis specified, and it is determined that the specified endianness does not match the data file, then an error is returned. For example, suppose you specify the following:DATA IS LITTLE ENDIAN BYTEORDERMARK CHECK
If the BOM is checked in the Unicode data file, and the data is actually big-endian, then an error is returned because you specified little-endian.
-
If a BOM is not found, and no endianness is specified with the
DATA IS...ENDIANparameter, then the endianness of the platform is used. -
If
BYTE ORDER MARK NOCHECKis specified, and theDATA IS...ENDIANparameter specified an endianness, then that endian value is used. Otherwise, the endianness of the platform is used.
Related Topics
Parent topic: record_format_info Clause
15.3.14 STRING SIZES ARE IN
Use the record_format_info
STRING SIZES ARE IN clause to indicate whether the lengths specified for
character strings are in bytes or characters.
Default
None.
Syntax
STRING SIZES ARE IN [BYTES | CHARACTERS]
Purpose
The STRING SIZES ARE IN clause is used to indicate whether the
lengths specified for character strings are in bytes or characters. If this clause
is not specified, then the access driver uses the mode that the database uses.
Character types with embedded lengths (such as VARCHAR) are also
affected by this clause. If this clause is specified, then the embedded lengths are
a character count, not a byte count. Specifying STRING SIZES ARE IN
CHARACTERS is needed only when loading multibyte character sets, such
as UTF16.
Parent topic: record_format_info Clause
15.3.15 LOAD WHEN
Use the record_format_info
LOAD WHEN clause to identify the records that should be passed to the
database.
Default
Syntax
The syntax of the LOAD WHEN clause is as follows, where
condition_spec are condition
specifications:
LOAD WHEN condition_spec
Purpose
The LOAD WHEN condition_spec clause is used to
identify the records that should be passed to the database. The evaluation method
varies:
-
If the
condition_specreferences a field in the record, then the clause is evaluated only after all fields have been parsed from the record, but before anyNULLIForDEFAULTIFclauses have been evaluated. -
If the condition specification references only ranges (and no field names), then the clause is evaluated before the fields are parsed. This use case is helpful where the records in the file that you do not want to be loaded cannot be parsed into the current record definition without errors.
Example
The following is an examples of using LOAD WHEN:
LOAD WHEN (empid != BLANKS) LOAD WHEN ((dept_id = "SPORTING GOODS" OR dept_id = "SHOES") AND total_sales != 0)
Related Topics
Parent topic: record_format_info Clause
15.3.16 BADFILE | NOBADFILE
Use the record_format_info
BADFILE clause to name the file to which records are written when they
cannot be loaded because of errors.
Default
Create a bad file with default name. See Purpose for details.
Syntax
BADFILE name | NOBADFILE
Purpose
The BADFILE clause names the file to which records are written when they cannot be loaded because of errors. For example, a record would be written to the bad file if a field in the data file could not be converted to the data type of a column in the external table. The purpose of the bad file is to have one file where all rejected data can be examined and fixed so that it can be loaded. If you do not intend to fix the data, then you can use the NOBADFILE option to prevent creation of a bad file, even if there are bad records.
If you specify the BADFILE clause, then you must supply either a
directory object name or file name, or both. See [directory object name:]
[filename].
If you specify NOBADFILE, then a bad file is not created.
If neither BADFILE nor NOBADFILE is specified,
then the default is to create a bad file if at least one record is rejected. The
name of the file is the table name followed by
_%p, where
%p is replaced with the PID of the process
creating the file. The file is given an extension of .bad. If the
table name contains any characters that could be interpreted as directory navigation
(for example, %, /, or *), then those characters are not included in the output file
name.
Records that fail the LOAD WHEN clause are not written to the bad
file, but instead are written to the discard file. Also, any errors in using a
record from an external table (such as a constraint violation when using
INSERT INTO...AS SELECT... from an external table) will not
cause the record to be written to the bad file.
Related Topics
Parent topic: record_format_info Clause
15.3.17 DISCARDFILE | NODISCARDFILE
Use the record_format_info
DISCARDFILE clause to name the file to which records are written that fail
the condition in the LOAD WHEN clause.
Default
Create a discard file with default name. See Purpose for details.
Syntax
DISCARDFILE name | NODISCARDFILE
Purpose
The DISCARDFILE clause names the file to which records are written
that fail the condition in the LOAD WHEN clause. The discard file
is created when the first record for discard is encountered. If the same external
table is accessed multiple times, then the discard file is rewritten each time. If
there is no need to save the discarded records in a separate file, then use
NODISCARDFILE.
If you specify DISCARDFILE, then you must supply either a directory
object name or file name, or both. See [directory object name:]
[filename].
If you specify NODISCARDFILE, then a discard file is not created.
If neither DISCARDFILE nor NODISCARDFILE is
specified, then the default is to create a discard file if at least one record fails
the LOAD WHEN clause. The name of the file is the table name
followed by _%p, where
%p is replaced with the PID of the
process creating the file. The file is given an extension of .dcs.
If the table name contains any characters that could be interpreted as directory
navigation (for example, %, /, or
*), then those characters are not included in the file
name.
Related Topics
Parent topic: record_format_info Clause
15.3.18 LOGFILE | NOLOGFILE
Use the record_format_info
LOGFILE clause to name the file that contains messages generated by the
external tables utility while it was accessing data in the data file.
Default
Use an existing file, or create a log file with default name. See Purpose for details.
Syntax
LOGFILE name | NOLOGFILE
Purpose
The LOGFILE clause names the file that contains messages generated by the external tables utility while it was accessing data in the data file. If a log file already exists by the same name, then the access driver reopens that log file and appends new log information to the end. This is different from bad files and discard files, which overwrite any existing file. The NOLOGFILE clause is used to prevent creation of a log file.
If you specify LOGFILE, then you must supply either a directory
object name or file name, or both. See [directory object name:]
[filename].
If you specify NOLOGFILE, then a log file is not
created.
If neither LOGFILE nor NOLOGFILE is specified,
then the default is to create a log file. The name of the file is the table name
followed by _%p, where
%p is replaced with the PID of the
process creating the file. The file is given an extension of .log.
If the table name contains any characters that could be interpreted as directory
navigation (for example, %, /, or
*), then those characters are not included in the file
name.
Related Topics
Parent topic: record_format_info Clause
15.3.19 SKIP
Use the record_format_info
SKIP clause to skip the specified number of records in the data file before
loading.
Default
None (0)
Syntax
The syntax is as follows, where num is the number
of records to skip (Default 0).
SKIP = num
Purpose
The SKIP clause skips the specified number of records in the data
file before loading. You can specify this clause only when nonparallel access is
being made to the data. If there is more than one data file in the same location for
the same table, then the SKIP clause causes the
ORACLE_LOADER driver to skip the specified number of records in
the first data file only.
Parent topic: record_format_info Clause
15.3.20 FIELD NAMES
Use the record_format_info
FIELD NAMES clause to specify field order in data files.
Default
NONE
Syntax
FIELD NAMES {FIRST FILE | FIRST IGNORE | ALL FILES | ALL IGNORE| NONE}
The FIELD NAMES options are:
FIRST FILE— Indicates that the first data file contains a list of field names for the data in the first record. This list uses the same delimiter as the data in the data file. This record is read and used to set up the mapping between the fields in the data file and the columns in the target table. This record is skipped when the data is processed. This can be useful if the order of the fields in the data file is different from the order of the columns in the table, or if the number of fields in the data file is different from the number of columns in the target table.FIRST IGNORE— Indicates that the first data file contains a list of field names for the data in the first record, but that the information should be ignored. This record is skipped when the data is processed, but is not used for setting up the fields.ALL FILES— Indicates that all data files contain the list of column names for the data in the first record. The first record is skipped in each data file when the data is processed. It is assumed that the list is the same in each data file. If that is not the case, then the load terminates when a mismatch is found on a data file.ALL IGNORE— Indicates that all data files contain a list of field names for the data in the first record, but that the information should be ignored. This record is skipped when the data is processed in every data file, but it is not used for setting up the fields.NONE— Indicates that the data file contains normal data in the first record. This is the default option.
Purpose
Use the FIELD NAMES clause to specify field order of data files
using one of the options
Parent topic: record_format_info Clause
15.3.21 READSIZE
The READSIZE parameter specifies the size of the read buffer used to process records.
The size of the read buffer must be at least as big as the largest input record the access driver will encounter. The size is specified with an integer indicating the number of bytes. The default value is 512 KB (524288 bytes). You must specify a larger value if any of the records in the data file are larger than 512 KB. There is no limit on how large READSIZE can be, but practically, it is limited by the largest amount of memory that can be allocated by the access driver.
The amount of memory available for allocation is another limit because additional buffers might be allocated. The additional buffer is used to correctly complete the processing of any records that may have been split (either in the data; at the delimiter; or if multi character/byte delimiters are used, in the delimiter itself).
Parent topic: record_format_info Clause
15.3.22 DATE_CACHE
By default, the date cache feature is enabled (for 1000 elements). To completely disable the date cache feature, set it to 0.
DATE_CACHE specifies the date cache size (in entries). For example, DATE_CACHE=5000 specifies that each date cache created can contain a maximum of 5000 unique date entries. Every table has its own date cache, if one is needed. A date cache is created only if at least one date or timestamp value is loaded that requires data type conversion in order to be stored in the table.
The date cache feature is enabled by default. The default date cache size is 1000 elements. If the default size is used and the number of unique input values loaded exceeds 1000, then the date cache feature is automatically disabled for that table. However, if you override the default and specify a nonzero date cache size and that size is exceeded, then the cache is not disabled.
You can use the date cache statistics (entries, hits, and misses) contained in the log file to tune the size of the cache for future similar loads.
See Also:
Parent topic: record_format_info Clause
15.3.23 string
A string is a quoted series of characters or hexadecimal digits.
Purpose
If it is a series of characters, then those characters will be converted into the character set of the data file. If it is a series of hexadecimal digits, then there must be an even number of hexadecimal digits. The hexadecimal digits are converted into their binary translation, and the translation is treated as a character string in the character set of the data file. This means that once the hexadecimal digits have been converted into their binary translation, there is no other character set translation that occurs.
Parent topic: record_format_info Clause
15.3.24 condition_spec
The condition_spec specifies one or more conditions that are joined
by Boolean operators.
This clause is an expression that evaluates to either true or false. The conditions
and Boolean operators are evaluated from left to right. (Boolean operators are
applied after the conditions are evaluated.) To override the default order of
evaluation of Boolean operators, you can use parentheses. The evaluation of
condition_spec clauses slows record processing, so these
clauses should be used sparingly. The syntax for condition_spec is
as follows:
Note that if the condition specification contains any conditions that reference field
names, then the condition specifications are evaluated only after all fields have
been found in the record, and after blank trimming has been done. It is not useful
to compare a field to BLANKS if blanks have been trimmed from the
field.
The following are some examples of using condition_spec:
empid = BLANKS OR last_name = BLANKS
(dept_id = SPORTING GOODS OR dept_id = SHOES) AND total_sales != 0
See Also:
Parent topic: record_format_info Clause
15.3.25 [directory object name:] [filename]
The [directory object name:]
[filename] clause is used to specify the name of an
output file (BADFILE, DISCARDFILE, or
LOGFILE).
Syntax
[directory object name:] [filename]
directory object name: The alias for the operating system directory on the database server for reading and writing files.filename: The name of the file that you want to create in the directory object.
To help make file names unique in parallel loads, the access driver does some symbol substitution. The symbol substitutions supported for the Linux, Unix, and Microsoft Windows operating systems are as follows (other platforms can have different symbols):
-
%pis replaced by the process ID of the current process.For example, if the process ID of the access driver is
12345, then a filename specified asexttab_%p.logbecomesexttab_12345.log. -
%ais replaced by the agent number of the current process. The agent number is the unique number assigned to each parallel process accessing the external table. This number is padded to the left with zeros to fill three characters.For example, if the third parallel agent is creating a file and you specify
bad_data_%a.badas the file name, then the agent creates a file namedbad_data_003.bad. -
%%is replaced by%. If there is a need to have a percent sign in the file name, then this symbol substitution is used.If the
%character is encountered followed by anything other than one of the preceding characters, then an error is returned.
Purpose
Specifies the name of an output file (BADFILE,
DISCARDFILE, or LOGFILE).
Usage Notes
To use this clause, you must supply either a directory object name or
file name, or both. The directory object name is the name of a directory object
where the user accessing the external table has privileges to write. If the
directory object name is omitted, then the value specified for the
DEFAULT
DIRECTORY clause in the CREATE
TABLE...ORGANIZATION
EXTERNAL statement is used.
If %p or %a is not used to create
unique file names for output files, and an external table is being accessed in
parallel, then it is possible that output files can be corrupted, or that agents may
be unable to write to the files.
If you do not specify BADFILE (or
DISCARDFILE or LOGFILE), then the
SQL_LOADER access driver uses the name of the table, followed
by _%p as the name of the file. If no extension is supplied for the
file, then a default extension is used. For bad files, the default extension is
.bad; for discard files, the default is .dsc;
and for log files, the default is .log.
Parent topic: record_format_info Clause
15.3.26 condition
To compare a range of bytes or a field from the record against a constant
string, you can use the ORACLE_LOADER
condition clause
Purpose
Compares a range of bytes or a field from the record against a constant string. The source of the comparison can be either a field in the record, or a byte range in the record. The comparison is done on a byte-by-byte basis. If a string is specified as the target of the comparison, then it is translated into the character set of the data file. If the field has a noncharacter data type, then no data type conversion is performed on either the field value, or the string.
- range start : range end
The(range start:range end)clause ofconditiondescribes a range of bytes or characters in the record, which you want to use for a condition.
Parent topic: record_format_info Clause
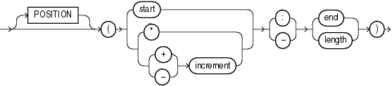
15.3.26.1 range start : range end
The (range start:range
end) clause of condition describes a range of bytes
or characters in the record, which you want to use for a condition.
Purpose
Describes a range of bytes or characters in the record that you want to want to use to create a condition.
Syntax
(range start:range end)
range start: The starting byte or character offsets into the record.range end: The ending byte or character offsets into the record.
Usage Notes
The value that you enter for the STRING SIZES ARE
clause determines whether the range refers to bytes, or refers to characters.
The value that you provide for range start must
be less than or equal to the value for range
end. Finding ranges of characters is faster for data in
fixed-width character sets than it is for data in varying-width character sets. If
the range refers to parts of the record that do not exist, then the record is
rejected when an attempt is made to reference the range. The range
start:range end clause must be
enclosed in parentheses. For example: (10:13).
Note:
In your data file, Oracle recommends that you do not mix binary data
(including data types with binary counts, such as VARCHAR) and
character data that is in a varying-width character set, or more than one byte
wide. When binary and character data with these characteristics are mixed, it is
possible that the access driver may not find the correct start for the field,
because it treats the binary data as character data when trying to find the
start.
The following is an example of using condition with a range
clause:
LOAD WHEN empid != BLANKS
LOAD WHEN (10:13) = 0x'00000830'
LOAD WHEN PRODUCT_COUNT = "MISSING"Parent topic: condition
15.3.27 IO_OPTIONS clause
To specify whether the operating system uses direct input/output to read data files
from disk, or uses a cache for reading the data files, use the
ORACLE_LOADER
records clause IO_OPTIONS.
Default
If not otherwise specified, then the default IO_OPTIONS setting is
DIRECTIO.
Purpose
Enables you to specify the input and output (I/O) options that the operating system
uses for reading the data files, either by reading files directly from storage, or
by reading data files from cache. The only options available for specification are
DIRECTIO (the default), and NODIRECTIO.
Syntax
io_options (directio|nodirectio)
Usage Notes
When set to DIRECTIO, an attempt is made to open the
data file and read it directly from storage. If successful, then the operating
system and NFS server (if the file is on an NFS server) do not cache the data read
from the file. Accessing data without cacheing it can improve the read performance
for the data file, especially if the file is large. If direct I/O is not supported
for the data file being read, then the file is opened and read, but the
DIRECTIO option is ignored.
If the IO_OPTIONS clause is specified with the
NODIRECTIO option, then direct I/O is not used to read the data
files, and instead Oracle Database reads files from the operating system cache.
If the IO_OPTIONS clause is not specified at all, then
the default DIRECTIO option is used.
The following is an example of specifying that the operating system should use direct input/output writes to storage:
(
records delimited by newline io_options (directio)
logfile
.
.
. )
Related Topics
Parent topic: record_format_info Clause
15.3.28 DNFS_DISABLE | DNFS_ENABLE
To disable and enable use of the Direct NFS Client on input data files during an
external tables operation, use DNFS_DISABLE or
DNFS_ENABLE.
Purpose
Use these parameters to enable and disable use of the Direct NFS Client on input data files during an external tables operation.
Usage Notes
The Direct NFS Client is an API that can be implemented by file servers to enable improved performance when Oracle Database accesses files on those servers.
By default, external tables use the Direct NFS Client interfaces when
they read data files over 1 gigabyte in size. For smaller files, the operating
system I/O interfaces are used. To use the Direct NFS Client on all input data
files, specify DNFS_ENABLE.
To disable use of the Direct NFS Client for all data files, specify
DNFS_DISABLE.
Parent topic: record_format_info Clause
15.3.29 DNFS_READBUFFERS
The DNFS_READBUFFERS parameter of the record_format_info clause is used to control the number of read buffers used by the Direct NFS Client.
Default
The default value for DNFS_READBUFFERS is 4.
Purpose
Controls the number of read buffers used by the Direct NFS Client.
The Direct NFS Client is an API that can be implemented by file servers to allow improved performance when Oracle accesses files on those servers.
Usage Notes
It is possible that using larger values for DNFS_READBUFFERS can
compensate for inconsistent input and output from the Direct NFS Client file server.
However, using larger values can result in increased memory usage.
Parent topic: record_format_info Clause
15.4 field_definitions Clause
Learn how to name the fields in the data file and specify how to find them
in records using the field_definitions clause.
- Overview of field_definitions Clause
In thefield_definitionsclause, you use theFIELDSparameter to name the fields in the data file, and specify how to find fields in records. - delim_spec
Thedelim_specclause is used to find the end (and ifENCLOSED BYis specified, the start) of a field. - trim_spec
Thetrim_specclause is used to specify that spaces should be trimmed from the beginning of a text field, the end of a text field, or both. - MISSING FIELD VALUES ARE NULL
The effect ofMISSING FIELD VALUES ARE NULLdepends on whetherPOSITIONis used to explicitly state field positions. - field_list
Thefield_definitionsfield_listclause identifies the fields in the data file and their data types. - pos_spec Clause
TheORACLE_LOADERpos_specclause indicates the position of the column within the record. - datatype_spec Clause
TheORACLE_LOADERdatatype_specclause describes the data type of a field in the data file if the data type is different than the default. - init_spec Clause
Theinit_specclause for external tables is used to specify when a field should be set toNULL, or when it should be set to a default value. - LLS Clause
If a field in a data file is a LOB location Specifier (LLS) field, then you can indicate this by using the LLS clause.
Parent topic: The ORACLE_LOADER Access Driver
15.4.1 Overview of field_definitions Clause
In the field_definitions clause, you use the
FIELDS parameter to name the fields in the data file, and specify how
to find fields in records.
Default
If the field_definitions clause is omitted, then the
following is assumed:
-
The fields are delimited by ','
-
The fields are of data type
CHAR -
The maximum length of the field is 255
-
The order of the fields in the data file is the order in which the fields were defined in the external table
-
No blanks are trimmed from the field
Syntax
The syntax for the field_definitions clause is as
follows:
Example 15-1 External Table Created Without Access Parameters (Default)
In this example, an external table is created without any access
parameters. It is followed by a sample data file, info.dat, that
can be used to load the table.
CREATE TABLE emp_load (first_name CHAR(15), last_name CHAR(20), year_of_birth CHAR(4))
ORGANIZATION EXTERNAL (TYPE ORACLE_LOADER DEFAULT DIRECTORY ext_tab_dir LOCATION ('info.dat'));
Alvin,Tolliver,1976
Kenneth,Baer,1963
Parameters to Specify Fields with field_definition
The sections that follow provide an overview of the field definitions that you can
specify with the field_definition clause, and some examples of how
to use these clauses.
IGNORE_CHARS_AFTER_EOR
This optional parameter specifies that if extraneous characters are found after the last end-of-record, but before the end of the file that do not satisfy the record definition, then they are ignored.
Error messages are written to the external tables log file if all four of the following conditions apply:
- The
IGNORE_CHARS_AFTER_EORparameter is set, or the field allows free formatting. (Free formatting means either that the field is variable length, or the field is specified by a delimiter or enclosure characters, and is also variable length). - Characters remain after the last end-of-record in the file.
- The access parameter
MISSING FIELD VALUES ARE NULLis not set. - The field does not have absolute positioning.
The error messages that are written to the external tables log file are as follows:
KUP-04021: field formatting error for field Col1
KUP-04023: field start is after end of record
KUP-04101: record 2 rejected in file /home/oracle/datafiles/example.dat
CSV
To direct external tables to access the data files as
comma-separated-values format files, use the FIELDS CSV clause. To
use this clause, the file should be a stream record format file with the normal
carriage return string (for example, \n on Unix or Linux operating
systems, and either \n or \r\n on Microsoft
Windows operating systems). Record terminators can be included (embedded) in data
values. The syntax for the FIELDS CSV clause is as follows:
FIELDS CSV [WITH EMBEDDED | WITHOUT EMBEDDED] [TERMINATED BY ','] [OPTIONALLY ENCLOSED BY '"']
When using the FIELDS CSV clause, note the
following:
- The default is to not use the
FIELDS CSVclause. - The
WITH EMBEDDEDandWITHOUT EMBEDDEDoptions specify whether record terminators are included (embedded) in the data. TheWITH EMBEDDEDoption is the default. - If
WITH EMBEDDEDis used, then embedded record terminators must be enclosed, and intra-datafile parallelism is disabled for external table loads. - The
TERMINATED BY ','andOPTIONALLY ENCLOSED BY '"'options are the defaults. They do not have to be specified. You can override them with different termination and enclosure characters. - When the
CSVclause is used, a delimiter specification is not allowed at the field level and only delimitable data types are allowed. Delimitable data types includeCHAR, datetime, interval, and numericEXTERNAL. - The
TERMINATED BYandENCLOSED BYclauses cannot be used at the field level when the CSV clause is specified. - When the
CSVclause is specified, the default trimming behavior isLDRTRIM. You can override this default by specifying one of the other external table trim options (NOTRIM,LRTRIM,LTRIM, orRTRIM). - The
CSVclause must be specified after theIGNORE_CHARS_AFTER_EORclause, and before thedelim_specclause.
delim_spec Clause
The delim_spec clause is used to identify how all fields
are terminated in the record. The delim_spec specified for all
fields can be overridden for a particular field as part of the
field_list clause. For a full description of the syntax, refer
to the delim_spec clause description.
trim_spec Clause
The trim_spec clause specifies the type of whitespace
trimming to be performed by default on all character fields. The
trim_spec clause specified for all fields can be overridden for
individual fields by specifying a trim_spec clause for those
fields. For a full description of the syntax, refer to the
trim_spec clause description.
ALL FIELDS OVERRIDE
The ALL FIELDS OVERRIDE clause specifies to the access
driver that all fields are present, and that they are in the same order as the
columns in the external table. You only need to specify fields that have a special
definition. This clause must be specified after the optional
trim_spec clause, and before the optional MISSING FIELD
VALUES ARE NULL clause.
The following is a sample use of the ALL FIELDS
OVERRIDE clause. The only field in this example that requires
specification is HIREDATE, which requires data format mask. All the
other fields take default values.
FIELDS TERMINATED BY "," OPTIONALLY ENCLOSED BY '"' LDRTRIM
ALL FIELDS OVERRIDE
REJECT ROWS WITH ALL NULL FIELDS
(
HIREDATE CHAR(20) DATE_FORMAT DATE MASK "DD-Month-YYYY"
)
MISSING FIELD VALUES ARE NULL
MISSING FIELD VALUES ARE NULL sets to null any fields
for which position is not explicitly stated and there is not enough data to fill
them. For a full description the description for MISSING FIELD VALUES ARE
NULL.
REJECT ROWS WITH ALL NULL FIELDS
REJECT ROWS WITH ALL NULL FIELDS indicates that a row
will not be loaded into the external table if all referenced fields in the row are
null. If this parameter is not specified, then the default value is to accept rows
with all null fields. The setting of this parameter is written to the log file
either as "reject rows with all null fields" or as "rows with all null fields are
accepted."
DATE_FORMAT
The DATE_FORMAT clause enables you to specify a
datetime format mask once at the fields level, and then have that format apply to
all fields of that type that do not have their own mask specified. The datetime
format mask must be specified after the optional REJECT ROWS WITH ALL NULL
FIELDS clause, and before the fields_list clause.
The DATE_FORMAT can be specified for the following
datetime types:
DATETIMETIMEWITH TIME ZONETIMESTAMPTIMESTAMP WITH TIME ZONE
The following example shows a sample use of the
DATE_FORMAT clause that applies a date mask of
DD-Month-YYYY to any DATE type fields:
FIELDS TERMINATED BY "," OPTIONALLY ENCLOSED BY '"' LDRTRIM
REJECT ROWS WITH ALL NULL FIELDS
DATE_FORMAT DATE MASK "DD-Month-YYYY"
(
EMPNO,
ENAME,
JOB,
MGR,
HIREDATE CHAR(20),
SAL,
COMM,
DEPTNO,
PROJNO,
ENTRYDATE CHAR(20)
)
NULLIF | NO NULLIF
The NULLIF clause applies to all character fields (for
example, CHAR, VARCHAR, VARCHARC,
external NUMBER, and datetime).
The syntax is as follows:
NULLIF {=|!=}{"char_string"|x'hex_string'|BLANKS}
If there is a match using the equal or not equal specification for a
field, then the field is set to NULL for that row.
The char_string and hex_string must be
enclosed in single- or double-quotation marks.
If a NULLIF specification is specified at the field
level, then it overrides this NULLIF clause.
If there is a field to which you do not want the NULLIF
clause to apply, then you can specify NO NULLIF at the field
level.
The NULLIF clause must be specified after the optional
REJECT ROWS WITH ALL NULL FIELDS clause and before the
fields_list clause.
The following is an example of using the NULLIF clause
in which you specify a field to which you do not want the NULLIF
clause to apply. The MGR field is set to NO
NULLIF, which means that the NULLIF="NONE" clause does not
apply to that field.
FIELDS TERMINATED BY "," OPTIONALLY ENCLOSED BY '"' LDRTRIM
REJECT ROWS WITH ALL NULL FIELDS
NULLIF = "NONE"
(
EMPNO,
ENAME,
JOB,
MGR
)
field_list Clause
The field_list clause identifies the fields in the data
file and their data types. For a full description of the syntax, see the description
of the field_list clause.
Parent topic: field_definitions Clause
15.4.2 delim_spec
The delim_spec clause is used to find the end (and if
ENCLOSED BY is specified, the start) of a field.
Usage Notes
If you specify ENCLOSED BY, then the
ORACLE_LOADER access driver starts at the current position in
the record, and skips over all whitespace looking for the first delimiter. All
whitespace between the current position and the first delimiter is ignored. Next,
the access driver looks for the second enclosure delimiter (or looks for the first
one again if a second one is not specified). Everything between those two delimiters
is considered part of the field.
If TERMINATED BY string
is specified with the ENCLOSED BY clause, then the terminator
string must immediately follow the second enclosure delimiter. Any whitespace
between the second enclosure delimiter and the terminating delimiter is skipped. If
anything other than whitespace is found between the two delimiters, then the row is
rejected for being incorrectly formatted.
If TERMINATED BY is specified without the
ENCLOSED BY clause, then everything between the current
position in the record and the next occurrence of the termination string is
considered part of the field.
If OPTIONALLY is specified, then TERMINATED
BY must also be specified. The OPTIONALLY parameter
means the ENCLOSED BY delimiters can either both be present or both
be absent. The terminating delimiter must be present, regardless of whether the
ENCLOSED BY delimiters are present. If
OPTIONALLY is specified, then the access driver skips over all
whitespace, looking for the first non-blank character. After the first non-blank
character is found, the access driver checks to see if the current position contains
the first enclosure delimiter. If it does, then the access driver finds the second
enclosure string. Everything between the first and second enclosure delimiters is
considered part of the field. The terminating delimiter must immediately follow the
second enclosure delimiter (with optional whitespace allowed between the second
enclosure delimiter and the terminating delimiter). If the first enclosure string is
not found at the first non-blank character, then the access driver looks for the
terminating delimiter. In this case, leading blanks are trimmed.
After the delimiters have been found, the current position in the record
is set to the spot after the last delimiter for the field. If TERMINATED BY
WHITESPACE was specified, then the current position in the record is
set to after all whitespace following the field.
To find out more about the access driver's default trimming behavior, refer to
"Trimming Whitespace." You can override this behavior by using with
LTRIM and RTRIM.
A missing terminator for the last field in the record is not an error. The access driver proceeds as if the terminator was found. It is an error if the second enclosure delimiter is missing.
The string used for the second enclosure can be included in the data field by including the second enclosure twice. For example, if a field is enclosed by single quotation marks, then it could contain a single quotation mark by specifying two single quotation marks in a row, as shown in the word don't in the following example:
'I don''t like green eggs and ham'
There is no way to quote a terminator string in the field data without using enclosing delimiters. Because the field parser does not look for the terminating delimiter until after it has found the enclosing delimiters, the field can contain the terminating delimiter.
In general, specifying single characters for the strings is faster than multiple characters. Also, searching data in fixed-width character sets is usually faster than searching data in varying-width character sets.
Note:
The use of the backslash character (\) within
strings is not supported in external tables.
- Example: External Table with Terminating Delimiters
- Example: External Table with Enclosure and Terminator Delimiters
- Example: External Table with Optional Enclosure Delimiters
Related Topics
Parent topic: field_definitions Clause
15.4.2.1 Example: External Table with Terminating Delimiters
The following is an example of an external table that uses terminating delimiters. It is followed by a sample of the data file that can be used to load it.
CREATE TABLE emp_load (first_name CHAR(15), last_name CHAR(20), year_of_birth CHAR(4))
ORGANIZATION EXTERNAL (TYPE ORACLE_LOADER DEFAULT DIRECTORY ext_tab_dir
ACCESS PARAMETERS (FIELDS TERMINATED BY WHITESPACE)
LOCATION ('info.dat'));
Alvin Tolliver 1976
Kenneth Baer 1963
Mary Dube 1973Parent topic: delim_spec
15.4.2.2 Example: External Table with Enclosure and Terminator Delimiters
The following is an example of an external table that uses both enclosure and terminator delimiters. Remember that all whitespace between a terminating string and the first enclosure string is ignored, as is all whitespace between a second enclosing delimiter and the terminator. The example is followed by a sample of the data file that can be used to load it.
CREATE TABLE emp_load (first_name CHAR(15), last_name CHAR(20), year_of_birth CHAR(4))
ORGANIZATION EXTERNAL (TYPE ORACLE_LOADER DEFAULT DIRECTORY ext_tab_dir
ACCESS PARAMETERS (FIELDS TERMINATED BY "," ENCLOSED BY "(" AND ")")
LOCATION ('info.dat'));
(Alvin) , (Tolliver),(1976)
(Kenneth), (Baer) ,(1963)
(Mary),(Dube) , (1973)Parent topic: delim_spec
15.4.2.3 Example: External Table with Optional Enclosure Delimiters
The following is an example of an external table that uses optional enclosure delimiters. Note that LRTRIM is used to trim leading and trailing blanks from fields. The example is followed by a sample of the data file that can be used to load it.
CREATE TABLE emp_load (first_name CHAR(15), last_name CHAR(20), year_of_birth CHAR(4))
ORGANIZATION EXTERNAL (TYPE ORACLE_LOADER DEFAULT DIRECTORY ext_tab_dir
ACCESS PARAMETERS (FIELDS TERMINATED BY ','
OPTIONALLY ENCLOSED BY '(' and ')'
LRTRIM)
LOCATION ('info.dat'));
Alvin , Tolliver , 1976
(Kenneth), (Baer), (1963)
( Mary ), Dube , (1973)Parent topic: delim_spec
15.4.3 trim_spec
The trim_spec clause is used to specify that spaces should be trimmed
from the beginning of a text field, the end of a text field, or both.
Description
Directs the ORACLE_LOADER access driver to trim spaces from the beginning
of a text field, the end of a text field, or both. Spaces include blanks and other
non-printing characters, such as tabs, line feeds, and carriage returns.
Default
The default is LDRTRIM. Specifying NOTRIM
yields the fastest performance.
Options
NOTRIMIndicates that you want no characters trimmed from the field.LRTRIMIndicates that you want both leading and trailing spaces trimmed.LTRIMIndicates that you want leading spaces trimmed.RTRIMIndicates that you want trailing spaces trimmed.LDRTRIMProvides compatibility with SQL*Loader trim features. It is the same asNOTRIMexcept in the following cases:- If the field is not a delimited field, then spaces will be trimmed from the right.
- If the field is a delimited field with
OPTIONALLY ENCLOSED BYspecified, and the optional enclosures are missing for a particular instance, then spaces are trimmed from the left.
Usage Notes
The trim_spec clause can be specified before the field list
to set the default trimming for all fields. If trim_spec is omitted before
the field list, then LDRTRIM is the default trim setting. The default
trimming can be overridden for an individual field as part of the
datatype_spec.
If trimming is specified for a field that is all spaces, then the field will
be set to NULL.
In the following example, all data is fixed-length; however, the character data will not be loaded with leading spaces. The example is followed by a sample of the data file that can be used to load it.
CREATE TABLE emp_load (first_name CHAR(15), last_name CHAR(20),
year_of_birth CHAR(4))
ORGANIZATION EXTERNAL (TYPE ORACLE_LOADER DEFAULT DIRECTORY ext_tab_dir
ACCESS PARAMETERS (FIELDS LTRIM)
LOCATION ('info.dat'));
Alvin, Tolliver,1976
Kenneth, Baer, 1963
Mary, Dube, 1973
Parent topic: field_definitions Clause
15.4.4 MISSING FIELD VALUES ARE NULL
The effect of MISSING FIELD VALUES ARE NULL depends on whether POSITION is used to explicitly state field positions.
For example:
-
The default behavior is that if field position is not explicitly stated and there is not enough data in a record for all fields, then the record is rejected. You can override this behavior by using
MISSING FIELD VALUES ARE NULLto define as NULL any fields for which there is no data available. -
If field position is explicitly stated, then fields for which there are no values are always defined as NULL, regardless of whether
MISSING FIELD VALUES ARE NULLis used.
In the following example, the second record is stored with a NULL set for the year_of_birth column, even though the data for the year of birth is missing from the data file. If the MISSING FIELD VALUES ARE NULL clause were omitted from the access parameters, then the second row would be rejected because it did not have a value for the year_of_birth column. The example is followed by a sample of the data file that can be used to load it.
CREATE TABLE emp_load (first_name CHAR(15), last_name CHAR(20), year_of_birth INT)
ORGANIZATION EXTERNAL (TYPE ORACLE_LOADER DEFAULT DIRECTORY ext_tab_dir
ACCESS PARAMETERS (FIELDS TERMINATED BY ","
MISSING FIELD VALUES ARE NULL)
LOCATION ('info.dat'));
Alvin,Tolliver,1976
Baer,Kenneth
Mary,Dube,1973Parent topic: field_definitions Clause
15.4.5 field_list
The field_definitions
field_list clause identifies the fields in the data file and their data
types.
Syntax
The syntax for the field_list clause is as follows:
The field list clauses are as follows:
-
field_name: A string identifying the name of a field in the data file. If the string is not within quotation marks, then the name is uppercased when matching field names with column names in the external table.
If
field_namematches the name of a column in the external table that is referenced in the query, then the field value is used for the value of that external table column. If the name does not match any referenced name in the external table, then the field is not loaded but can be used for clause evaluation (for exampleWHENorNULLIF). - pos_spec: Indicates the position of the column within the record. For a full description of the syntax, see pos_spec Clause.
- datatype_spec: Indicates the data type of the field. If
datatype_specis omitted, then the access driver assumes the data type isCHAR(255). For a full description of the syntax, see datatype_spec Clause. - init_spec: Indicates when a field is
NULLor has a default value. For a full description of the syntax, see init_spec Clause. - LLS: When
LLSis specified for a field,ORACLE_LOADERdoes not load the value of the field into the corresponding column. Instead, it use the information in the value to determine where to find the value of the field. See LLS Clause.
Purpose
The field_list clause identifies the fields in the data file
and their data types. Evaluation criteria for the field_list clause are as
follows:
-
If no data type is specified for a field, then it is assumed to be
CHAR(1)for a nondelimited field, andCHAR(255)for a delimited field. -
If no field list is specified, then the fields in the data file are assumed to be in the same order as the fields in the external table. The data type for all fields is
CHAR(255)unless the column in the database isCHARorVARCHAR. If the column in the database isCHARorVARCHAR, then the data type for the field is stillCHARbut the length is either 255 or the length of the column, whichever is greater. -
If no field list is specified and no
delim_specclause is specified, then the fields in the data file are assumed to be in the same order as fields in the external table. All fields are assumed to beCHAR(255)and terminated by a comma.
Example
This example shows the definition for an external table with no
field_list and a delim_spec. It is followed by a sample
of the data file that can be used to load it.
CREATE TABLE emp_load (first_name CHAR(15), last_name CHAR(20), year_of_birth INT)
ORGANIZATION EXTERNAL (TYPE ORACLE_LOADER DEFAULT DIRECTORY ext_tab_dir
ACCESS PARAMETERS (FIELDS TERMINATED BY "|")
LOCATION ('info.dat'));
Alvin|Tolliver|1976
Kenneth|Baer|1963
Mary|Dube|1973
Parent topic: field_definitions Clause
15.4.6 pos_spec Clause
The ORACLE_LOADER
pos_spec clause indicates the position of the column within the
record.
The setting of the STRING SIZES ARE IN clause determines whether
pos_spec refers to byte positions or character
positions. Using character positions with varying-width character sets takes
significantly longer than using character positions with fixed-width
character sets. Binary and multibyte character data should not be present in
the same data file when pos_spec is used for character
positions. If they are, then the results are unpredictable.
- pos_spec Clause Syntax
The syntax for theORACLE_LOADERpos_specclause is as follows. - start
Thepos_specclausestartparameter indicates the number of bytes or characters from the beginning of the record to where the field begins. - *
Thepos_specclause*parameter indicates that the field begins at the first byte or character after the end of the previous field. - increment
Thepos_specclauseincrementparameter positions the start of the field is a fixed number of bytes or characters from the end of the previous field. - end
Thepos_specclauseendparameter indicates the absolute byte or character offset into the record for the last byte of the field. - length
Thepos_specclauselengthparameter value indicates that the end of the field is a fixed number of bytes or characters from the start.
Parent topic: field_definitions Clause
15.4.6.1 pos_spec Clause Syntax
The syntax for the ORACLE_LOADER
pos_spec clause is as follows.
Parent topic: pos_spec Clause
15.4.6.2 start
The pos_spec clause start parameter indicates the number of bytes or characters from the beginning of the record to where the field begins.
The start parameter enables you to position the start of the field at an absolute spot in the record, rather than relative to the position of the previous field.
Parent topic: pos_spec Clause
15.4.6.3 *
The pos_spec clause * parameter indicates that the field begins at the first byte or character after the end of the previous field.
The * parameter is useful if you have a varying-length field followed by a fixed-length field. This option cannot be used for the first field in the record.
Parent topic: pos_spec Clause
15.4.6.4 increment
The pos_spec clause increment parameter positions the start of the field is a fixed number of bytes or characters from the end of the previous field.
The increment parameter positions the start of the field at a fixed number of bytes or characters from the end of the previous field. Use *-increment to indicate that the start of the field starts before the current position in the record (this is a costly operation for multibyte character sets). Use *+increment to move the start after the current position.
Parent topic: pos_spec Clause
15.4.6.5 end
The pos_spec clause end parameter indicates the absolute byte or character offset into the record for the last byte of the field.
Use the end parameter to set the absolute byte or character offset into the record for the last byte of the field. If start is specified along with end, then end cannot be less than start. If * or increment is specified along with end, and the start evaluates to an offset larger than the end for a particular record, then that record will be rejected.
Parent topic: pos_spec Clause
15.4.6.6 length
The pos_spec clause length parameter value indicates that the end of the field is a fixed number of bytes or characters from the start.
Use the length parameter when you want to set fixed-length fields when the start is specified with *. The following example shows various ways of using pos_spec. It is followed by an example of a data file that you can use to load it.
CREATE TABLE emp_load (first_name CHAR(15),
last_name CHAR(20),
year_of_birth INT,
phone CHAR(12),
area_code CHAR(3),
exchange CHAR(3),
extension CHAR(4))
ORGANIZATION EXTERNAL
(TYPE ORACLE_LOADER
DEFAULT DIRECTORY ext_tab_dir
ACCESS PARAMETERS
(FIELDS RTRIM
(first_name (1:15) CHAR(15),
last_name (*:+20),
year_of_birth (36:39),
phone (40:52),
area_code (*-12: +3),
exchange (*+1: +3),
extension (*+1: +4)))
LOCATION ('info.dat'));
Alvin Tolliver 1976415-922-1982
Kenneth Baer 1963212-341-7912
Mary Dube 1973309-672-2341Parent topic: pos_spec Clause
15.4.7 datatype_spec Clause
The ORACLE_LOADER
datatype_spec clause describes the data type of a field in the data file if
the data type is different than the default.
The data type of the field can be different than the data type of a corresponding column in the external table. The access driver handles the necessary conversions.
- datatype_spec Clause Syntax
The syntax for theORACLE_LOADERdatatype_specclause is as follows: - [UNSIGNED] INTEGER [EXTERNAL] [(len)]
Thedatatype_specclause[UNSIGNED] INTEGER [EXTERNAL] [(len)]defines a field as an integer. - DECIMAL [EXTERNAL] and ZONED [EXTERNAL]
TheDECIMALclause is used to indicate that the field is a packed decimal number. TheZONEDclause is used to indicate that the field is a zoned decimal number. - ORACLE_DATE
ORACLE_DATEis a field containing a date in the Oracle binary date format. - ORACLE_NUMBER
ORACLE_NUMBERis a field containing a number in the Oracle number format. - Floating-Point Numbers
The following four data types,DOUBLE,FLOAT,BINARY_DOUBLE, andBINARY_FLOATare floating-point numbers. - DOUBLE
TheDOUBLEclause indicates that the field is the same format as the C languageDOUBLEdata type on the platform where the access driver is executing. - FLOAT [EXTERNAL]
TheFLOATclause indicates that the field is the same format as the C languageFLOATdata type on the platform where the access driver is executing. - BINARY_DOUBLE
Thedatatype_specclause valueBINARY_DOUBLEis a 64-bit, double-precision, floating-point number data type. - BINARY_FLOAT
Thedatatype_specclause valueBINARY_FLOATis a 32-bit, single-precision, floating-point number data type. - RAW
TheRAWclause is used to indicate that the source data is binary data. - CHAR
The datatype_spec clause data typeCHARclause is used to indicate that a field is a character data type. - date_format_spec
Thedate_format_specclause is used to indicate that a character string field contains date data, time data, or both, in a specific format. - VARCHAR and VARRAW
Thedatatype_specclauseVARCHARdata type defines character data, and theVARRAWdata type defines binary data. - VARCHARC and VARRAWC
The datatype_spec clause VARCHARC data type defines character data, and the VARRAWC data type defines binary data.
Parent topic: field_definitions Clause
15.4.7.1 datatype_spec Clause Syntax
The syntax for the ORACLE_LOADER
datatype_spec clause is as follows:
If the number of bytes or characters in any field is 0, then the field is assumed to be NULL. The optional DEFAULTIF clause specifies when the field is set to its default value. Also, the optional NULLIF clause specifies other conditions for when the column associated with the field is set to NULL. If the DEFAULTIF or NULLIF clause is TRUE, then the actions of those clauses override whatever values are read from the data file.
Related Topics
Parent topic: datatype_spec Clause
15.4.7.2 [UNSIGNED] INTEGER [EXTERNAL] [(len)]
The datatype_spec clause [UNSIGNED] INTEGER [EXTERNAL]
[(len)] defines a field as an integer.
This clause defines a field as an integer. If EXTERNAL is specified,
then the number is a character string. If EXTERNAL is not
specified, then the number is a binary field. The valid values for
len in binary integer fields are 1, 2,
4, and 8. If len is omitted for binary integers,
then the default value is whatever the value of
sizeof(int) is on the platform where the
access driver is running. Use of the DATA IS {BIG|LITTLE} ENDIAN
clause may cause the data to be byte-swapped before it is stored.
If EXTERNAL is specified, then the value of
len is the number of bytes or characters
in the number (depending on the setting of the STRING SIZES ARE IN
BYTES or CHARACTERS clause). If no length is
specified, then the default value is 255.
The default value of the [UNSIGNED] INTEGER [EXTERNAL] [(len)] data type is determined as follows:
-
If no length specified, then the default length is 1.
-
If no length is specified and the field is delimited with a
DELIMITED BY NEWLINEclause, then the default length is 1. -
If no length is specified and the field is delimited with a
DELIMITED BYclause, then the default length is 255 (unless the delimiter isNEWLINE, as stated above).
Parent topic: datatype_spec Clause
15.4.7.3 DECIMAL [EXTERNAL] and ZONED [EXTERNAL]
The DECIMAL clause is used to indicate that the field is a packed decimal number. The ZONED clause is used to indicate that the field is a zoned decimal number.
The precision field indicates the number of digits in the number. The scale field is used to specify the location of the decimal point in the number. It is the number of digits to the right of the decimal point. If scale is omitted, then a value of 0 is assumed.
Note that there are different encoding formats of zoned decimal numbers depending on whether the character set being used is EBCDIC-based or ASCII-based. If the language of the source data is EBCDIC, then the zoned decimal numbers in that file must match the EBCDIC encoding. If the language is ASCII-based, then the numbers must match the ASCII encoding.
If the EXTERNAL parameter is specified, then the data field is a character string whose length matches the precision of the field.
Parent topic: datatype_spec Clause
15.4.7.4 ORACLE_DATE
ORACLE_DATE is a field containing a date in the Oracle binary date format.
This is the format used by the DTYDAT data type in Oracle Call Interface (OCI) programs. The field is a fixed length of 7.
Parent topic: datatype_spec Clause
15.4.7.5 ORACLE_NUMBER
ORACLE_NUMBER is a field containing a number in the Oracle number format.
The field is a fixed length (the maximum size of an Oracle number field) unless COUNTED is specified, in which case the first byte of the field contains the number of bytes in the rest of the field.
ORACLE_NUMBER is a fixed-length 22-byte field. The length of an ORACLE_NUMBER COUNTED field is one for the count byte, plus the number of bytes specified in the count byte.
Parent topic: datatype_spec Clause
15.4.7.6 Floating-Point Numbers
The following four data types, DOUBLE, FLOAT, BINARY_DOUBLE, and BINARY_FLOAT are floating-point numbers.
The following four data types, DOUBLE, FLOAT, BINARY_DOUBLE, and BINARY_FLOAT are floating-point numbers.
DOUBLE and FLOAT are the floating-point formats used natively on the platform in use. They are the same data types used by default for the DOUBLE and FLOAT data types in a C program on that platform. BINARY_FLOAT and BINARY_DOUBLE are floating-point numbers that conform substantially with the Institute for Electrical and Electronics Engineers (IEEE) Standard for Binary Floating-Point Arithmetic, IEEE Standard 754-1985. Because most platforms use the IEEE standard as their native floating-point format, FLOAT and BINARY_FLOAT are the same on those platforms and DOUBLE and BINARY_DOUBLE are also the same.
Note:
See Oracle Database SQL Language Reference for more information about floating-point numbersParent topic: datatype_spec Clause
15.4.7.7 DOUBLE
The DOUBLE clause indicates that the field is the same format as the C language DOUBLE data type on the platform where the access driver is executing.
Use of the DATA IS {BIG | LITTLE} ENDIAN clause may cause the data to be byte-swapped before it is stored. This data type may not be portable between certain platforms.
Parent topic: datatype_spec Clause
15.4.7.8 FLOAT [EXTERNAL]
The FLOAT clause indicates that the field is the same format as the C language FLOAT data type on the platform where the access driver is executing.
The FLOAT clause indicates that the field is the same format as the C language FLOAT data type on the platform where the access driver is executing. Use of the DATA IS {BIG | LITTLE} ENDIAN clause may cause the data to be byte-swapped before it is stored. This data type may not be portable between certain platforms.
If the EXTERNAL parameter is specified, then the field is a character string whose maximum length is 255.
Parent topic: datatype_spec Clause
15.4.7.9 BINARY_DOUBLE
The datatype_spec clause value BINARY_DOUBLE is a
64-bit, double-precision, floating-point number data type.
Each BINARY_DOUBLE value requires 9 bytes, including a length byte.
See the information in the note provided for the FLOAT data type
for more details about floating-point numbers.
Parent topic: datatype_spec Clause
15.4.7.10 BINARY_FLOAT
The datatype_spec clause value BINARY_FLOAT is a
32-bit, single-precision, floating-point number data type.
Each BINARY_FLOAT value requires 5 bytes, including a length byte.
See the information in the note provided for the FLOAT data type
for more details about floating-point numbers.
Parent topic: datatype_spec Clause
15.4.7.11 RAW
The RAW clause is used to indicate that the source data is binary data.
The len for RAW fields is always in number of bytes. When a RAW field is loaded in a character column, the data that is written into the column is the hexadecimal representation of the bytes in the RAW field.
Parent topic: datatype_spec Clause
15.4.7.12 CHAR
The datatype_spec clause data type CHAR clause is used to indicate
that a field is a character data type.
The length (len) for CHAR
fields specifies the largest number of bytes or characters in the field. The
len is in bytes or characters, depending on the
setting of the STRING SIZES ARE IN clause.
If no length is specified for a field of data type CHAR, then the size of the field is assumed to be 1, unless the field is delimited:
-
For a delimited
CHARfield, if a length is specified, then that length is used as a maximum. -
For a delimited
CHARfield for which no length is specified, the default is 255 bytes. -
For a delimited
CHARfield that is greater than 255 bytes, you must specify a maximum length. Otherwise, you receive an error stating that the field in the data file exceeds maximum length.
The following example shows the use of the CHAR clause.
SQL> CREATE TABLE emp_load
2 (employee_number CHAR(5),
3 employee_dob CHAR(20),
4 employee_last_name CHAR(20),
5 employee_first_name CHAR(15),
6 employee_middle_name CHAR(15),
7 employee_hire_date DATE)
8 ORGANIZATION EXTERNAL
9 (TYPE ORACLE_LOADER
10 DEFAULT DIRECTORY def_dir1
11 ACCESS PARAMETERS
12 (RECORDS DELIMITED BY NEWLINE
13 FIELDS (employee_number CHAR(2),
14 employee_dob CHAR(20),
15 employee_last_name CHAR(18),
16 employee_first_name CHAR(11),
17 employee_middle_name CHAR(11),
18 employee_hire_date CHAR(10) date_format DATE mask "mm/dd/yyyy"
19 )
20 )
21 LOCATION ('info.dat')
22 );
Table created.Parent topic: datatype_spec Clause
15.4.7.13 date_format_spec
The date_format_spec clause is used to indicate that a character string field contains date data, time data, or both, in a specific format.
This information is used only when a character field is converted to a date or time data type and only when a character string field is mapped into a date column.
The syntax for the date_format_spec clause is as follows:
For detailed information about the correct way to specify date and time formats, see Oracle Database SQL Reference.
- DATE
TheDATEclause indicates that the string contains a date. - MASK
TheMASKclause is used to override the default globalization format mask for the data type. - TIMESTAMP
TheTIMESTAMPclause indicates that a field contains a formatted timestamp. - INTERVAL
TheINTERVALclause indicates that a field contains a formatted interval.
Related Topics
Parent topic: datatype_spec Clause
15.4.7.13.1 DATE
The DATE clause indicates that the string contains a date.
Parent topic: date_format_spec
15.4.7.13.2 MASK
The MASK clause is used to override the default globalization format mask for the data type.
If a date mask is not specified, then the settings of NLS parameters for the database (not the session settings) for the appropriate globalization parameter for the data type are used. The NLS_DATABASE_PARAMETERS view shows these settings.
-
NLS_DATE_FORMATforDATEdata types -
NLS_TIMESTAMP_FORMATforTIMESTAMPdata types -
NLS_TIMESTAMP_TZ_FORMATforTIMESTAMP WITH TIME ZONEdata types
Note the following:
-
The database setting for the
NLS_NUMERIC_CHARACTERSinitialization parameter (that is, from theNLS_DATABASE_PARAMETERSview) governs the decimal separator for implicit conversion from character to numeric data types. -
A group separator is not allowed in the default format.
Parent topic: date_format_spec
15.4.7.13.3 TIMESTAMP
The TIMESTAMP clause indicates that a field contains a formatted timestamp.
Parent topic: date_format_spec
15.4.7.13.4 INTERVAL
The INTERVAL clause indicates that a field contains a formatted interval.
The INTERVAL clause indicates that a field contains a formatted interval. The type of interval can be either YEAR TO MONTH or DAY TO SECOND.
The following example shows a sample use of a complex DATE character string and a TIMESTAMP character string. It is followed by a sample of the data file that can be used to load it.
SQL> CREATE TABLE emp_load
2 (employee_number CHAR(5),
3 employee_dob CHAR(20),
4 employee_last_name CHAR(20),
5 employee_first_name CHAR(15),
6 employee_middle_name CHAR(15),
7 employee_hire_date DATE,
8 rec_creation_date TIMESTAMP WITH TIME ZONE)
9 ORGANIZATION EXTERNAL
10 (TYPE ORACLE_LOADER
11 DEFAULT DIRECTORY def_dir1
12 ACCESS PARAMETERS
13 (RECORDS DELIMITED BY NEWLINE
14 FIELDS (employee_number CHAR(2),
15 employee_dob CHAR(20),
16 employee_last_name CHAR(18),
17 employee_first_name CHAR(11),
18 employee_middle_name CHAR(11),
19 employee_hire_date CHAR(22) date_format DATE mask "mm/dd/yyyy hh:mi:ss AM",
20 rec_creation_date CHAR(35) date_format TIMESTAMP WITH TIME ZONE mask "DD-MON-RR HH.MI.SSXFF AM TZH:TZM"
21 )
22 )
23 LOCATION ('infoc.dat')
24 );
Table created.
SQL> SELECT * FROM emp_load;
EMPLO EMPLOYEE_DOB EMPLOYEE_LAST_NAME EMPLOYEE_FIRST_ EMPLOYEE_MIDDLE
----- -------------------- -------------------- --------------- ---------------
EMPLOYEE_
---------
REC_CREATION_DATE
---------------------------------------------------------------------------
56 november, 15, 1980 baker mary alice
01-SEP-04
01-DEC-04 11.22.03.034567 AM -08:00
87 december, 20, 1970 roper lisa marie
01-JAN-02
01-DEC-02 02.03.00.678573 AM -08:00
2 rows selected.The info.dat file looks like the following. Note that this is 2 long records. There is one space between the data fields (09/01/2004, 01/01/2002) and the time field that follows.
56november, 15, 1980 baker mary alice 09/01/2004 08:23:01 AM01-DEC-04 11.22.03.034567 AM -08:00
87december, 20, 1970 roper lisa marie 01/01/2002 02:44:55 PM01-DEC-02 02.03.00.678573 AM -08:00Parent topic: date_format_spec
15.4.7.14 VARCHAR and VARRAW
The datatype_spec clause VARCHAR data type defines
character data, and the VARRAW data type defines binary data.
The VARCHAR data type has a binary count field followed by
character data. The value in the binary count field is either the number of bytes in the
field or the number of characters. See STRING SIZES ARE IN for information
about how to specify whether the count is interpreted as a count of characters or count of
bytes.
The VARRAW data type has a binary count field followed by binary
data. The value in the binary count field is the number of bytes of binary data. The data in
the VARRAW field is not affected by the DATA
IS...ENDIANclause.
The VARIABLE 2 clause in the ACCESS PARAMETERS clause specifies the size of the binary field that contains the length.
The optional length_of_length field in the
specification is the number of bytes in the count field. Valid values for
length_of_length for VARCHAR are 1,
2, 4, and 8. If length_of_length is not specified, then
a value of 2 is used. The count field has the same endianness as specified by the
DATA IS...ENDIAN clause.
The max_len field is used to indicate the largest
size of any instance of the field in the data file. For VARRAW fields,
max_len is number of bytes. For
VARCHAR fields, max_len is either
number of characters, or number of bytes, depending on the STRING SIZES ARE
IN clause.
The following example shows various uses of VARCHAR and VARRAW. The content of the data file, info.dat, is shown following the example.
CREATE TABLE emp_load
(first_name CHAR(15),
last_name CHAR(20),
resume CHAR(2000),
picture RAW(2000))
ORGANIZATION EXTERNAL
(TYPE ORACLE_LOADER
DEFAULT DIRECTORY ext_tab_dir
ACCESS PARAMETERS
(RECORDS
VARIABLE 2
DATA IS BIG ENDIAN
CHARACTERSET US7ASCII
FIELDS (first_name VARCHAR(2,12),
last_name VARCHAR(2,20),
resume VARCHAR(4,10000),
picture VARRAW(4,100000)))
LOCATION ('info.dat'));Contents of info.dat Data File
The contents of the data file used in the example are as follows:.
0005Alvin0008Tolliver0000001DAlvin Tolliver's Resume etc. 0000001013f4690a30bc29d7e40023ab4599ffff
It is important to understand that, for the purposes of readable documentation, the binary values for the count bytes and the values for the raw data are shown in the data file in italics, with 2 characters per binary byte. The values in an actual data file would be in binary format, not ASCII. Therefore, if you attempt to use this example by cutting and pasting, then you will receive an error.
Related Topics
Parent topic: datatype_spec Clause
15.4.7.15 VARCHARC and VARRAWC
The datatype_spec clause VARCHARC data type defines character data, and the VARRAWC data type defines binary data.
The VARCHARC data type has a character count field followed by
character data. The value in the count field is either the number of bytes in the field or
the number of characters. See STRING SIZES ARE IN for information about
how to specify whether the count is interpreted as a count of characters, or acount of
bytes. The optional length_of_length is either the
number of bytes, or the number of characters in the count field for
VARCHARC, depending on whether lengths are being interpreted as
characters or bytes.
The maximum value for for
length_of_lengthsVARCHARC is 10 if string sizes are in characters, and 20 if string sizes
are in bytes. The default value for
length_of_length is 5.
The VARRAWC data type has a character count field followed by binary data. The value in the count field is the number of bytes of binary data. The length_of_length is the number of bytes in the count field.
The max_len field is used to indicate the largest size of any instance of the field in the data file. For VARRAWC fields, max_len is number of bytes. For VARCHARC fields, max_len is either number of characters or number of bytes depending on the STRING SIZES ARE IN clause.
The following example shows various uses of VARCHARC and
VARRAWC. The length of the picture field is 0, which
means the field is set to NULL.
CREATE TABLE emp_load
(first_name CHAR(15),
last_name CHAR(20),
resume CHAR(2000),
picture RAW (2000))
ORGANIZATION EXTERNAL
(TYPE ORACLE_LOADER
DEFAULT DIRECTORY ext_tab_dir
ACCESS PARAMETERS
(FIELDS (first_name VARCHARC(5,12),
last_name VARCHARC(2,20),
resume VARCHARC(4,10000),
picture VARRAWC(4,100000)))
LOCATION ('info.dat'));
00007William05Ricca0035Resume for William Ricca is missing0000
Related Topics
Parent topic: datatype_spec Clause
15.4.8 init_spec Clause
The init_spec clause for external tables is used to specify when a
field should be set to NULL, or when it should be set to a default value.
The syntax for the init_spec clause is as follows:
Only one NULLIF clause and only one DEFAULTIF clause can be specified for any field. These clauses behave as follows:
-
If
NULLIF condition_specis specified and it evaluates toTRUE, then the field is set toNULL. -
If
DEFAULTIF condition_specis specified and it evaluates toTRUE, then the value of the field is set to a default value. The default value depends on the data type of the field, as follows:-
For a character data type, the default value is an empty string.
-
For a numeric data type, the default value is a 0.
-
For a date data type, the default value is
NULL.
-
-
If a
NULLIFclause and aDEFAULTIFclause are both specified for a field, then theNULLIFclause is evaluated first, and theDEFAULTIFclause is evaluated only if theNULLIFclause evaluates toFALSE.
Parent topic: field_definitions Clause
15.4.9 LLS Clause
If a field in a data file is a LOB location Specifier (LLS) field,
then you can indicate this by using the LLS clause.
If a field in a data file is a LOB location Specifier (LLS) field, then you can indicate this by using the LLS clause. An LLS field contains the file name, offset, and length of the LOB data in the data file. SQL*Loader uses this information to read data for the LOB column. The LLS clause for ORACLE_LOADER has the following syntax:
When the LLS clause is used, ORACLE_LOADER does not load the value of the field into the corresponding column. Instead, it uses the information in the value to determine where to find the value of the field. The LOB can be loaded in part or in whole and it can start from an arbitrary position and for an arbitrary length. ORACLE_LOADER expects the contents of the field to be filename.ext.nnn.mmm/ where each element is defined as follows:
-
filename.extis the name of the file that contains the LOB -
nnnis the offset in bytes of the LOB within the file -
mmmis the length of the LOB in bytes A value of -1 means the LOB is NULL. A value of 0 means the lob exists, but is empty. -
The forward slash (
/) terminates the field
The LLS clause has an optional DIRECTORY clause which specifies an Oracle directory object:
-
If
DIRECTORYis specified, then the file must exist there and you must haveREADaccess to that directory object. -
If
DIRECTORYis not specified, then the file must exist in the same directory as the data file.
An error is returned and the row rejected if any of the following are true:
-
The file name contains a relative or absolute path specification.
-
The file is not found, the offset is invalid, or the length extends beyond the end of the file.
-
The contents of the field do not match the expected format.
-
The data type for the column associated with an
LLSfield is not aCLOB,BLOBorNCLOB.
If an LLS field is referenced by a clause for any other field (for example a NULLIF clause), then in the access parameters, the value used for evaluating the clause is the string in the data file, not the data in the file pointed to by that string.
The character set for the data in the file pointed to by the LLS clause is assumed to be the same character set as the data file.
Parent topic: field_definitions Clause
15.5 column_transforms Clause
The optional ORACLE_LOADER access drive COLUMN
TRANSFORMS clause provides transforms that you can use to describe how to load
columns in the external table that do not map directly to columns in the data file.
Syntax
The syntax for the column_transforms clause is as follows:
Note:
The COLUMN TRANSFORMS clause does not work in conjunction with the
PREPROCESSOR clause.
- transform
Each transform specified in thetransformclause identifies a column in the external table and then a specifies how to calculate the value of the column.
Parent topic: The ORACLE_LOADER Access Driver
15.5.1 transform
Each transform specified in the transform clause identifies a column in the external table and then a specifies how to calculate the value of the column.
The syntax is as follows:
The NULL transform is used to set the external table column to NULL in every row. The CONSTANT transform is used to set the external table column to the same value in every row. The CONCAT transform is used to set the external table column to the concatenation of constant strings and/or fields in the current record from the data file. The LOBFILE transform is used to load data into a field for a record from another data file. Each of these transforms is explained further in the following sections.
- column_name FROM
Thecolumn_nameuniquely identifies a column in the external table that you want to be loaded. - NULL
When theNULLtransform is specified, every value of the field is set toNULLfor every record. - CONSTANT
TheCONSTANTclause transform uses the value of the string specified as the value of the column in the record. - CONCAT
TheCONCATtransform concatenates constant strings and fields in the data file together to form one string. - LOBFILE
TheLOBFILEtransform is used to identify a file whose contents are to be used as the value for a column in the external table. - lobfile_attr_list
Thelobfile_attr_listlists additional attributes of the LOBFILE. - STARTOF source_field (length)
TheSTARTOFkeyword allows you to create an external table in which a column can be a substring of the data in the source field.
Parent topic: column_transforms Clause
15.5.1.1 column_name FROM
The column_name uniquely identifies a column in the external table
that you want to be loaded.
Note that if the name of a column is mentioned in the transform
clause, then that name cannot be specified in the FIELDS clause as
a field in the data file.
Parent topic: transform
15.5.1.2 NULL
When the NULL transform is specified, every value of the field is set to NULL for every record.
Parent topic: transform
15.5.1.3 CONSTANT
The CONSTANT clause transform uses the value of the
string specified as the value of the column in the record.
If the column in the external table is not a character string type, then the constant string will be converted to the data type of the column. This conversion will be done for every row.
The character set of the string used for data type conversions is the character set of the database.
Parent topic: transform
15.5.1.4 CONCAT
The CONCAT transform concatenates constant strings and fields in the
data file together to form one string.
Only fields that are character data types and that are listed in the
fields clause can be used as part of the concatenation. Other
column transforms cannot be specified as part of the concatenation.
Parent topic: transform
15.5.1.5 LOBFILE
The LOBFILE transform is used to identify a file whose contents are to be used as the value for a column in the external table.
All LOBFILEs are identified by an optional directory object and a file name in the form directory object:filename. The following rules apply to use of the LOBFILE transform:
-
Both the directory object and the file name can be either a constant string or the name of a field in the field clause.
-
If a constant string is specified, then that string is used to find the
LOBFILEfor every row in the table. -
If a field name is specified, then the value of that field in the data file is used to find the
LOBFILE. -
If a field name is specified for either the directory object or the file name and if the value of that field is
NULL, then the column being loaded by theLOBFILEis also set toNULL. -
If the directory object is not specified, then the default directory specified for the external table is used.
-
If a field name is specified for the directory object, then the
FROMclause also needs to be specified.
Note that the entire file is used as the value of the LOB column. If the same file is referenced in multiple rows, then that file is reopened and reread in order to populate each column.
Parent topic: transform
15.5.1.6 lobfile_attr_list
The lobfile_attr_list lists additional attributes of the LOBFILE.
The syntax is as follows:
The FROM clause lists the names of all directory objects that will be used for LOBFILEs. It is used only when a field name is specified for the directory object of the name of the LOBFILE. The purpose of the FROM clause is to determine the type of access allowed to the named directory objects during initialization. If directory object in the value of field is not a directory object in this list, then the row will be rejected.
The CLOB attribute indicates that the data in the LOBFILE is character data (as opposed to RAW data). Character data may need to be translated into the character set used to store the LOB in the database.
The CHARACTERSET attribute contains the name of the character set for the data in the LOBFILEs.
The BLOB attribute indicates that the data in the LOBFILE is raw data.
If neither CLOB nor BLOB is specified, then CLOB is assumed. If no character set is specified for character LOBFILEs, then the character set of the data file is assumed.
Parent topic: transform
15.5.1.7 STARTOF source_field (length)
The STARTOF keyword allows you to create an external table in which a column can be a substring of the data in the source field.
The length is the length of the substring, beginning with the first byte. It is assumed that length refers to a byte count and that the external table column(s) being transformed use byte length and not character length semantics. (Character length semantics might give unexpected results.)
Only complete character encodings are moved; characters are never split. So if a substring ends in the middle of a multibyte character, then the resulting string will be shortened. For example, if a length of 10 is specified, but the 10th byte is the first byte of a multibyte character, then only the first 9 bytes are returned.
The following example shows how you could use the STARTOF keyword if you only wanted the first 4 bytes of the department name (dname) field:
SQL> CREATE TABLE dept (deptno NUMBER(2),
2 dname VARCHAR2(14),
3 loc VARCHAR2(13)
4 )
5 ORGANIZATION EXTERNAL
6 (
7 DEFAULT DIRECTORY def_dir1
8 ACCESS PARAMETERS
9 (
10 RECORDS DELIMITED BY NEWLINE
11 FIELDS TERMINATED BY ','
12 (
13 deptno CHAR(2),
14 dname_source CHAR(14),
15 loc CHAR(13)
16 )
17 column transforms
18 (
19 dname FROM STARTOF dname_source (4)
20 )
21 )
22 LOCATION ('dept.dat')
23 );
Table created.
If you now perform a SELECT operation from the dept table, only the first four bytes of the dname field are returned:
SQL> SELECT * FROM dept;
DEPTNO DNAME LOC
---------- -------------- -------------
10 ACCO NEW YORK
20 RESE DALLAS
30 SALE CHICAGO
40 OPER BOSTON
4 rows selected.Parent topic: transform
15.6 Parallel Loading Considerations for the ORACLE_LOADER Access Driver
The ORACLE_LOADER access driver attempts to divide large data files into chunks that can be processed separately.
The following file, record, and data characteristics make it impossible for a file to be processed in parallel:
-
Sequential data sources (such as a tape drive or pipe)
-
Data in any multibyte character set whose character boundaries cannot be determined starting at an arbitrary byte in the middle of a string
This restriction does not apply to any data file with a fixed number of bytes per record.
-
Records with the
VARformat
Specifying a PARALLEL clause is of value only when large amounts of data are involved.
Parent topic: The ORACLE_LOADER Access Driver
15.7 Performance Hints When Using the ORACLE_LOADER Access Driver
This topic describes some performance hints when using the ORACLE_LOADER access driver.
When you monitor performance, the most important measurement is the elapsed time for a load. Other important measurements are CPU usage, memory usage, and I/O rates.
You can alter performance by increasing or decreasing the degree of parallelism. The degree of parallelism indicates the number of access drivers that can be started to process the data files. The degree of parallelism enables you to choose on a scale between slower load with little resource usage and faster load with all resources utilized. The access driver cannot automatically tune itself, because it cannot determine how many resources you want to dedicate to the access driver.
An additional consideration is that the access drivers use large I/O buffers for better performance (you can use the READSIZE clause in the access parameters to specify the size of the buffers). On databases with shared servers, all memory used by the access drivers comes out of the system global area (SGA). For this reason, you should be careful when using external tables on shared servers.
Performance can also sometimes be increased with use of date cache functionality. By using the date cache to specify the number of unique dates anticipated during the load, you can reduce the number of date conversions done when many duplicate date or timestamp values are present in the input data. The date cache functionality provided by external tables is identical to the date cache functionality provided by SQL*Loader. See DATE_CACHE for a detailed description.
In addition to changing the degree of parallelism and using the date cache to improve performance, consider the following information:
-
Fixed-length records are processed faster than records terminated by a string.
-
Fixed-length fields are processed faster than delimited fields.
-
Single-byte character sets are the fastest to process.
-
Fixed-width character sets are faster to process than varying-width character sets.
-
Byte-length semantics for varying-width character sets are faster to process than character-length semantics.
-
Single-character delimiters for record terminators and field delimiters are faster to process than multicharacter delimiters.
-
Having the character set in the data file match the character set of the database is faster than a character set conversion.
-
Having data types in the data file match the data types in the database is faster than data type conversion.
-
Not writing rejected rows to a reject file is faster because of the reduced overhead.
-
Condition clauses (including
WHEN,NULLIF, andDEFAULTIF) slow down processing. -
The access driver takes advantage of multithreading to streamline the work as much as possible.
Parent topic: The ORACLE_LOADER Access Driver
15.8 Restrictions When Using the ORACLE_LOADER Access Driver
This section lists restrictions to be aware of when you use the ORACLE_LOADER access driver.
Specifically:
-
Exporting and importing of external tables with encrypted columns is not supported.
-
Column processing: By default, the external tables feature fetches all columns defined for an external table. This guarantees a consistent result set for all queries. However, for performance reasons you can decide to process only the referenced columns of an external table, thus minimizing the amount of data conversion and data handling required to execute a query. In this case, a row that is rejected because a column in the row causes a data type conversion error will not get rejected in a different query if the query does not reference that column. You can change this column-processing behavior with the
ALTER TABLEcommand. -
An external table cannot load data into a
LONGcolumn. -
SQL strings cannot be specified in access parameters for the
ORACLE_LOADERaccess driver. As a workaround, you can use theDECODEclause in theSELECTclause of the statement that is reading the external table. Alternatively, you can create a view of the external table that uses theDECODEclause and select from that view rather than the external table. -
The use of the backslash character (\) within strings is not supported in external tables. See Use of the Backslash Escape Character.
-
When identifiers (for example, column or table names) are specified in the external table access parameters, certain values are considered to be reserved words by the access parameter parser. If a reserved word is used as an identifier, then it must be enclosed in double quotation marks.
Parent topic: The ORACLE_LOADER Access Driver
15.9 Reserved Words for the ORACLE_LOADER Access Driver
When identifiers (for example, column or table names) are specified in the external table access parameters, certain values are considered to be reserved words by the access parameter parser.
If a reserved word is used as an identifier, then it must be enclosed in double quotation marks. The following are the reserved words for the ORACLE_LOADER access driver:
-
ALL
-
AND
-
ARE
-
ASTERISK
-
AT
-
ATSIGN
-
BADFILE
-
BADFILENAME
-
BACKSLASH
-
BENDIAN
-
BIG
-
BLANKS
-
BY
-
BYTES
-
BYTESTR
-
CHAR
-
CHARACTERS
-
CHARACTERSET
-
CHARSET
-
CHARSTR
-
CHECK
-
CLOB
-
COLLENGTH
-
COLON
-
COLUMN
-
COMMA
-
CONCAT
-
CONSTANT
-
COUNTED
-
DATA
-
DATE
-
DATE_CACHE
-
DATE_FORMAT
-
DATEMASK
-
DAY
-
DEBUG
-
DECIMAL
-
DEFAULTIF
-
DELIMITBY
-
DELIMITED
-
DISCARDFILE
-
DNFS_ENABLE
-
DNFS_DISABLE
-
DNFS_READBUFFERS
-
DOT
-
DOUBLE
-
DOUBLETYPE
-
DQSTRING
-
DQUOTE
-
DSCFILENAME
-
ENCLOSED
-
ENDIAN
-
ENDPOS
-
EOF
-
EQUAL
-
EXIT
-
EXTENDED_IO_PARAMETERS
-
EXTERNAL
-
EXTERNALKW
-
EXTPARM
-
FIELD
-
FIELDS
-
FILE
-
FILEDIR
-
FILENAME
-
FIXED
-
FLOAT
-
FLOATTYPE
-
FOR
-
FROM
-
HASH
-
HEXPREFIX
-
IN
-
INTEGER
-
INTERVAL
-
LANGUAGE
-
IS
-
LEFTCB
-
LEFTTXTDELIM
-
LEFTP
-
LENDIAN
-
LDRTRIM
-
LITTLE
-
LOAD
-
LOBFILE
-
LOBPC
-
LOBPCCONST
-
LOCAL
-
LOCALTZONE
-
LOGFILE
-
LOGFILENAME
-
LRTRIM
-
LTRIM
-
MAKE_REF
-
MASK
-
MINUSSIGN
-
MISSING
-
MISSINGFLD
-
MONTH
-
NEWLINE
-
NO
-
NOCHECK
-
NOT
-
NOBADFILE
-
NODISCARDFILE
-
NOLOGFILE
-
NOTEQUAL
-
NOTERMBY
-
NOTRIM
-
NULL
-
NULLIF
-
OID
-
OPTENCLOSE
-
OPTIONALLY
-
OPTIONS
-
OR
-
ORACLE_DATE
-
ORACLE_NUMBER
-
PLUSSIGN
-
POSITION
-
PROCESSING
-
QUOTE
-
RAW
-
READSIZE
-
RECNUM
-
RECORDS
-
REJECT
-
RIGHTCB
-
RIGHTTXTDELIM
-
RIGHTP
-
ROW
-
ROWS
-
RTRIM
-
SCALE
-
SECOND
-
SEMI
-
SETID
-
SIGN
-
SIZES
-
SKIP
-
STRING
-
TERMBY
-
TERMEOF
-
TERMINATED
-
TERMWS
-
TERRITORY
-
TIME
-
TIMESTAMP
-
TIMEZONE
-
TO
-
TRANSFORMS
-
UNDERSCORE
-
UINTEGER
-
UNSIGNED
-
VALUES
-
VARCHAR
-
VARCHARC
-
VARIABLE
-
VARRAW
-
VARRAWC
-
VLENELN
-
VMAXLEN
-
WHEN
-
WHITESPACE
-
WITH
-
YEAR
-
ZONED
Parent topic: The ORACLE_LOADER Access Driver



















