CREATE TABLE
Purpose
Use the CREATE TABLE statement to create one of the following types of tables:
-
A relational table is the basic structure to hold user data.
-
An object table that uses an object type for a column definition. An object table is explicitly defined to hold object instances of a particular type.
-
A JSON collection table is a table that stores a collection of JSON documents (objects) in a JSON-type column while also guaranteeing a unique key per document.
You can also create an object type and then use it in a column when creating a relational table.
Tables are created with no data unless a subquery is specified. You can add rows to a table with the INSERT statement. After creating a table, you can define additional columns, partitions, and integrity constraints with the ADD clause of the ALTER TABLE statement. You can change the definition of an existing column or partition with the MODIFY clause of the ALTER TABLE statement.
See Also:
-
Oracle Database Administrator's Guide and CREATE TYPE for more information about creating objects
-
ALTER TABLE and DROP TABLE for information on modifying and dropping tables
Prerequisites
To create a relational table in your own schema, you must have the CREATE TABLE system privilege. To create a table in another user's schema, you must have the CREATE ANY TABLE system privilege. Also, the owner of the schema to contain the table must have either space quota on the tablespace to contain the table or the UNLIMITED TABLESPACE system privilege.
In addition to these table privileges, to create an object table or a relational table with an object type column, the owner of the table must have the EXECUTE object privilege in order to access all types referenced by the table, or you must have the EXECUTE ANY TYPE system privilege. These privileges must be granted explicitly and not acquired through a role.
Additionally, if the table owner intends to grant access to the table to other users, then the owner must have been granted the EXECUTE object privilege on the referenced types WITH GRANT OPTION, or have the EXECUTE ANY TYPE system privilege WITH ADMIN OPTION. Without these privileges, the table owner has insufficient privileges to grant access to the table to other users.
To enable a unique or primary key constraint, you must have the privileges necessary to create an index on the table. You need these privileges because Oracle Database creates an index on the columns of the unique or primary key in the schema containing the table.
To specify an edition in the evaluation_edition_clause or the unusable_editions_clause, you must have the USE privilege on the edition.
To specify the zonemap_clause, you must have the permissions necessary to create a zone map. Refer to the "Prerequisites" section in the documentation on CREATE MATERIALIZED ZONEMAP.
To create an external table, you must have the required read and write operating system privileges on the appropriate operating system directories. You must have the READ object privilege on the database directory object corresponding to the operating system directory in which the external data resides. You must also have the WRITE object privilege on the database directory in which the files will reside if you specify a log file or bad file in the opaque_format_spec or if you unload data into an external table from a database table by specifying the AS subquery clause.
To create an XMLType table in a different database schema from your own, you must have not only privilege CREATE ANY TABLE but also privilege CREATE ANY INDEX. This is because a unique index is created on column OBJECT_ID when you create the table. Column OBJECT_ID stores a system-generated object identifier.
See Also:
-
Oracle Database Administrator's Guide for more information about the privileges required to create tables using types
Syntax
create_table::=
(relational_table::=, object_table::=, XMLType_table::=, JSON_Collection_table::= )
relational_table::=
Note:
Each of the clauses following the table name is optional for any given relational table. However, for every table you must at least specify either column names and data types using the relational_properties clause or an AS subquery clause using the table_properties clause.
(relational_properties::=, immutable_table_clauses ,blockchain_table_clauses::= ,physical_properties::=, table_properties::=)
object_table::=
(object_table_substitution::=, object_properties::=, oid_clause::=, oid_index_clause::=, physical_properties::=, table_properties::=)
XMLType_table::=
(XMLType_storage::=, XMLSchema_spec::=, XMLType_virtual_columns::=, oid_clause::=, oid_index_clause::=, physical_properties::=, table_properties::=)
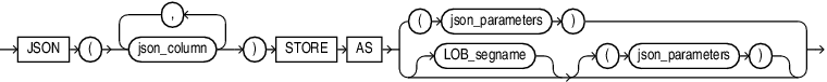
JSON_Collection_table::=
relational_properties::=
Note:
You can specify these clauses in any order with the following exception: You must specify at least one column_definition or virtual_column_definition before you specify period_definition. You can specify period_definition only once.
(column_definition::=, virtual_column_definition::=, period_definition::=, out_of_line_constraint::=, out_of_line_ref_constraint::=, supplemental_logging_props::=, domain_clause::=)
column_definition::=
( datatype_domain::=,identity_clause::=, inline_constraint::=, inline_ref_constraint::=, annotations_clause::=)
encryption_spec::=
annotations_clause::=
For the full syntax and semantics of the annotations_clause see annotations_clause.
identity_clause::=
identity_options::=
virtual_column_definition::=
(datatype::=,evaluation_edition_clause::=, unusable_editions_clause::=, constraint::=)
evaluation_edition_clause::=
unusable_editions_clause::=
period_definition::=
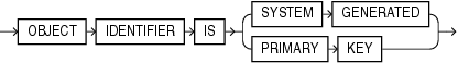
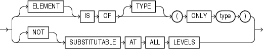
object_table_substitution::=
object_properties::=
(constraint::=, CREATE-TABLE.html#GUID-F9CE0CC3-13AE-4744-A43C-EAC7A71AAAB6__I2126822)
oid_clause::=
oid_index_clause::=
physical_properties::=
(deferred_segment_creation::=, segment_attributes_clause::=, table_compression::=, inmemory_table_clause::=, ilm_clause::=, heap_org_table_clause::=, index_org_table_clause::=, external_table_clause::=)
deferred_segment_creation::=
segment_attributes_clause::=
physical_attributes_clause::=
table_compression::=
inmemory_table_clause::=
inmemory_attributes::=
(inmemory_memcompress::=, inmemory_priority::=, inmemory_distribute::=, inmemory_duplicate::=)
inmemory_memcompress::=
inmemory_priority::=
inmemory_distribute::=
inmemory_duplicate::=
inmemory_spatial::=
inmemory_column_clause::=
ilm_clause::=
ilm_policy_clause::=
(ilm_compression_policy::=, ilm_tiering_policy::=, ilm_inmemory_policy::=)
ilm_compression_policy::=
ilm_inmemory_policy::=
ilm_time_period::=
table_properties::=
(column_properties::=, read_only_clause::=, indexing_clause::=, table_partitioning_clauses::=, attribute_clustering_clause::=, parallel_clause::=, enable_disable_clause::=, row_movement_clause::=, logical_replication_clause::=, flashback_archive_clause::=, subquery::=)
column_properties::=
(object_type_col_properties::=, nested_table_col_properties::=, varray_col_properties::=, LOB_storage_clause::=, LOB_partition_storage::=, XMLType_column_properties::=,json_storage_clause::=)
object_type_col_properties::=
substitutable_column_clause::=
nested_table_col_properties::=
(substitutable_column_clause::=, object_properties::=, physical_properties::=, column_properties::=)
varray_storage_clause::=
LOB_storage_parameters::=
LOB_parameters::=
(LOB_deduplicate_clause::=, LOB_compression_clause::=, logging_clause::=)
Note:
Several of the LOB parameters are no longer needed if you are using SecureFiles for LOB storage. Refer to LOB_storage_parameters for more information.
LOB_retention_clause::=
LOB_deduplicate_clause::=
LOB_compression_clause::=
logging_clause::=
LOB_partition_storage::=
(LOB_storage_clause::=, varray_col_properties::=, LOB_partitioning_storage::=)
LOB_partitioning_storage::=
XMLType_column_properties::=
XMLSchema_spec::=
XMLType_virtual_columns::=
logical_replication_clause::=
flashback_archive_clause::=
heap_org_table_clause::=
(table_compression::=, inmemory_table_clause::=, ilm_clause::=)
index_org_table_clause::=
(mapping_table_clauses::=, prefix_compression::=, index_org_overflow_clause::=)
mapping_table_clauses::=
index_compression::=
prefix_compression::=
iot_advanced_compression::=
advanced_index_compression::=
index_org_overflow_clause::=
supplemental_logging_props::=
supplemental_log_grp_clause::=
supplemental_id_key_clause::=
domain_clause::=
immutable_table_clauses::=
immutable_table_no_drop_clause::=
immutable_table_no_delete_clause::=
immutable_row_version_clause::=
immutable_data_format_clause::=
blockchain_row_retention_clause::=
blockchain_hash_clause::=
blockchain_row_version_user_chain_clause::=
blockchain_system_chains_clause::=
blockchain_data_format_clause::=
external_table_clause::=
external_table_data_props::=
(opaque_format_spec: This clause specifies the access parameters for the ORACLE_LOADER, ORACLE_DATAPUMP, ORACLE_HDFS, and ORACLE_HIVE access drivers. See Oracle Database Utilities for descriptions of these parameters.)
read_only_clause::=
indexing_clause::=
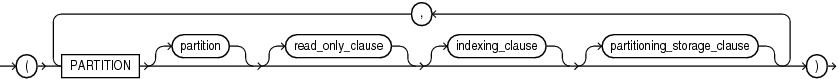
table_partitioning_clauses::=
(range_partitions::=, list_partitions::=, hash_partitions::=, composite_range_partitions::=, composite_list_partitions::= composite_hash_partitions::=, reference_partitioning::=, system_partitioning::=, consistent_hash_partitions::=, directory_based_partitions::=,composite_directory_based_partitions::=,consistent_hash_with_subpartitions::=, partitionset_clauses::=)
range_partitions::=
(range_values_clause::=, table_partition_description::=, external_part_subpart_data_props::=)
external_part_subpart_data_props::=
individual_hash_partitions::=
(read_only_clause::=, indexing_clause::=, partitioning_storage_clause::=)
hash_partitions_by_quantity::=
list_partitions::=
(list_values_clause::=, table_partition_description::=, external_part_subpart_data_props::=)
composite_range_partitions::=
(subpartition_by_range::=. subpartition_by_list::=, subpartition_by_hash::=, range_partition_desc::=)
composite_hash_partitions::=
(subpartition_by_range::=, subpartition_by_list::=, subpartition_by_hash::=, individual_hash_partitions::=, hash_partitions_by_quantity::=)
composite_list_partitions::=
(subpartition_by_range::=. subpartition_by_list::=, subpartition_by_hash::=, list_partition_desc::=)
reference_partition_desc::=
system_partitioning::=
consistent_hash_partitions::=
directory_based_partitions::=
composite_directory_based_partitions::=
directory_partition_desc::=
consistent_hash_with_subpartitions::=
partitionset_clauses::=
range_partitionset_clause::=
range_partitionset_desc::=
list_partitionset_clause::=
list_partitionset_desc::=
range_partition_desc::=
(range_values_clause::=, table_partition_description::=, range_subpartition_desc::=, list_subpartition_desc::=, individual_hash_subparts::=, hash_subparts_by_quantity::=)
list_partition_desc::=
(list_values_clause::=, table_partition_description::=, range_subpartition_desc::=, list_subpartition_desc::=, individual_hash_subparts::=, hash_subparts_by_quantity::=)
subpartition_template::=
(range_subpartition_desc::=, list_subpartition_desc::=, individual_hash_subparts::=)
subpartition_by_range::=
subpartition_by_list::=
range_subpartition_desc::=
(range_values_clause::=, read_only_clause::=, indexing_clause::=, partitioning_storage_clause::=, external_part_subpart_data_props::=)
list_subpartition_desc::=
(list_values_clause::=, read_only_clause::=, indexing_clause::=, partitioning_storage_clause::=, external_part_subpart_data_props::=)
individual_hash_subparts::=
(read_only_clause::=, indexing_clause::=, partitioning_storage_clause::=)
hash_subparts_by_quantity::=
range_values_clause::=
list_values::=
table_partition_description::=
(deferred_segment_creation::=, read_only_clause::=, indexing_clause::=, segment_attributes_clause::=, table_compression::=, prefix_compression::=, inmemory_clause::=, segment_attributes_clause::=, LOB_storage_clause::=, varray_col_properties::=, nested_table_col_properties::=)
partitioning_storage_clause::=
(table_compression::=, index_compression::=, inmemory_clause::=, LOB_partitioning_storage::=)
inmemory_clause::=
attribute_clustering_clause::=
(clustering_join::=, cluster_clause::=, clustering_when::=, zonemap_clause::=)
clustering_join::=
cluster_clause::=
clustering_columns::=
clustering_column_group::=
clustering_when::=
zonemap_clause::=
enable_disable_clause::=
(using_index_clause::=, exceptions_clause not supported in CREATE TABLE statements)
using_index_clause::=
index_properties::=
(global_partitioned_index::=, local_partitioned_index::=—part of CREATE INDEX, index_attributes::=, domain_index_clause and XMLIndex_clause: not supported in using_index_clause)
index_attributes::=
(physical_attributes_clause::=, logging_clause::=, index_compression::=, partial_index_clause and parallel_clause: not supported in using_index_clause)
memoptimize_write_clause
Semantics
GLOBAL TEMPORARY
Specify GLOBAL TEMPORARY to create a temporary table, whose definition is visible to all sessions with appropriate privileges. The data in a temporary table is visible only to the session that inserts the data into the table.
When you first create a temporary table, its metadata is stored in the data dictionary, but no space is allocated for table data. Space is allocated for the table segment at the time of the first DML operation on the table. The temporary table definition persists in the same way as the definitions of regular tables, but the table segment and any data the table contains are either session-specific or transaction-specific data. You specify whether the table segment and data are session- or transaction-specific with the ON COMMIT clause.
You can perform DDL operations (such as ALTER TABLE, DROP TABLE, CREATE INDEX) on a temporary table only when no session is bound to it. A session becomes bound to a temporary table with an INSERT operation on the table. A session becomes unbound to a temporary table with a TRUNCATE statement or at session termination, or, for a transaction-specific temporary table, by issuing a COMMIT or ROLLBACK statement.
PRIVATE TEMPORARY
Specify PRIVATE TEMPORARY to create a private temporary table.
A private temporary table differs from a temporary table in that its definition and data are visible only within the session that created it.
Use the ON COMMIT clause to define the scope of a private temporary table: either transaction or session.
The ON COMMIT clause used with the keywords DROP DEFINITION creates a transaction-specific table whose data and definition are dropped when the transaction commits. This is the default behavior.
The ON COMMIT clause used with keywords PRESERVE DEFINITION creates a session-specific table whose definition is preserved when the transaction commits.
See here for usage details of the ON COMMIT clause.
Three DDL statements are supported for private temporary tables: CREATE, DROP, and TRUNCATE.
Restrictions on Temporary Tables
Temporary tables are subject to the following restrictions:
-
Temporary tables cannot be partitioned, clustered, or index organized.
-
You cannot specify any foreign key constraints on temporary tables.
-
Temporary tables cannot contain columns of nested table.
-
You cannot specify the following clauses of the
LOB_storage_clause:TABLESPACE,storage_clause, orlogging_clause. -
Parallel
UPDATE,DELETEandMERGEare not supported for temporary tables. -
The only part of the
segment_attributes_clauseyou can specify for a temporary table isTABLESPACE, which allows you to specify a single temporary tablespace. -
Distributed transactions are not supported for temporary tables.
-
A temporary table cannot contain
INVISIBLEcolumns.
Restrictions on Private Temporary Tables
In addition to the general limitations of temporary tables, private temporary tables are subject to the following restrictions:
You must be a user other than SYS to create private temporary tables.
You cannot specify the following constraints on private temporary tables that are permitted on global temporary tables:
-
PRIMARY KEYconstraint -
UNIQUEconstraint -
CHECKconstraint -
NOT NULLconstraint -
The name of private temporary tables must always be prefixed with whatever is defined with the
init.oraparameterPRIVATE_TEMP_TABLE_PREFIX. The default isORA$PTT_. -
You cannot create indexes, materialized views, or zone maps on private temporary tables.
-
You cannot define column with default values.
-
You cannot reference private temporary tables in any permanent object, e.g. views or triggers.
-
Private temporary tables are not visible through database links.
-
You cannot associate table columns of private temporary tables with a domain using
CREATE TABLE. Doing so results in the following error:Cannot associate a private temporary table with a domain.
See Also:
Oracle Database Concepts for information on temporary tables and "Creating a Table: Temporary Table Example"
SHARDED
Specify SHARDED to create a sharded table.
This clause is valid only if you are using Oracle Sharding, which is a data tier architecture in which data is horizontally partitioned across independent databases. Each database in such configuration is called a shard. All of the shards together make up a single logical database, which is referred to as a sharded database (SDB). Horizontal partitioning involves splitting a table across shards so that each shard contains the table with the same columns but a different subset of rows. A table split up in this manner is called a sharded table.
When you create a sharded table, you must specify a tablespace set in which to create the table. There is no default tablespace set for sharded tables. See CREATE TABLESPACE SET for more information.
Oracle Sharding is based on the Oracle Partitioning feature. Therefore, a sharded table must be a partitioned or composite-partitioned table. When creating a sharded table, you must specify one of the table_partitioning_clauses. See table_partitioning_clauses for the full semantics of these clauses.
Restrictions on Sharded Tables
The following restrictions apply to sharded tables:
-
In system-managed sharding you can create multiple root tables (and therefore table families) without throwing
ORA-02530, when theCREATE SHARDED TABLEstatement does not contain aPARTITION BY REFERENCEorPARENTclause and there is already a root table in existence. -
A sharded table cannot be a temporary table or an index-organized table.
-
A sharded table cannot contain a nested table column or an identity column.
-
You cannot specify a tablespace for a sharded system or a composite sharded table with the
TABLESPACEclause, because system or composite sharded tables require tablespace sets. -
You cannot create tablespace sets in a user-defined sharding environment.
-
A sharded tablespace is required for sharded tables. Normal tablespaces are not supported.
-
You cannot specify the same tablespace for multiple partitions of the sharded table. This rule applies to subpartitions also. The same tablespace cannot be specified for subpartitions belonging to different partitions of a sharded table.
-
You must specify a tablespace per partition of non-reference partitioned sharded tables.
-
For user defined sharding the partition method must be range or list. Autolist and Interval partitioning is not supported.
-
The list partition method can only have one partitioning column.
-
Default partitions are not supported in list partitioned tables.
-
NULL partitions are not supported in list partitioned tables.
-
A primary key constraint defined on a sharded table must contain the sharding columns. A foreign key constraint on a column of a sharded table referencing a duplicated table column is not supported.
-
System partitioning and interval-range partitioning are not supported for sharded tables.
-
You cannot specify a virtual (expression) column in a sharded table in the
PARTITIONBYorPARTITIONSETBYclauses. -
XMLTypecolumns for sharded tables are defaulted toTRANSPORTABLE BINARY XML, which is the only storage type allowed. Any other storage clause forXMLTypewill throw an error.
DUPLICATED
This clause is valid only if you are using Oracle Sharding. Specify DUPLICATED to create a duplicated table, which is duplicated on all shards. It can be a nonpartitioned table or partitioned table.
Duplicated tables are not tied to any table family.
Restrictions on Duplicated Tables
The following restrictions apply to duplicated tables:
-
A duplicated table cannot contain a
LONGcolumn. -
The maximum number of non-primary key columns in a duplicated table is 999.
-
XMLTypecolumns for duplicated tables are defaulted toTRANSPORTABLE BINARY XML, which is the only storage type allowed. Any other storage clause forXMLTypewill throw an error. -
A duplicated table cannot be a temporary table.
-
A duplicated table cannot be a reference-partitioned table or a system-partitioned table.
-
You cannot specify
NOLOGGINGorPARALLELfor a duplicated table. -
You cannot enable a duplicated table for the In-Memory Column Store.
IMMUTABLE
Specify the IMMUTABLE keyword to create an append-only table that protects data from unauthorized modification by insiders.
You can create a blockchain table that emphasizes its immutability by using the keywords IMMUTABLE BLOCKCHAIN in CREATE TABLE.
You must specify the mandatory immutable_table_clauses when you create an immutable table using the CREATE IMMUTABLE TABLE statement.
Prerequistes
-
The
COMPATIBLEinitialization parameter must be set to 19.11.0.0 or higher. -
The
CREATE TABLEsystem privilege is required to create immutable tables in your own schema. TheCREATE ANY TABLEsystem privilege is required to create immutable tables in another user's schema. -
The
NO DROPandNO DELETEclauses are mandatory.
BLOCKCHAIN
Specify the BLOCKCHAIN keyword to create a blockchain table.
You must specify the mandatory blockchain_table_clauses when you create a blockchain table using the CREATE BLOCKCHAIN TABLE statement.
When you create a blockchain table, an entry is created in the dictionary table blockchain_table$ owned by SYS .
Restrictions
The following CREATE TABLE clauses are disallowed with the creation of blockchain tables:
-
ORGANIZATION INDEX -
ORGANIZATION EXTERNAL -
NESTED TABLE
IF NOT EXISTS
Specifying IF NOT EXISTS has the following effects:
-
If the table does not exist, a new table is created at the end of the statement.
-
If the table exists, this is the table you have at the end of the statement. A new one is not created because the older table is detected.
Using IF EXISTS with CREATE TABLE results in ORA-11543: Incorrect IF NOT EXISTS clause for CREATE statement.
schema
Specify the schema to contain the table. If you omit schema, then the database creates the table in your own schema.
table
Specify the name of the table or object table to be created. The name must satisfy the requirements listed in "Database Object Naming Rules".
See Also:
Oracle Database Administrator’s Guide for more on sharded tables.
SHARING
This clause applies only when creating a table in an application root. This type of table is called an application common object and its data can be shared with the application PDBs that belong to the application root. To determine how the table data is shared, specify one of the following sharing attributes:
-
METADATA- A metadata link shares the table’s metadata, but its data is unique to each container. This type of table is referred to as a metadata-linked application common object. -
DATA- A data link shares the table, and its data is the same for all containers in the application container. Its data is stored only in the application root. This type of table is referred to as a data-linked application common object. -
EXTENDEDDATA- An extended data link shares the table, and its data in the application root is the same for all containers in the application container. However, each application PDB in the application container can store data that is unique to the application PDB. For this type of table, data is stored in the application root and, optionally, in each application PDB. This type of table is referred to as an extended data-linked application common object. -
NONE- The table is not shared.
If you omit this clause, then the database uses the value of the DEFAULT_SHARING initialization parameter to determine the sharing attribute of the table. If the DEFAULT_SHARING initialization parameter does not have a value, then the default is METADATA.
When creating a relational table, you can specify METADATA, DATA, EXTENDED DATA, or NONE.
When creating an object table or an XMLTYPE table, you can specify only METADATA or NONE.
You cannot change the sharing attribute of a table after it is created.
See Also:
-
Oracle Database Reference for more information on the
DEFAULT_SHARINGinitialization parameter -
Oracle Database Administrator’s Guide for complete information on creating application common objects
relational_table
This clause lets you create a relational table.
relational_properties
The relational properties describe the components of a relational table.
column_definition
The column_definition lets you define the characteristics of the column.
Specifying column_definition with AS subquery
If you specify the AS subquery clause, and each column returned by subquery has a column name or is an expression with a specified column alias, then you can omit the column_definition clause. In this case, the names of the columns of table are the same as the names of the columns returned by subquery. The exception is creating an index-organized table, for which you must specify the column_definition clause, because you must designate a primary key column. Regardless of the table type, if you specify the column_definition clause and the AS subquery clause, then you must omit datatype from the column_definition clause.
Specify the name of a column of the table. The name must satisfy the requirements listed in "Database Object Naming Rules".
If you also specify AS subquery, then you can omit column and datatype unless you are creating an index-organized table. If you specify AS subquery when creating an index-organized table, then you must specify column, and you must omit datatype.
The absolute maximum number of columns in a table is 1000, if the MAX_COLUMNS initialization parameter = STANDARD, or 4096 columns if MAX_COLUMNS = EXTENDED. See Oracle Database Reference for more on the MAX_COLUMNS initialization parameter.
When you create an object table or a relational table with columns of object, nested table, varray, or REF type, Oracle Database maps the columns of the user-defined types to relational columns, in effect creating hidden columns that count toward the 1000-column limit. A relational column that stores a user-defined type attribute inherits the collation property of the attribute. In Oracle Database 12c Release 2 (12.2), user-defined types are created using the pseudo-collation property USING_NLS_COMP and their corresponding relational columns inherit this property.
datatype_domain
datatype
Specify the data type of a column in datatype.
In general, you must specify datatype. However, the following exceptions apply:
-
You must omit
datatypeif you specify theASsubqueryclause. -
You can also omit
datatypeif the statement designates the column as part of a foreign key in a referential integrity constraint. Oracle Database automatically assigns to the column the data type of the corresponding column of the referenced key of the referential integrity constraint.
Restrictions on Table Column Data Types
-
Do not create a table with
LONGcolumns. Use LOB columns (CLOB,NCLOB,BLOB) instead.LONGcolumns are supported only for backward compatibility. -
You can specify a column of type
ROWID, but Oracle Database does not guarantee that the values in such columns are valid rowids.
See Also:
"Data Types" for information on LONG columns and on Oracle-supplied data types
You can specify a user-defined data type as non-persistable when creating or altering the data type. Instances of non-persistable types cannot persist on disk. See CREATE TYPE for more on user-defined data types declared as non-persistable types.
domain_clause
Use this clause to associate columns with a domain. You can associate non-strict domains with a table column with a compatibile type with any limit. For example, a number(10) domain can be assigned to columns with number(9) or number(11). For strict domains you can only associate their columns with table columns with a compatible type and identical type limits. For example, a number(10) domain column can only be assigned to numeric columns with precision 10, like decimal(10) or numeric(10).
The position of columns in this clause is the same as those in the domain. The number of columns listed must be the same as in domain_name.
Each column can belong to at most one domain. If a column is in two or more domains, the statement will error.
If you specify the data type, you must use the DOMAIN keyword. You can omit the DOMAIN keyword, if you omit the data type and just use the domain owner or domain name.
USING
The USING clause defines the discriminant columns in flexible domains. This clause is mandatory when associating columns with a flexible domain.
The columns in the DOMAIN and USING clauses must be different.
RESERVABLE
Reservable columns provide for lock-free reservations. Lock-free reservations allow other concurrent transactions updating the reservable columns to proceed without being blocked. Lock-free reservations hold locks on hot data for short intervals of time and only when the value is modified during the commit of the transaction.
Specify RESERVABLE on a column to make it reservable on columns with numeric data type.
Guidelines and Restrictions for Reservable Columns
-
The schema definition of user tables declares the reservable columns with the
RESERVABLEkeyword. -
A reservable column can be specified only on columns of the following numeric data types:
NUMBER,INTEGER, andFLOAT. -
A reservable column cannot be a Primary Key or an identity column (or virtual (expression) column) because the reservable column is an aggregate type.
-
A user table can have at most ten reservable columns.
-
User tables that have reservable columns must have a Primary Key.
-
Indexes are not supported on reservable columns.
-
Composite reservable columns are not allowed. Reservable columns can be included only in
CHECKconstraints expression. -
The
CHECKconstraint can be at the column-level or table-level. User-defined operational constraints are used for reservable columns to ensure application correctness. -
Partitioning cannot be made on reservable columns. Transactions with pending reservations must finalize before you can drop the reservable column or mark the column as
UNUSED.
See Also:
-
Using Lock-Free Reservation of the Database Development Guide.
-
Columns section in Tables and Table Clusters of Database Concepts.
COLLATE
The COLLATE clause lets you specify a data-bound collation for the column.
For column_collation_name, specify a valid named collation or pseudo-collation. For columns of data type CLOB or NCLOB, the only allowed value for column_collation_name is the pseudo-collation USING_NLS_COMP.
If you omit this clause, then the column is assigned:
-
the pseudo-collation
USING_NLS_COMP, if the column has the data typeCLOBorNCLOB, or -
the collation of the corresponding parent key column, if the column belongs to a foreign key, or
-
the default collation for the table as it stands at the time the column is created.
Refer to the DEFAULT COLLATION clause for more information on the default collation for a table.
You can specify the COLLATE clause only if the COMPATIBLE initialization parameter is set to 12.2 or greater, and the MAX_STRING_SIZE initialization parameter is set to EXTENDED.
SORT
The SORT keyword is valid only if you are creating this table as part of a hash cluster and only for columns that are also cluster columns.
Table rows are hashed into buckets on cluster key columns without SORT, and then sorted in each bucket on the columns with this clause. This may improve response time during subsequent operations on the clustered data.
See Also:
-
"CLUSTER Clause" for information on creating a cluster table
VISIBLE | INVISIBLE
Use this clause to specify whether column is VISIBLE or INVISIBLE. The default is VISIBLE.
INVISIBLE columns are user-specified hidden columns. To display or assign a value to an INVISIBLE column, you must specify its name explicitly. For example:
-
The
SELECT*syntax will not display anINVISIBLEcolumn. However, if you include anINVISIBLEcolumn in the select list of aSELECTstatement, then the column will be displayed. -
You cannot implicitly specify a value for an
INVISIBLEcolumn in theVALUESclause of anINSERTstatement. You must specify theINVISIBLEcolumn in the column list. -
You must explicitly specify an
INVISIBLEcolumn in Oracle Call Interface (OCI) describes. -
You can configure SQL*Plus to allow
INVISIBLEcolumn information to be viewed with theDESCRIBEcommand. Refer to SQL*Plus User's Guide and Reference for more information.
Notes on VISIBLE and INVISIBLE Columns
The following notes apply to VISIBLE and INVISIBLE columns:
-
An
INVISIBLEcolumn can be used as a partitioning key when specified as part ofCREATETABLE. -
You can specify
INVISIBLEcolumns in acolumn_expression. -
A virtual (expression) column can be an
INVISIBLEcolumn. -
PL/SQL
%ROWTYPEattributes do not showINVISIBLEcolumns. -
The
COLUMN_IDcolumn of theALL_,DBA_, andUSER_TAB_COLUMNSdata dictionary views determines the order in which aSELECT*query returns columns for a table, view, or materialized view. The value ofCOLUMN_IDis NULL forINVISIBLEcolumns. When you make an invisible column visible, it will be assigned the next highest availableCOLUMN_IDvalue. When you make a visible column invisible, itsCOLUMN_IDvalue is set to NULL andCOLUMN_IDis decremented by 1 for any columns with a higherCOLUMN_ID.
Restrictions on VISIBLE and INVISIBLE Columns
The following restrictions apply to VISIBLE and INVISIBLE columns:
-
INVISIBLEcolumns are not supported in external tables, cluster tables, or temporary tables. -
You cannot make a system-generated hidden column visible.
Note:
To determine whether a column is a system-generated hidden column, query the
HIDDEN_COLUMNandUSER_GENERATEDcolumns of theALL_,DBA_, andUSER_TAB_COLSdata dictionary views. Refer to Oracle Database Reference for more information.
DEFAULT
The DEFAULT clause lets you specify a value to be assigned to the column if a subsequent INSERT statement omits a value for the column. The data type of the expression must match the data type specified for the column. The column must also be large enough to hold this expression.
The DEFAULT expression can include any SQL function as long as the function does not return a literal argument, a column reference, or a nested function invocation.
The DEFAULT expression can include the sequence pseudocolumns CURRVAL and NEXTVAL, as long as the sequence exists and you have the privileges necessary to access it. Users who perform subsequent inserts that use the DEFAULT expression must have the INSERT privilege on the table and the SELECT privilege on the sequence. If the sequence is later dropped, then subsequent INSERT statements where the DEFAULT expression is used will result in an error. If you do not fully qualify the sequence by specifying the sequence owner, for example, SCOTT.SEQ1, then Oracle Database will default the sequence owner to be the user who issues the CREATE TABLE statement. For example, if user MARY creates SCOTT.TABLE and refers to a sequence that is not fully qualified, such as SEQ2, then the column will use sequence MARY.SEQ2. Synonyms on sequences undergo a full name resolution and are stored as the fully qualified sequence in the data dictionary; this is true for public and private synonyms. For example, if user BETH adds a column referring to public or private synonym SYN1 and the synonym refers to PETER.SEQ7, then the column will store PETER.SEQ7 as the default.
Restrictions on Default Column Values
Default column values are subject to the following restrictions:
-
A
DEFAULTexpression cannot contain references to PL/SQL functions or to other columns, the pseudocolumnsLEVEL,PRIOR, andROWNUM, or date constants that are not fully specified. -
The expression can be of any form except a scalar subquery expression.
See Also:
"About SQL Expressions" for the syntax of expr
ON NULL
If you specify the ON NULL clause, then Oracle Database assigns the DEFAULT column value when a subsequent INSERT statement attempts to assign a value that evaluates to NULL.
When you specify ON NULL, the NOT NULL constraint and NOT DEFERRABLE constraint state are implicitly specified. If you specify an inline constraint that conflicts with NOT NULL and NOT DEFERRABLE, then an error is raised.
If you specify DEFAULT ON NULL FOR INSERT AND UPDATE, the DEFAULT ON NULL semantics applies for INSERT, including the insert branch of merge and multi-table insert and UPDATE, including the update branch of merge.
If you specify DEFAULT ON NULL FOR INSERT ONLY, it is equivalent to DEFAULT ON NULL. It means that DEFAULT ON NULL semantics will apply for INSERT including the insert branch of merge and multi-table insert only.
In before-row DML triggers, :new.column-name shows the defaulted value, and you can override the default value in the trigger. If a column is defined as DEFAULT ON NULL FOR INSERT AND UPDATE and the trigger updates the value to NULL, then DEFAULT ON NULL semantics will not apply – i.e. NULL will not be converted to the column default value.
In the following trigger, column c2 has DEFAULT ON NULL semantics. When the trigger is executed, an error is raised since it sets c2 to NULL:
create or replace trigger t1_t before insert or update on t1 for each row begin :new.c2 := NULL; end;
Restriction on the ON NULL Clause
You cannot specify this clause for an object type column or a REF column.
annotations_clause
The annotation_name is an identifier that can have up to 4000 characters. If the annotation name is a reserved word it must be provided in double quotes. When a double quoted identifier is used, the identifier can also contain whitespace characters. However, identifiers that contain only whitespace characters are not accepted.
For examples see Add Annotations at Table Creation: Example
For the full semantics of the annotations clause see annotations_clause.
identity_clause
Use this clause to specify an identity column. The identity column will be assigned an increasing or decreasing integer value from a sequence generator for each subsequent INSERT statement. You can use the identity_options clause to configure the sequence generator.
To create an identity column in a schema other than your own, you must have the CREATE ANY TABLE, CREATE ANY SEQUENCE, and SELECT ANY SEQUENCE system privileges.
ALWAYS
If you specify ALWAYS, then Oracle Database always uses the sequence generator to assign a value to the column. If you attempt to explicitly assign a value to the column using INSERT or UPDATE, then an error will be returned. This is the default.
BY DEFAULT
If you specify BY DEFAULT, then Oracle Database uses the sequence generator to assign a value to the column by default, but you can also explicitly assign a specified value to the column. If you specify ON NULL, then Oracle Database uses the sequence generator to assign a value to the column when a subsequent INSERT statement attempts to assign a value that evaluates to NULL. See column_definition ON NULL for full semantics.
identity_options
Use the identity_options clause to configure the sequence generator. The identity_options clause has the same parameters as the CREATE SEQUENCE statement. Refer to CREATE SEQUENCE for a full description of these parameters and characteristics. The exception is START WITH LIMIT VALUE, which is specific to identity_options and can only be used with ALTER TABLE MODIFY. Refer to identity_options for more information.
Note:
When you create an identity column, Oracle recommends that you specify the CACHE clause with a value higher than the default of 20 to enhance performance.
Restrictions on Identity Columns
Identity columns are subject to the following restrictions:
-
You can specify only one identity column per table.
-
If you specify
identity_clause, then you must specify a numeric data type fordatatypein thecolumn_definitionclause. You cannot specify a user-defined data type. -
If you specify
identity_clause, then you cannot specify theDEFAULTclause in thecolumn_definitionclause. -
When you specify
identity_clause, theNOTNULLconstraint andNOTDEFERRABLEconstraint state are implicitly specified. If you specify an inline constraint that conflicts withNOTNULLandNOTDEFERRABLE, then an error is raised. -
If an identity column is encrypted, then the encryption algorithm may be inferred. Oracle recommends that you use a strong encryption algorithm on identity columns.
-
CREATETABLEASSELECTwill not inherit the identity property on a column.
encryption_spec
Starting with Oracle Database 23ai, the Transparent Data Encryption (TDE) decryption libraries for the GOST and SEED algorithms are deprecated, and encryption to GOST and SEED are desupported.
GOST 28147-89 has been deprecated by the Russian government, and SEED has been deprecated by the South Korean government. If you need South Korean government-approved TDE cryptography, then use ARIA instead. If you are using GOST 28147-89, then you must decrypt and encrypt with another supported TDE algorithm. The decryption algorithms for GOST 28147-89 and SEED are included in Oracle Database 23ai, but are deprecated, and the GOST encryption algorithm is desupported with Oracle Database 23ai. If you are using GOST or SEED for TDE encryption, then Oracle recommends that you decrypt and encrypt with another algorithm before upgrading to Oracle Database 23ai. However, with the exception of the HP Itanium platform, the GOST and SEED decryption libraries are available with Oracle Database 23ai, so you can also decrypt after upgrading.
The ENCRYPT clause lets you use the Transparent Data Encryption (TDE) feature to encrypt the column you are defining. You can encrypt columns of type CHAR, NCHAR, VARCHAR2, NVARCHAR2, NUMBER, DATE, LOB, and RAW. The data does not appear in its encrypted form to authorized users, such as the user who encrypts the column.
Note:
Column encryption requires that a system administrator with appropriate privileges has initialized the security module, opened a keystore, and set an encryption key. Refer to Transparent Data Encryption for general information about column encryption and to security_clauses for related ALTER SYSTEM statements.
USING 'encrypt_algorithm'
Use this clause to specify the name of the algorithm to be used. Valid algorithms are AES256, AES192, AES128 and 3DES168. If the COMPATIBLE initialization parameter is set to 12.2 or higher, then the following algorithms are also valid: ARIA128, ARIA192, ARIA256, GOST256, and SEED128. If you omit this clause, then the database uses AES192. If you encrypt more than one column in the same table, and if you specify the USING clause for one of the columns, then you must specify the same encryption algorithm for all the encrypted columns.
IDENTIFIED BY password
If you specify this clause, then the database derives the column key from the specified password.
'integrity_algorithm'
Use this clause to specify the integrity algorithm to be used. Valid integrity algorithms are SHA-1 and NOMAC.
-
If you specify
SHA-1, then TDE uses the Secure Hash Algorithm (SHA-1) and adds a 20-byte Message Authentication Code (MAC) to each encrypted value for integrity checking. This is the default. -
If you specify
NOMAC, then TDE does not add a MAC and does not perform the integrity check. This saves 20 bytes of disk space per encrypted value. Refer to Transparent Data Encryption for more information on usingNOMACto save disk space and improve performance.
All encrypted columns in a table must use the same integrity algorithm. If you already have a table column using the SHA-1 algorithm, then you cannot use the NOMAC parameter to encrypt another column in the same table. Refer to the REKEY encryption_spec clause of ALTER TABLE to learn how to change the integrity algorithm used by all encrypted columns in a table.
SALT | NO SALT
Specify SALT to instruct the database to append a random string, called "salt," to the clear text of the column before encrypting it. This is the default.
Specify NO SALT to prevent the database from appending salt to the clear text of the column before encrypting it.
The following considerations apply when specifying SALT or NO SALT for encrypted columns:
-
If you want to use the column as an index key, then you must specify
NOSALT. Refer to Transparent Data Encryption for a description of "salt" in this context. -
If you specify table compression for the table, then the database does not compress the data in encrypted columns with
SALT.
You cannot specify SALT or NO SALT for LOB encryption.
Restrictions on encryption_spec
The following restrictions apply to column encryption:
-
Transparent Data Encryption is not supported by the traditional import and export utilities or by transportable-tablespace-based export. Use the Data Pump import and export utilities with encrypted columns instead.
-
To encrypt a column in an external table, the table must use
ORACLE_DATAPUMPas its access type. -
You cannot encrypt a column in tables owned by
SYS. -
You cannot encrypt a foreign key column.
See Also:
Transparent Data Encryption for more information about Transparent Data Encryption
virtual_column_definition
Use virtual_column_definition to create a virtual column, also known as an expression column. Expression columns can be virtual, meaning not stored on disk, or materialized, meaning stored on disk. Depending on whether such a column is virtual or materialized, the database derives the values on demand at access time (virtual) or by computing the values and storing them on disk at DML time (materialized). Such columns can be used in queries, DML, and DDL statements. They can be indexed, and you can collect statistics on them. Thus, they can be treated just like other columns. Exceptions and restrictions are listed below in "Notes on Virtual (Expression) Columns" and "Restrictions on Virtual (Expression) Columns".
column
For column, specify the name of the virtual (expression) column.
datatype
You can optionally specify the data type of the virtual (expression) column. If you omit datatype, then the database determines the data type of the column based on the data type of the underlying expressions. All Oracle scalar data types and XMLType are supported.
COLLATE
The COLLATE clause lets you specify a data-bound collation for the virtual (expression) column. For column_collation_name, specify a valid named collation or pseudo-collation. If you omit this clause, then the column is assigned the default collation for the table as it stands at the time the column is created, unless the column belongs to a foreign key, in which case it inherits the collation from the corresponding column of the parent key. Refer to the DEFAULT COLLATION clause for more information on the default collation for a table.
You can specify the COLLATE clause only if the COMPATIBLE initialization parameter is set to 12.2 or greater, and the MAX_STRING_SIZE initialization parameter is set to EXTENDED.
VISIBLE | INVISIBLE
Use this clause to specify whether the virtual (expression) column is VISIBLE or INVISIBLE. The default is VISIBLE. For complete information, refer to "VISIBLE | INVISIBLE".
GENERATED ALWAYS
The optional keywords GENERATED ALWAYS are provided for semantic clarity.
column_expression
The AS column_expression clause determines the content of the column. Refer to "Column Expressions" for more information on column_expression.
VIRTUAL
Use VIRTUAL to create an expression column that is virtual.
MATERIALIZED
Use MATERIALIZED to store the computed value of an expression column on disk. Rather than computing the values at access time, the computation will take place at DML time.
An alternate way to specify a materialized expression column is to use the keyword STORED instead of MATERIALIZED.
evaluation_edition_clause
You must specify this clause if column_expression refers to an editioned PL/SQL function. Use this clause to specify the edition that is searched during name resolution of the editioned PL/SQL function—the evaluation edition.
-
Specify
CURRENTEDITIONto search the edition in which this DDL statement is executed. -
Specify
EDITIONeditionto searchedition. -
Specifying
NULLEDITIONis equivalent to omitting theevaluation_edition_clause.
If you omit the evaluation_edition_clause, then editioned objects are invisible during name resolution and an error will result. If the evaluation edition is dropped, then a subsequent query on the virtual (expression) column will result in an error.
The database does not maintain dependencies on the functions referenced by a virtual (expression) column. Therefore, if a virtual (expression) column refers to a noneditioned function, and the function becomes editioned, then the following operations may raise an error:
-
Querying the virtual (expression) column
-
Updating a row that includes the virtual (expression) column
-
Firing a trigger that accesses the virtual (expression) column
See Also:
Oracle Database Development Guide for more information on specifying the evaluation edition for a virtual (expression) column
unusable_editions_clause
This clause lets you specify that the virtual (expression) column expression is unusable for evaluating queries in one or more editions. The remaining editions form a range of editions in which it is safe for the optimizer to use the virtual (expression) column expression to evaluate queries.
For example, suppose you define a function-based index on the virtual (expression) column. The optimizer can use the function-based index to evaluate queries that contain the virtual (expression) column expression in their WHERE clause. If a query is compiled in an edition that is in the usable range of editions for the virtual (expression) column, then the optimizer will consider using the index to evaluate the query. If a query is compiled in an edition outside the usable range of editions for the virtual (expression) column, then the optimizer will not consider using the index.
See Also:
Oracle Database Concepts for more information on optimization with function-based indexes
UNUSABLE BEFORE Clause
This clause lets you specify that the virtual (expression) column expression is unusable for evaluating queries in the ancestors of an edition.
-
If you specify
CURRENTEDITION, then the virtual (expression) column expression is unusable in the ancestors of the edition in which this DDL statement is executed. -
If you specify
EDITIONedition, then the virtual (expression) column expression is unusable in the ancestors of the specifiededition.
UNUSABLE BEGINNING WITH Clause
This clause lets you specify that the virtual (expression) column expression is unusable for evaluating queries in an edition and its descendants.
-
If you specify
CURRENTEDITION, then the virtual (expression) column expression is unusable in the edition in which this DDL statement is executed and its descendants. -
If you specify
EDITIONedition, then the virtual (expression) column expression is unusable in the specifiededitionand its descendants. -
Specifying
NULLEDITIONis equivalent to omitting theUNUSABLEBEGINNINGWITHclause.
If an edition specified in this clause is subsequently dropped, there is no effect on the virtual (expression) column.
Notes on Virtual (Expression) Columns
-
If
column_expressionrefers to a column on which column-level security is implemented, then the virtual (expression) column does not inherit the security rules of the base column. In such a case, you must ensure that data in the virtual (expression) column is protected, either by duplicating a column-level security policy on the virtual (expression) column or by applying a function that implicitly masks the data. For example, it is common for credit card numbers to be protected by a column-level security policy, while still allowing call center employees to view the last four digits of the credit card number for validation purposes. In such a case, you could define the virtual (expression) column to take a substring of the last four digits of the credit card number. -
A table index defined on a virtual (expression) column is equivalent to a function-based index on the table.
-
You cannot directly update a virtual (expression) column. Thus, you cannot specify a virtual (expression) column in the
SETclause of anUPDATEstatement. However, you can specify a virtual (expression) column in theWHEREclause of anUPDATEstatement. Likewise, you can specify a virtual (expression) column in theWHEREclause of aDELETEstatement to delete rows from a table based on the derived value of the virtual (expression) column. -
A query that specifies in its
FROMclause a table containing a virtual (expression) column is eligible for result caching. Refer to "RESULT_CACHE Hint" for more information on result caching. -
The
column_expressioncan refer to a PL/SQL function if the function is explicitly designatedDETERMINISTICduring its creation. However, if the function is subsequently replaced, definitions dependent on the virtual (expression) column are not invalidated. In such a case, if the table contains data, queries that reference the virtual (expression) column may return incorrect results if the virtual (expression) column is used in the definition of constraints, indexes, or materialized views or for result caching. Therefore, in order to replace the deterministic PL/SQL function for a virtual (expression) column.-
Disable and re-enable any constraints on the virtual (expression) column.
-
Rebuild any indexes on the virtual (expression)column.
-
Fully refresh materialized views accessing the virtual (expression) column.
-
Flush the result cache if cached queries have accessed the virtual (expression) column.
-
Regather statistics on the table.
-
-
A virtual (expression) column can be an
INVISIBLEcolumn. Thecolumn_expressioncan containINVISIBLEcolumns.
Restrictions on Virtual (Expression) Columns
-
You can create virtual (expression) columns only in relational heap tables. virtual (expression) columns are not supported for index-organized, external, object, cluster, or temporary tables.
-
The
column_expressionin theASclause has the following restrictions:-
It cannot refer to another virtual (expression) column by name.
-
Any columns referenced in
column_expressionmust be defined on the same table. -
It can refer to a deterministic user-defined function, but if it does, then you cannot use the virtual (expression) column as a partitioning key column.
-
The output of
column_expressionmust be a scalar value.
See Also:
"Column Expressions" for additional information and restrictions on
column_expression -
-
The virtual (expression) column cannot be an Oracle supplied data type, a user-defined type, or LOB or
LONGRAW. -
You cannot specify a call to a PL/SQL function in the defining expression for a virtual (expression) column that you want to use as a partitioning column.
See Also:
"Adding a Virtual Table Column: Example" and Oracle Database Administrator's Guide for examples of creating tables with virtual (expression) columns
period_definition
Use the period_definition clause to create a valid time dimension for table.
This clause implements Temporal Validity support for table. If you specify this clause, then one column in table, the start time column, contains a start date or timestamp, and another column in table, the end time column, contains an end date or timestamp. These two columns define a valid time dimension for table—that is, a period of time for which each row is considered valid. You can use Oracle Flashback Query to retrieve rows from table based on whether they are considered valid as of a specified time, before a specified time, or during a specified time period.
You can specify at most one valid time dimension when you create a table. You can subsequently add additional valid time dimensions to a table with the add_period_clause of ALTER TABLE.
valid_time_column
Specify the name of the valid time dimension. The name must satisfy the requirements listed in "Database Object Naming Rules". Oracle Database creates an INVISIBLE virtual (expression) column with this name of data type NUMBER in table.
start_time_column and end_time_column
You can optionally specify these clauses as follows:
-
Use
start_time_columnto specify the name of the start time column, which contains the start date or timestamp. -
Use
end_time_columnto specify the name of the end time column, which contains the end date or timestamp.
The names you specify for start_time_column and end_time_column must satisfy the requirements listed in "Database Object Naming Rules".
If you specify these clauses, then you must define start_time_column and end_time_column in the column_definition clause of CREATE TABLE. Each column must be of a datetime data type (DATE, TIMESTAMP, TIMESTAMP WITH TIME ZONE, or TIMESTAMP WITH LOCAL TIME ZONE) and can be VISIBLE or INVISIBLE.
If you do not specify these clauses, then Oracle Database creates a start time column named valid_time_column_START, and an end time column named valid_time_column_END. These columns are of data type TIMESTAMP WITH TIME ZONE and are INVISIBLE.
You can insert and update values in the start time column and end time column as you would any column, with the following considerations:
-
If the value of the start time column is NULL, then the row is considered valid for all time values that occur before, but not including, the value of the end time column.
-
If the value of the end time column is NULL, then the row is considered valid for all time values that occur on or after the value of the start time column.
-
If the value of neither column is NULL, then the value of the start time column must be earlier than the value of the end time column. The row is considered valid for all time values that occur on or after the value of the start time column, and up to, but not including, the value of the end time column.
-
If the value of both columns is NULL, then the row is considered valid for all time values.
Restrictions on Valid Time Dimension Columns
The following restrictions apply to valid time dimension columns:
-
The
valid_time_columnis for internal use only. You cannot perform DDL or DML operations on it with one exception: You can drop the column by using thedrop_period_clauseofALTERTABLE. -
You can drop the start time column and end time column only by using the
drop_period_clauseofALTERTABLE. -
If the start time column and end time column are automatically created by Oracle Database, then they are
INVISIBLEand you cannot subsequently make themVISIBLE.
See Also:
-
Oracle Database Development Guide for more information on Temporal Validity
-
SELECTflashback_query_clause for more information on Oracle Flashback Query -
ALTERTABLEadd_period_clause and drop_period_clause for information how to add and drop a valid time dimension
Constraint Clauses
Use these clauses to create constraints on the table columns. You must specify a PRIMARY KEY constraint for an index-organized table, and it cannot be DEFERRABLE. Refer to constraint for syntax and description of these constraints as well as examples.
inline_ref_constraint and out_of_line_ref_constraint
These clauses let you describe a column of type REF. The only difference between these clauses is that you specify out_of_line_ref_constraint from the table level, so you must identify the REF column or attribute you are defining. Specify inline_ref_constraint as part of the definition of the REF column or attribute.
See Also:
inline_constraint
Use the inline_constraint to define an integrity constraint as part of the column definition.
You can create UNIQUE, PRIMARY KEY, and REFERENCES constraints on scalar attributes of object type columns. You can also create NOT NULL constraints on object type columns and CHECK constraints that reference object type columns or any attribute of an object type column.
out_of_line_constraint
Use the out_of_line_constraint syntax to define an integrity constraint as part of the table definition.
supplemental_logging_props
The supplemental_logging_props clause lets you instruct the database to put additional data into the log stream to support log-based tools.
supplemental_log_grp_clause
Use this clause to create a named log group.
-
The
NOLOGclause lets you omit from the redo log one or more columns that would otherwise be included in the redo for the named log group. You must specify at least one fixed-length column withoutNOLOGin the named log group. -
If you specify
ALWAYS, then during an update, the database includes in the redo all columns in the log group. This is called an unconditional log group (sometimes called an "always log group"), because Oracle Database supplementally logs all the columns in the log group when the associated row is modified. If you omitALWAYS, then the database supplementally logs all the columns in the log group only if any column in the log group is modified. This is called a conditional log group.
You can query the appropriate USER_, ALL_, or DBA_LOG_GROUP_COLUMNS data dictionary view to determine whether any supplemental logging has already been specified.
supplemental_id_key_clause
Use this clause to specify that all or a combination of the primary key, unique key, and foreign key columns should be supplementally logged. Oracle Database will generate either an unconditional log group or a conditional log group. With an unconditional log group, the database supplementally logs all the columns in the log group when the associated row is modified. With a conditional log group, the database supplementally logs all the columns in the log group only if any column in the log group is modified.
-
If you specify
ALLCOLUMNS, then the database includes in the redo log all the fixed-length maximum size columns of that row. Such a redo log is a system-generated unconditional log group. -
If you specify
PRIMARYKEYCOLUMNS, then for all tables with a primary key, the database places into the redo log all columns of the primary key whenever an update is performed. Oracle Database evaluates which columns to supplementally log as follows:-
First the database chooses columns of the primary key constraint, if the constraint is validated or marked
RELYand is not marked asDISABLEDorINITIALLYDEFERRED. -
If no primary key columns exist, then the database looks for the smallest
UNIQUEindex with at least oneNOTNULLcolumn and uses the columns in that index. -
If no such index exists, then the database supplementally logs all scalar columns of the table.
-
-
If you specify
UNIQUECOLUMNS, then for all tables with a unique key or a bitmap index, if any of the unique key or bitmap index columns are modified, the database places into the redo log all other columns belonging to the unique key or bitmap index. Such a log group is a system-generated conditional log group. -
If you specify
FOREIGNKEYCOLUMNS, then for all tables with a foreign key, if any foreign key columns are modified, the database places into the redo log all other columns belonging to the foreign key. Such a redo log is a system-generated conditional log group.
If you specify this clause multiple times, then the database creates a separate log group for each specification. You can query the appropriate USER_, ALL_, or DBA_LOG_GROUPS data dictionary view to determine whether any supplemental logging data has already been specified.
immutable_table_clauses
You must specify this clause when you create an immutable table.
If you do not specify the VERSION using immutable_data_format_clause, a V1 immutable table is created by default.
Example: Create an Immutable Table
The following example creates an immutable table named trade_ledger in your user schema. The immutable table can be dropped only after 40 days of inactivity. Rows cannot be deleted until 100 days after they have been inserted.
CREATE IMMUTABLE TABLE trade_ledger (tr_id NUMBER, user_name VARCHAR2(40), tr_value NUMBER)
NO DROP UNTIL 40 DAYS IDLE
NO DELETE UNTIL 100 DAYS AFTER INSERT;blockchain_table_clauses
When you create a blockchain table, you must specify the blockchain_table_clauses :
-
blockchain_drop_table_clause -
blockchain_row_retention_clause -
blockchain_hash_clause -
blockchain_data_format_clause
blockchain_drop_table_clause
NO DROP [ UNTIL integer DAYS IDLE ]
Use integer to specify the number of days that the blockchain table must be idle (i.e. have no rows inserted). The minimum idle retention period is 0 days, but the recommended idle retention period is 16 days.
You can specify this clause in two ways:
-
NO DROPmeans that the blockchain table cannot be dropped. -
NO DROP UNTIL integer DAYS IDLEmeans that the blockchain table cannot be dropped, if the newest row is less thanintegerof days old.
blockchain_row_retention_clause
NO DELETE [ LOCKED ] | NO DELETE UNTIL integer DAYS AFTER INSERT [LOCKED]
-
integerspecifies the idle retention period for inserted rows before they can be deleted. The minimum idle retention period for inserted rows is 16 days. -
If you specify
LOCKED, then you cannot change the retention period usingALTER TABLE. -
If you do not specify
LOCKEDin the clauseUNTIL number DAYS AFTER INSERT, then you can change the retention period usingALTER TABLE, but only to a value higher than the previous retention period. -
If you specify
NO DELETE LOCKED, then you cannot delete any rows from this table. But you can drop the entire table if the table is inactive for more than the number of days specified in theblockchain_drop_table_clause.
blockchain_hash_clause
HASHING USING sha2_512
You must specify this clause last after blockchain_drop_table_clause and blockchain_row_retention_clause when you create a blockchain table.
You cannot specify this clause to modify a blockchain table using the ALTER TABLE statement.
blockchain_row_version_user_chain_clause
WITH ROW VERSION
This clause is optional and can only be specified on VERSION V2 blockchain tables. You can specify at most three user-defined columns with the clause. The name of the row version sequence identified by row_version_name is used to verify the user chain. The types of the columns are restricted to NUMBER, CHAR, VARCHAR2, and RAW. When the clause is specified, rows with identical values in the specified user-defined columns are sequenced using the Oracle managed hidden column ORABCTAB_ROW_VERSION$.
Example: Row Versions
CREATE BLOCKCHAIN TABLE bank_ledger (bank VARCHAR2(128), account_no NUMBER, deposit_date DATE, deposit_amount NUMBER) NO DROP UNTIL 31 DAYS IDLE NO DELETE LOCKED HASHING USING SHA2_512 WITH ROW VERSION ACCOUNT_NO (bank, account_no) VERSION V2;
AND USER CHAIN
The optional AND USER CHAIN clause can only be specified on VERSION V2 blockchain tables as part of the WITH ROW VERSION clause. It extends the functionality offered by the row versions and links these rows in a separate (user) blockchain. At most three user-defined columns can be specified to define a user chain. The name of the user chain is that specified in the WITH ROW VERSION clause. The sequencing of the rows in the user chain is accomplished using column ORABCTAB_ROW_VERSION$. The crypto hash is maintained in column ORABCTAB_USER_CHAIN_HASH$. Note, that ORABCTAB_USER_CHAIN_HASH$ is not signed in V2 blockchain tables. Only the system crypto hash can be signed (with signature stored in ORABCTAB_SIGNATURE$ or ORABCTAB_DELEGATE_SIGNATURE$ column).
Example: AND USER CHAIN
CREATE BLOCKCHAIN TABLE bank_ledger (bank VARCHAR2(128), account_no NUMBER, deposit_date DATE, deposit_amount NUMBER)
NO DROP UNTIL 31 DAYS IDLE
NO DELETE LOCKED
HASHING USING SHA2_512 WITH ROW VERSION AND USER CHAIN bank_accounts (bank, account_no) VERSION V2;
blockchain_system_chains_clause
Specify this clause to override the default of 32 system chains per instance. The number of system chains configured by this clause must be between 1 and 1024.
blockchain_data_format_clause
You must specify the version when you create a blockchain table, either V1 or V2. Version V2 creates additional Oracle managed hidden columns than V1.
You cannot use ALTER TABLE to convert version from V1 to V2 and vice versa.
Example: HASHING and VERSION
CREATE BLOCKCHAIN TABLE bank_ledger (bank VARCHAR2(128), deposit_date DATE, deposit_amount NUMBER) NO DROP UNTIL 31 DAYS IDLE NO DELETE LOCKED HASHING USING SHA2_512 VERSION V2;
DEFAULT COLLATION
This clause lets you specify the default collation for the table. The default collation is assigned to columns of the table that are of a character data type and are created with this statement or subsequently added to the table with an ALTER TABLE statement. For collation_name, specify a valid named collation or pseudo-collation.
If you omit this clause, then the default collation for the table is set to the effective schema default collation of the schema containing the table. Refer to the DEFAULT_COLLATION clause of ALTER SESSION for more information on the effective schema default collation.
You can override the table’s default collation and assign a data-bound collation to a particular column by specifying the COLLATE clause in the column_definition or virtual_column_definition clause of CREATE TABLE or ALTER TABLE, or the modify_col_properties or modify_virtcol_properties clause of ALTER TABLE.
You can specify the DEFAULT COLLATION clause only if the COMPATIBLE initialization parameter is set to 12.2 or greater, and the MAX_STRING_SIZE initialization parameter is set to EXTENDED.
Restriction on Collation for CLOB and NCLOB Columns
If a column has the data type of CLOB or NCLOB, then its specified collation must be USING_NLS_COMP. The collation of CLOB and NCLOB columns is always USING_NLS_COMP and is not affected by the default collation for the table.
See Also:
Oracle Database Globalization Support Guide for full information on default collations and data-bound collations
ON COMMIT
The ON COMMIT clause is relevant only if you are creating a global temporary table. This clause specifies whether the data in the temporary table persists for the duration of a transaction or a session.
DELETE ROWS
Specify DELETE ROWS for a transaction-specific temporary table. This is the default. Oracle Database will truncate the table (delete all its rows) after each commit.
PRESERVE ROWS
Specify PRESERVE ROWS for a session-specific temporary table. Oracle Database will truncate the table (delete all its rows) when you terminate the session.
You can define the scope of a private temporary table using ON COMMIT. Use DROP DEFINITION to define a transaction-specific table and PRESERVE DEFINITION to define a session-specific table .
DROP DEFINITION
Specify DROP DEFINITION to create a private temporary table whose content and definition are dropped when the transaction commits. The creation of a transaction-specific private temporary table does not issue an implicit commit, but can be issued within an ongoing transaction. The scope of this private temporary table is limited to the ongoing transaction. The scope of this private temporary table is limited to the transaction. This is the default.
PRESERVE DEFINITION
Specify PRESERVE DEFINITION to create a private temporary table whose definition is preserved when the transaction commits. The creation of a session-specific private temporary table issues an implicit commit. The scope of this private temporary table is extended to the session.
physical_properties
The physical properties relate to the treatment of extents and segments and to the storage characteristics of the table.
Use the keyword INTERNAL to indicate an internal partition. This is the default. Use the keyword EXTERNAL to indicate an external partition.
deferred_segment_creation
Use this clause to determine when the database should create the segment(s) for this table:
-
SEGMENTCREATIONDEFERRED: This clause defers creation of the table segment — as well as segments for any LOB columns of the table, any indexes created implicitly as part of table creation, and any indexes subsequently explicitly created on the table — until the first row of data is inserted into the table. At that time, the segments for the table, LOB columns and indexes, and explicitly created indexes are all materialized and inherit any storage properties specified in thisCREATETABLEstatement or, in the case of explicitly created indexes, theCREATEINDEXstatement. These segments are created regardless whether the initial insert operation is uncommitted or rolled back. This is the default value.Caution:
When creating many tables with deferred segment creation, ensure that you allocate enough space for your database so that when the first rows are inserted, there is enough space for all the new segments.
-
SEGMENTCREATIONIMMEDIATE: The table segment is created as part of thisCREATETABLEstatement.
Immediate segment creation is useful, for example, if your application depends upon the object appearing in the DBA_, USER_, and ALL_SEGMENTS data dictionary views, because the object will not appear in those views until the segment is created. This clause overrides the setting of the DEFERRED_SEGMENT_CREATION initialization parameter.
To determine whether a segment has been created for an existing table or its LOB columns or indexes, query the SEGMENT_CREATED column of USER_TABLES, USER_INDEXES, or USER_LOBS.
Notes on Tables Without Segments
The following rules apply to a table whose segment has not yet been materialized:
-
If you create this table with
CREATETABLE...ASsubquery, then if the source table has no rows, segment creation of the new table is deferred. If the source table has rows, then segment creation of the new table is not deferred. -
If you specify
ALTERTABLE...ALLOCATEEXTENTbefore the segment is materialized, then the segment is materialized and then an extent is allocated. However theALLOCATEEXTENTclause in a DDL statement on any indexes of the table will return an error. -
In a DDL statement on the table or its LOB columns or indexes, any specification of
DEALLOCATEUNUSEDis silently ignored. -
ONLINEoperations on indexes of a table or table partition without a segment will silently be disabled; that is, they will proceedOFFLINE. -
If any of the following DDL statements are executed on a table with one or more LOB columns, then the resulting partition(s) or subpartition(s) will be materialized:
-
ALTERTABLESPLIT[SUB]PARTITION -
ALTERTABLEMERGE[SUB]PARTITIONS -
ALTERTABLEADD[SUB]PARTITION(hash partitions only) -
ALTERTABLECOALESCE[SUB]PARTITION(hash partitions only)
-
Restrictions on Deferred Segment Creation
This clause is subject to the following restrictions:
-
You cannot defer segment creation for the following types of tables: clustered tables, global temporary tables, session-specific temporary tables, internal tables, external tables, and tables owned by
SYS,SYSTEM,PUBLIC,OUTLN, orXDB. -
Deferred segment creation is not supported in dictionary-managed tablespaces.
-
Deferred segment creation is not supported in the
SYSTEMtablespace. -
Serializable transactions do not work with deferred segment creation. Trying to insert data into an empty table with no segment created causes an error.
See Also:
Oracle Database Concepts for general information on segment allocation and Oracle Database Reference for more information about the DEFERRED_SEGMENT_CREATION initialization parameter
segment_attributes_clause
The segment_attributes_clause lets you specify physical attributes and tablespace storage for the table.
physical_attributes_clause
The physical_attributes_clause lets you specify the value of the PCTFREE, PCTUSED, and INITRANS parameters and the storage characteristics of the table.
-
For a nonpartitioned table, each parameter and storage characteristic you specify determines the actual physical attribute of the segment associated with the table.
-
For partitioned tables, the value you specify for the parameter or storage characteristic is the default physical attribute of the segments associated with all partitions specified in this
CREATEstatement (and in subsequentALTERTABLE...ADDPARTITIONstatements), unless you explicitly override that value in thePARTITIONclause of the statement that creates the partition.
If you omit this clause, then Oracle Database sets PCTFREE to 10, PCTUSED to 40, and INITRANS to 1.
See Also:
-
physical_attributes_clause and storage_clause for a description of these clauses
Specify the tablespace in which Oracle Database creates the table, object table OIDINDEX, partition, LOB data segment, LOB index segment, or index-organized table overflow data segment. If you omit TABLESPACE, then the database creates that item in the default tablespace of the owner of the schema containing the table.
For a heap-organized table with one or more LOB columns, if you omit the TABLESPACE clause for LOB storage, then the database creates the LOB data and index segments in the tablespace where the table is created.
For an index-organized table with one or more LOB columns, if you omit TABLESPACE, then the LOB data and index segments are created in the tablespace in which the primary key index segment of the index-organized table is created.
For nonpartitioned tables, the value specified for TABLESPACE is the actual physical attribute of the segment associated with the table. For partitioned tables, the value specified for TABLESPACE is the default physical attribute of the segments associated with all partitions specified in the CREATE statement and on subsequent ALTER TABLE ... ADD PARTITION statements, unless you specify TABLESPACE in the PARTITION description.
See Also:
CREATE TABLESPACE for more information on tablespaces
TABLESPACE SET
This clause is valid only when creating a sharded table by specifying the SHARDED keyword of CREATE TABLE. Use this clause to specify the tablespace set in which Oracle Database creates the table.
You can only associate a tablespace set with one table family when you use the CREATE SHARDED TABLE statement. If you try to use a tablespace set with more than one table family, an error will be thrown .
logging_clause
Specify whether the creation of the table and of any indexes required because of constraints, partition, or LOB storage characteristics will be logged in the redo log file (LOGGING) or not (NOLOGGING).The logging attribute of the table is independent of that of its indexes.
This attribute also specifies whether subsequent direct loader (SQL*Loader) and direct-path INSERT operations against the table, partition, or LOB storage are logged (LOGGING) or not logged (NOLOGGING).
Refer to logging_clause for a full description of this clause.
table_compression
The table_compression clause is valid only for heap-organized tables. Use this clause to instruct the database whether to compress data segments to reduce disk use. The COMPRESS clauses enable table compression. The NOCOMPRESS clause disables table compression. The default is NOCOMPRESS.
COMPRESS
Specifying only the keyword COMPRESS is equivalent to specifying ROW STORE COMPRESS BASIC and enables basic table compression.
ROW STORE COMPRESS BASIC
When you enable table compression by specifying either ROW STORE COMPRESS or ROW STORE COMPRESS BASIC, you enable basic table compression. Oracle Database attempts to compress data during direct-path INSERT operations when it is productive to do so. The original import utility (imp) does not support direct-path INSERT, and therefore cannot import data in a compressed format.
Tables with basic table compression use a PCTFREE value of 0 to maximize compression, unless you explicitly set a value for PCTFREE in the physical_attributes_clause.
In earlier releases, basic table compression was enabled using COMPRESS BASIC. This syntax is still supported for backward compatibility.
See Also:
"Conventional and Direct-Path INSERT" for information on direct-path INSERT operations, including restrictions
ROW STORE COMPRESS ADVANCED
When you enable table compression by specifying ROW STORE COMPRESS ADVANCED, you enable Advanced Row Compression. Oracle Database compresses data during all DML operations on the table. This form of compression is recommended for OLTP environments.
Tables with ROW STORE COMPRESS ADVANCED or NOCOMPRESS use the PCTFREE default value of 10, to maximize compress while still allowing for some future DML changes to the data, unless you override this default explicitly.
In earlier releases, Advanced Row Compression was called OLTP table compression and was enabled using COMPRESS FOR OLTP. This syntax is still supported for backward compatibility.
COLUMN STORE COMPRESS FOR { QUERY | ARCHIVE }
When you specify COLUMN STORE COMPRESS FOR QUERY or COLUMN STORE COMPRESS FOR ARCHIVE, you enable Hybrid Columnar Compression. With Hybrid Columnar Compression, data can be compressed during direct-path inserts, conventional inserts, and array inserts. During the load process, data is transformed into a column-oriented format and then compressed. Oracle Database uses a compression algorithm appropriate for the level you specify. In general, the higher the level, the greater the compression ratio. Hybrid Columnar Compression can result in higher compression ratios, at a greater CPU cost. Therefore, this form of compression is recommended for data that is not frequently updated.
COLUMN STORE COMPRESS FOR QUERY is useful in data warehousing environments. Valid values are LOW and HIGH, with HIGH providing a higher compression ratio. The default is HIGH.
COLUMN STORE COMPRESS FOR ARCHIVE uses higher compression ratios than COLUMN STORE COMPRESS FOR QUERY, and is useful for compressing data that will be stored for long periods of time. Valid values are LOW and HIGH, with HIGH providing the highest possible compression ratio. The default is LOW.
Specifying COLUMN STORE COMPRESS is equivalent to specifying COLUMN STORE COMPRESS FOR QUERY HIGH.
Tables with COLUMN STORE COMPRESS FOR QUERY or COLUMN STORE COMPRESS FOR ARCHIVE use a PCTFREE value of 0 to maximize compression, unless you explicitly set a value for PCTFREE in the physical_attributes_clause. For these tables, PCTFREE has no effect for blocks loaded using direct-path INSERT. PCTFREE is honored for blocks loaded using conventional INSERT, and for blocks created as a result of DML operations on blocks originally loaded using direct-path INSERT.
[NO] ROW LEVEL LOCKING
If you specify ROW LEVEL LOCKING, then Oracle Database uses row-level locking during DML operations. This improves the performance of these operations when accessing Hybrid Columnar Compressed data. If you specify NO ROW LEVEL LOCKING, then row-level locking is not used. The default is NO ROW LEVEL LOCKING.
In earlier releases, Hybrid Columnar Compression was enabled using COMPRESS FOR QUERY and COMPRESS FOR ARCHIVE. This syntax is still supported for backward compatibility.
See Also:
Oracle Database Concepts for more information on Hybrid Columnar Compression, which is a feature of certain Oracle storage systems
Notes on Table Compression
You can specify table compression for the following portions of a heap-organized table:
-
For an entire table, in the
physical_propertiesclause ofrelational_tableorobject_table -
For a range partition, in the
table_partition_descriptionof therange_partitionsclause -
For a composite range partition, in the
table_partition_descriptionof therange_partition_descclause -
For a composite list partition, in the
table_partition_descriptionof thelist_partition_descclause -
For a list partition, in the
table_partition_descriptionof thelist_partitionsclause -
For a system or reference partition, in the
table_partition_descriptionof thereference_partition_descclause -
For the storage table of a nested table, in the
nested_table_col_propertiesclauseSee Also:
Oracle Database PL/SQL Packages and Types Reference for information about the
DBMS_COMPRESSIONpackage, which helps you choose the correct compression level for an application, and Oracle Database Administrator's Guide for more information about table compression, including examples
Restrictions on Table Compression
Table compression is subject to the following restrictions:
-
Data segments of BasicFiles LOBs are not compressed. For information on compression of SecureFiles LOBs, see LOB_compression_clause.
-
You cannot drop a column from a table that uses compression, although you can set such a column as unused. All of the operations of the
ALTERTABLE...drop_column_clauseare valid for tables that useROWSTORECOMPRESSADVANCED,COLUMNSTORECOMPRESSFORQUERY, andCOLUMNSTORECOMPRESSFORARCHIVE. -
You cannot specify any type of table compression for an index-organized table, any overflow segment or partition of an overflow segment, or any mapping table segment of an index-organized table.
-
You cannot specify any type of table compression for external tables or for tables that are part of a cluster.
-
You cannot specify any type of table compression for tables with
LONGorLONGRAWcolumns, tables that are owned by theSYSschema and reside in theSYSTEMtablespace, or tables withROWDEPENDENCIESenabled. -
You cannot specify Hybrid Columnar Compression on tables that are enabled for flashback archiving.
-
You cannot specify Hybrid Columnar Compression on the following object-relational features: object tables,
XMLTypetables, columns with abstract data types, collections stored as tables, or OPAQUE types, includingXMLTypecolumns stored as objects. -
When you update a row in a table compressed with Hybrid Columnar Compression, the
ROWIDof the row may change. -
In tables compressed with Hybrid Columnar Compression, updates to a single row may result in locks on multiple rows. Concurrency for write transactions may therefore be affected.
-
If a table compressed with Hybrid Columnar Compression has a foreign key constraint, and you insert data using
INSERTwith theAPPENDhint, then the data will be compressed to a lesser level than is typical with Hybrid Columnar Compression. To compress the data with Hybrid Columnar Compression, disable the foreign key constraint, insert the data usingINSERTwith theAPPENDhint, and then reenable the foreign key constraint.
inmemory_table_clause
Use this clause to enable or disable the table for the In-Memory Column Store (IM column store). The IM column store is an optional, static SGA pool that stores copies of tables and partitions in a special columnar format optimized for rapid scans. The IM column store does not replace the buffer cache, but acts as a supplement so that both memory areas can store the same data in different formats.
-
Specify
INMEMORYto enable the table for the IM column store.You can optionally use the
inmemory_attributesclause to specify how table data is stored in the IM column store. This clause enables you to specify the data compression method and the data population priority. In an Oracle RAC environment, it also enables you to specify how the data is distributed and duplicated across Oracle RAC instances. Refer to the inmemory_attributes clause for more information. -
Specify
NOINMEMORYto disable the table for the IM column store. -
Specify the
inmemory_column_clauseto enable or disable specific table columns for the IM column store, and to specify the data compression method for specific columns. Refer to the inmemory_clause for more information. -
Specify
INMEMORY ALLto mark all columns as in-memory. SpecifyNO INMEMORY ALLto mark all columns as not in-memory. These options are applied first to table columns before other inmemory column clauses.You cannot specify
INMEMORY ALLandNO INMEMORY ALLin the same DDL.
If you omit this clause, then the table is assigned the default IM column store settings for the tablespace in which it is created. Refer to the inmemory_clause of CREATE TABLESPACE for more information on specifying the default IM column store settings for a tablespace.
In an Oracle Active Data Guard environment, if you specify this clause for a table on the primary database, then the table is enabled or disabled for the IM column store in the Oracle Active Data Guard instance.
Note:
The INMEMORY_CLAUSE_DEFAULT initialization parameter enables you to specify a default IM column store clause for new tables and materialized views. Refer to Oracle Database Reference for more information on the INMEMORY_CLAUSE_DEFAULT initialization parameter.
Restrictions on the In-Memory Column Store
The following restrictions apply to the In-Memory Column Store:
-
You cannot specify the
INMEMORYclause for index-organized tables. -
You cannot specify the
INMEMORYclause for tables that are owned by theSYSschema and reside in theSYSTEMorSYSAUXtablespace. -
Starting with Oracle Database 18c , you can specify the
INMEMORYclause for external tables. You must set theQUERY_REWRITE_INTEGRITYinitialization parameter tostale_toleratedfor the DDL to parse correctly. The policy may not be changed viaALTERto anything other thanstale_toleratedifINMEMORYis specified. -
The IM column store does not support
LONGorLONGRAWcolumns, out-of-line columns (LOBs, varrays, nested table columns), or extended data type columns. If you enable a table for the IM column store and it contains any of these types of columns, then the columns will not be populated in the IM column store. -
If you enable a table for the IM column store and it contains a virtual (expression) column, then the column will be populated in the IM column store only if the value of the
INMEMORY_VIRTUAL_COLUMNSinitialization parameter isENABLEDand the SQL expression for the virtual (expression) column refers only to columns that are enabled for the IM column store.
See Also:
Oracle Database In-Memory Guide for an overview of the IM column store
inmemory_attributes
Use the inmemory_memcompress, inmemory_priority, inmemory_distribute, and inmemory_duplicate clauses to specify how table data is stored in the IM column store.
Specify the inmemory_spatial clause to apply inmemory attributes to spatial columns of type SDO_GEOMETRY.
inmemory_memcompress
Use this clause to specify the compression method for table data stored in the IM column store. This data is called In-Memory data.
To instruct the database to not compress In-Memory data, specify NO MEMCOMPRESS.
Specify MEMCOMPRESS AUTO to instruct the database to manage the segment including actions like evict, recompress, and populate.
To instruct the database to compress In-Memory data, specify MEMCOMPRESS FOR followed by one of the following methods:
-
DML- This method is optimized for DML operations and performs little or no data compression. -
QUERY- SpecifyingQUERYis equivalent to specifyingQUERYLOW. -
QUERYLOW- This method compresses In-Memory data the least (except forDML) and results in the best query performance. This is the default. -
QUERYHIGH-This method compress In-Memory data more thanQUERYLOW, but less thanCAPACITYLOW. -
CAPACITY- SpecifyingCAPACITYis equivalent to specifyingCAPACITYLOW. -
CAPACITYLOW- This method compresses In-Memory data more thanQUERYHIGH, but less thanCAPACITYHIGH, and results in excellent query performance. -
CAPACITYHIGH- This method compresses In-Memory data the most and results in good query performance.
Any memcompress level can be specified via DDL, but will be ignored during population. All In-Memory Compression Units (IMCUs) will be populated as QUERY LOW transparently.
inmemory_priority
Use the PRIORITY clause to specify the data population priority for table data in the IM column store. This clause controls the priority of population, but not the speed of population.
-
Specify
NONEfor on-demand population. In this case, the database populates table data in the IM column store when the table it is accessed through a full table scan. If the table is never accessed, or if it is accessed only through an index scan or fetch by rowid, then population never occurs. This is the default. -
Specify one of the following priority levels for priority-based population:
LOW,MEDIUM,HIGH, orCRITICAL. In this case, the database automatically populates table data in the IM column store using an internally managed priority queue; a full scan is not a necessary condition for population. The database queues population of the table data based on the specified priority level. For example, a table with the settingINMEMORYPRIORITYCRITICALtakes precedence over a table with the settingINMEMORYPRIORITYHIGH, which in turn takes precedence over a table with the settingINMEMORYPRIORITYLOW, and so on. If the IM column store has insufficient space, then the database does not populate additional table data until space is available.
inmemory_distribute
The DISTRIBUTE clause is applicable only if you are using Oracle Real Application Clusters (Oracle RAC) or Oracle Active Data Guard. It lets you specify how table data in the IM column store is distributed across Oracle RAC instances, and lets you specify the database instances in which the data is eligible to be populated.
AUTO and BY
Use the AUTO and BY clauses to specify how table data in the IM column store is distributed across Oracle RAC instances. You can specify the following options:
-
AUTO- Oracle Database controls how data is distributed across Oracle RAC instances. Large tables are distributed across Oracle RAC instances depending on their access patterns. Smaller tables may be distributed between instances. This is the default. -
BYROWIDRANGE- Data in certain ranges of rowids is distributed to different Oracle RAC instances. -
BYPARTITION- Data in partitions is distributed to different Oracle RAC instances. -
BYSUBPARTITION- Data in subpartitions is distributed to different Oracle RAC instances.
You can only use AUTO and BY to distribute the In-Memory Compression Units (IMCUs) for an object between instances in a single Oracle RAC database, not between a primary instance and standby instance in Active Data Guard.
FOR SERVICE
Use the FOR SERVICE clause to specify the Oracle RAC or Oracle Active Data Guard instances in which the object is eligible to be populated. You can specify the following options:
-
DEFAULT- The object is eligible for population on all instances specified with thePARALLEL_INSTANCE_GROUPinitialization parameter. If this parameter is not set, then the object is populated on all instances. This is the default. -
ALL- The object is eligible for population on all instances, regardless of the value of thePARALLEL_INSTANCE_GROUPinitialization parameter. -
service_name- The object is eligible for population only on instances belonging to the specified service and only when the service is active and not blocked on an instance. -
NONE- The object is not eligible for population on any instances. This option lets you disable IM column store population while preserving the other In-Memory attributes for the table. These attributes take effect if you subsequently enable IM column store population for the table by specifyingFORSERVICEDEFAULT,FORSERVICEALL, orFORSERVICEservice_namein theinmemory_distributeclause of anALTERTABLEstatement.
In Oracle RAC, the FOR SERVICE clause specifies the instances within the Oracle RAC database. In Active Data Guard, the primary and standby databases may use a single-instance or Oracle RAC configuration. In Active Data Guard, the FOR SERVICE clause specifies instances in the primary database, instances in the standby database, or a mixture of primary and standby instances.
inmemory_duplicate
The DUPLICATE clause is applicable only if you are using Oracle Real Application Clusters (Oracle RAC) on an engineered system. It controls how table data in the IM column store is duplicated across Oracle RAC instances. You can specify the following options:
-
DUPLICATE- Data is duplicated on one Oracle RAC instance, resulting in the data existing on a total of two Oracle RAC instances. -
DUPLICATEALL- Data is duplicated across all Oracle RAC instances. If you specifyDUPLICATEALL, then the database uses theDISTRIBUTEAUTOsetting, regardless of whether or how you specify theinmemory_distributeclause. -
NODUPLICATE- Data is not duplicated across Oracle RAC instances. This is the default.
inmemory_column_clause
Use this clause to enable or disable specific table columns for the IM column store, and to specify the data compression method for specific columns. If you specify this clause when creating a NO INMEMORY table, then the column settings will take effect when the table or partition is subsequently enabled for the IM column store.
-
Specify
INMEMORYto enable the specified table columns for the IM column store.You can optionally use the
inmemory_memcompressclause to specify the data compression method for specific columns. See inmemory_memcompress. If you omit theinmemory_memcompressclause, then the table column uses the data compression method for the table. You cannot specify thePRIORITY,DISTRIBUTE, orDUPLICATEsettings for a specific table column. These settings are the same for all table columns as they are for the table. -
Specify
NOINMEMORYto disable the specified table columns for the IM column store.
If you omit the inmemory_column_clause, then all table columns use the IM column store settings for the table.
Restrictions on inmemory_column_clause
-
You cannot specify this clause for a
LONGorLONGRAWcolumn, an out-of-line column (LOB, varray, nested table column), or an extended data type column. -
To selectively enable a virtual (expression) column for the IM column store, the value of the
INMEMORY_VIRTUAL_COLUMNSinitialization parameter must beENABLEDorMANUAL, and the SQL expression for the virtual (expression) column must refer only to columns that are enabled for the IM column store.
inmemory_clause
Use this clause to enable or disable a table partition for the IM column store. In order to specify this clause, the table must be enabled for the IM column store. If you omit this clause, then the table partition uses the IM column store settings for the table.
The inmemory_attributes clause has the same semantics for table partitions as for tables. Refer to the inmemory_attributes clause for full information.
INMEMORY TEXT
Specify INMEMORY TEXT clause to enable IM full text columns. The PRIORITY clause has the same effect on population of IM full text columns as standard In-Memory columns. The default priority is NONE.
The MEMCOMPRESS clause is not valid with INMEMORY TEXT.
Examples
CREATE TABLE mydoc(id NUMBER, docCreationTime DATE, doc CLOB, json_doc JSON) INMEMORY TEXT(DOC, JSON_DOC)
CREATE TABLE mydoc(id NUMBER, docCreationTime DATE, doc CLOB, json_doc JSON) INMEMORY PRIORITY CRITICAL
INMEMORY TEXT(DOC, JSON_DOC)You can apply the IMEMORY TEXT clause to search non-scalar columns in an In-Memory table. This clause enables fast In-Memory searching of text, XML, or JSON documents using the CONTAINS () or JSON_TEXTCONTAINS() operators.
INMEMORY TEXT ( column_name1, column_name2 ) specifies the list of columns to be enabled as IM full text. The columns must be of type CHAR, VARCHAR2, CLOB, BLOB, or JSON. JSON columns have JSON_TEXTCONTAINS() automatically enabled.
INMEMORY TEXT ( column_name1 USING policy1, column_name2 USING policy2 )specifies the list of columns to be enabled as IM full text along with custom indexing policies. The columns must be of type CHAR, VARCHAR2, CLOB, or BLOB. You cannot use this clause with columns of type JSON.
You can use the IMEMORY PRIORITY clause to set the order in which objects are populated.
See Also:
You can specify INMEMORY on non-partitioned tables using the ORACLE_HIVE, ORACLE_HDFS, and ORACLE_BIGDATA driver types.
ilm_clause
Use this clause to add an Automatic Data Optimization policy to table.
This clause has the same semantics in CREATE TABLE and ALTER TABLE, with the following additional restriction: You can specify only the ADD POLICY clause for CREATE TABLE. Refer to the ilm_clause for the full semantics of this clause.
See Also:
Oracle Database VLDB and Partitioning Guide for more information on managing policies for Automatic Data Optimization
Restrictions on Automatic Data Optimization
Automatic Data Optimization is subject to the following restrictions:
-
Automatic Data Optimization is not supported for tables that contain object types, index-organized tables, clustered tables, or materialized views.
-
Row-level policies are not supported for tables that support Temporal Validity or tables that are enabled for row archiving for In-Database Archiving.
ilm_policy_clause
Use this clause to describe the Automatic Data Optimization policy.
This clause has the same semantics in CREATE TABLE and ALTER TABLE. Refer to ilm_policy_clause for the full semantics of this clause.
RECOVERABLE | UNRECOVERABLE
These keywords are deprecated and have been replaced with LOGGING and NOLOGGING, respectively. Although RECOVERABLE and UNRECOVERABLE are supported for backward compatibility, Oracle strongly recommends that you use the LOGGING and NOLOGGING keywords.
Restrictions on [UN]RECOVERABLE
This clause is subject to the following restrictions:
-
You cannot specify
RECOVERABLEfor partitioned tables or LOB storage characteristics. -
You cannot specify
UNRECOVERABLEfor partitioned or index-organized tables. -
You can specify
UNRECOVERABLEonly withASsubquery.
ORGANIZATION
The ORGANIZATION clause lets you specify the order in which the data rows of the table are stored.
HEAP indicates that the data rows of table are stored in no particular order. This is the default.
INDEX indicates that table is created as an index-organized table. In an index-organized table, the data rows are held in an index defined on the primary key for the table.
EXTERNAL indicates that table is a read-only table located outside the database.
See Also:
index_org_table_clause
Use the index_org_table_clause to create an index-organized table. Oracle Database maintains the table rows, both primary key column values and nonkey column values, in an index built on the primary key. Index-organized tables are therefore best suited for primary key-based access and manipulation. An index-organized table is an alternative to:
-
A noncluster table indexed on the primary key by using the
CREATEINDEXstatement -
A cluster table stored in an indexed cluster that has been created using the
CREATECLUSTERstatement that maps the primary key for the table to the cluster key
You must specify a primary key for an index-organized table, because the primary key uniquely identifies a row. The primary key cannot be DEFERRABLE. Use the primary key instead of the rowid for directly accessing index-organized rows.
If an index-organized table is partitioned and contains LOB columns, then you should specify the index_org_table_clause first, then the LOB_storage_clause, and then the appropriate table_partitioning_clauses.
You cannot use the TO_LOB function to convert a LONG column to a LOB column in the subquery of a CREATE TABLE ... AS SELECT statement if you are creating an index-organized table. Instead, create the index-organized table without the LONG column, and then use the TO_LOB function in an INSERT ... AS SELECT statement.
The ROWID pseudocolumn of an index-organized table returns logical rowids instead of physical rowids. A column that you create with the data type ROWID cannot store the logical rowids of the IOT. The only data you can store in a column of type ROWID is rowids from heap-organized tables. If you want to store the logical rowids of an IOT, then create a column of type UROWID instead. A column of type UROWID can store both physical and logical rowids.
See Also:
Restrictions on Index-Organized Tables
Index-organized tables are subject to the following restrictions:
-
You cannot define a virtual (expression) column for an index-organized table.
-
You cannot specify the
composite_range_partitions,composite_list_partitions, orcomposite_hash_partitionsclauses for an index-organized table. -
If the index-organized table is a nested table or varray, then you cannot specify
table_partitioning_clauses. -
The collations of character data type columns belonging to the primary key of an index-organized table must be
BINARY,USING_NLS_COMP,USING_NLS_SORT, orUSING_NLS_SORT_CS.
PCTTHRESHOLD integer
Specify the percentage of space reserved in the index block for an index-organized table row. PCTTHRESHOLD must be large enough to hold the primary key. All trailing columns of a row, starting with the column that causes the specified threshold to be exceeded, are stored in the overflow segment. PCTTHRESHOLD must be a value from 1 to 50. If you do not specify PCTTHRESHOLD, then the default is 50.
Restriction on PCTTHRESHOLD
You cannot specify PCTTHRESHOLD for individual partitions of an index-organized table.
mapping_table_clauses
Specify MAPPING TABLE to instruct the database to create a mapping of local to physical ROWIDs and store them in a heap-organized table. This mapping is needed in order to create a bitmap index on the index-organized table. If the index-organized table is partitioned, then the mapping table is also partitioned and its partitions have the same name and physical attributes as the base table partitions.
Oracle Database creates the mapping table or mapping table partition in the same tablespace as its parent index-organized table or partition. You cannot query, perform DML operations on, or modify the storage characteristics of the mapping table or its partitions.
prefix_compression
The prefix_compression clauses let you enable or disable prefix compression for index-organized tables.
-
Specify
COMPRESSto enable prefix compression, also known as key compression, for an index-organized table, which eliminates repeated occurrence of primary key column values in index-organized tables. Useintegerto specify the prefix length, which is the number of prefix columns to compress.The valid range of prefix length values is from 1 to the number of primary key columns minus 1. The default prefix length is the number of primary key columns minus 1.
-
Specify
NOCOMPRESSto disable prefix compression in index-organized tables. This is the default.
Restriction on Prefix Compression of Index-organized Tables
At the partition level, you can specify COMPRESS, but you cannot specify the prefix length with integer.
iot_advanced_compression
Specify iot_advanced_compression to compress the indexes of index organized tables (IOTs) and table partitions in order to reduce the storage footprint of IOTs.
You can enable advanced low index compression for all IOTs on specific partitions of a table, and leave other partitions uncompressed.
index_org_overflow_clause
The index_org_overflow_clause lets you instruct the database that index-organized table data rows exceeding the specified threshold are placed in the data segment specified in this clause.
-
When you create an index-organized table, Oracle Database evaluates the maximum size of each column to estimate the largest possible row. If an overflow segment is needed but you have not specified
OVERFLOW, then the database raises an error and does not execute theCREATETABLEstatement. This checking function guarantees that subsequent DML operations on the index-organized table will not fail because an overflow segment is lacking. -
All physical attributes and storage characteristics you specify in this clause after the
OVERFLOWkeyword apply only to the overflow segment of the table. Physical attributes and storage characteristics for the index-organized table itself, default values for all its partitions, and values for individual partitions must be specified before this keyword. -
If the index-organized table contains one or more LOB columns, then the LOBs will be stored out-of-line unless you specify
OVERFLOW, even if they would otherwise be small enough be to stored inline. -
If
tableis partitioned, then the database equipartitions the overflow data segments with the primary key index segments.
INCLUDING column_name
Specify a column at which to divide an index-organized table row into index and overflow portions. The primary key columns are always stored in the index. column_name can be either the last primary key column or any non primary key column. All non primary key columns that follow column_name are stored in the overflow data segment.
If an attempt to divide a row at column_name causes the size of the index portion of the row to exceed the specified or default PCTTHRESHOLD value, then the database breaks up the row based on the PCTTHRESHOLD value.
Restriction on the INCLUDING Clause
You cannot specify this clause for individual partitions of an index-organized table.
Use the EXTERNAL PARTITION ATTRIBUTES clause to specify table level external parameters in a hybrid partitioned table.
external_table_clause
Use the external_table_clause to create an external table, which allows you to process data that is stored outside the database from within the database without loading any of the data into the database.
Defining an external table only creates metadata in the data dictionary, pointing to data outside the database and providing seamless read only access to such data.
Because external tables have no data in the database, you define them with a small subset of the clauses normally available when creating tables.
In addition to supporting external data residing in operating file systems and Big Data sources and formats such as HDFS and Hive, Oracle supports external data residing in objects via the DBMS_CLOUD package.
You can work with data in object stores using the DBMS_CLOUD package or by manually defining external tables. Oracle strongly recommends using DBMS_CLOUD for the additional functionality that is fully compatible with Oracle autonomous database.
See Also:
-
Within the
relational_propertiesclause, you can specify onlycolumn,datatype,ENCRYPT,inline_constraint, andout_of_line_constraint. You can specify theENCRYPTclause only when you specify theORACLE_DATAPUMPaccess driver and theASsubqueryclause to load data into the external table. Within theinline_constraintandout_of_line_constraintclauses, you can specify all subclauses exceptCHECK. -
Within the
physical_properties_clause, you can specify only the organization of the table (ORGANIZATIONEXTERNALexternal_table_clause). -
Within the
table_propertiesclause, you can specify theparallel_clause. Theparallel_clauselets you parallelize subsequent queries on the external data and subsequent operations that populate the external table.Starting with Oracle Database 12c Release 2 (12.2), you can create a partitioned external table. To do this, within the
table_propertiesclause, you can specify the following subclauses of thetable_partitioning_clauses:-
range_partitions- specify this clause to create a range-partitioned or interval-partitioned external table -
list_partitions- specify this clause to create a list-partitioned external table. Within this clause, you cannot specify theAUTOMATICclause; an automatic list-partitioned table cannot be an external table. -
composite_range_partitions- specify this clause to create a range-range, range-list, interval-range, or interval-list composite-partitioned external table -
composite_list_partitions- specify this clause to create a list-range or list-list composite-partitioned external table. Within this clause, you cannot specify theAUTOMATICclause; an automatic composite-partitioned table cannot be an external table.
-
-
You can populate the external table at create time by using the
ASsubqueryclause.
No other clauses are permitted in the same CREATE TABLE statement.
See Also:
-
ALTER TABLE... "PROJECT COLUMN Clause" for information on the effect of changing the default property of the column projection -
Oracle Database Data Warehousing Guide, Oracle Database Administrator's Guide, and Oracle Database Utilities for information on the uses for external tables
Restrictions on External Tables
External tables are subject to the following restrictions:
-
An external table cannot be a temporary table.
-
You can specify only the following types of constraints on an external table:
NOTNULLconstraints, unique constraints, primary key constraints, and foreign key constraints. When you specify unique constraints, primary key constraints, or foreign key constraints, you must also specifyRELYDISABLE. These constraints are declarative and are not enforced. They can increase query performance and reduce resource consumption because more optimizer transformations can be taken into account. In order for the optimizer to utilize theseRELYDISABLEconstraints, theQUERY_REWRITE_INTEGRITYinitialization parameter must be set to eithertrustedorstale_tolerated. -
You cannot create an index on an external table.
-
An external table cannot contain
INVISIBLEcolumns. -
An external table cannot have object type, varray, or
LONGcolumns. However, you can populate LOB columns of an external table with varray orLONGdata from an internal database table. -
Only
ORACLE_LOADERandORACLE_DATAPUMPaccess types are permitted for external tables that can be populated into the inmemory column store.
TYPE access_driver_type indicates the access driver of the external table. The access driver is the API that interprets the external data for the database. Oracle Database provides the following access drivers: ORACLE_LOADER, ORACLE_DATAPUMP, ORACLE_HDFS, and ORACLE_HIVE. If you do not specify TYPE, then the database uses ORACLE_LOADER as the default access driver. You must specify the ORACLE_DATAPUMP access driver if you specify the AS subquery clause to unload data from one Oracle Database and reload it into the same or a different Oracle Database.
Restrictions
ORACLE_HIVE column names should be limited to [A-ZA-Z0-9_]+ on partitioning external tables.
See Also:
Oracle Database Utilities for information about the ORACLE_LOADER, ORACLE_DATAPUMP, ORACLE_HDFS, and ORACLE_HIVE access drivers
DEFAULT DIRECTORY
DEFAULT DIRECTORY lets you specify a default directory object corresponding to a directory on the file system where the external data sources may reside. The default directory can also be used by the access driver to store auxiliary files such as error logs.
ACCESS PARAMETERS
The optional ACCESS PARAMETERS clause lets you assign values to the parameters of the specific access driver for this external table.
-
The
opaque_format_specspecifies all access parameters for theORACLE_LOADER,ORACLE_DATAPUMP,ORACLE_HDFS, andORACLE_HIVEaccess drivers. See Oracle Database Utilities for descriptions of theORACLE_LOADER,ORACLE_DATAPUMP,ORACLE_HDFS, andORACLE_HIVEaccess parameters.Field names specified in the
opaque_format_specmust match columns in the table definition. Oracle Database ignores any field in theopaque_format_specthat is not matched by a column in the table definition. -
USINGCLOBsubquerylets you derive the parameters and their values through a subquery. The subquery cannot contain any set operators or anORDERBYclause. It must return one row containing a single item of data typeCLOB.
Whether you specify the parameters in an opaque_format_spec or derive them using a subquery, the database does not interpret anything in this clause. It is up to the access driver to interpret this information in the context of the external data.
For inline external tables and external modify query statements you must use opaque_format_spec within single quotes. For DDL statements you must use opaque_format_spec without single quotes.
LOCATION
The LOCATION clause lets you specify one or more external data sources. Usually the location_specifier is a file, but it need not be. Oracle Database does not interpret this clause. It is up to the access driver to interpret this information in the context of the external data.
You must specify the LOCATION clause as follows:
-
When creating a nonpartitioned external table, you must specify the
LOCATIONclause at the table level in theexternal_table_data_propsclause. -
When creating a partitioned external table, you must specify the
LOCATIONclause at the partition level in theexternal_part_subpart_data_propsclause. -
When creating a composite-partitioned external table, you must specify the
LOCATIONclause at the subpartition level in theexternal_part_subpart_data_propsclause.
REJECT LIMIT
The REJECT LIMIT clause lets you specify how many conversion errors can occur during a query of the external data before an Oracle Database error is returned and the query is aborted. The default value is 0.
CLUSTER Clause
The CLUSTER clause indicates that the table is to be part of cluster. The columns listed in this clause are the table columns that correspond to the cluster columns. Generally, the cluster columns of a table are the column or columns that make up its primary key or a portion of its primary key. Refer to CREATE CLUSTER for more information.
Specify one column from the table for each column in the cluster key. The columns are matched by position, not by name.
A cluster table uses the space allocation of the cluster. Therefore, do not use the PCTFREE, PCTUSED, or INITRANS parameters, the TABLESPACE clause, or the storage_clause with the CLUSTER clause.
Restrictions on Cluster Tables
Cluster tables are subject to the following restrictions:
-
Object tables and tables containing LOB columns or columns of the
Any*Oracle-supplied types cannot be part of a cluster. -
You cannot specify the
parallel_clauseorCACHEorNOCACHEfor a table that is part of a cluster. -
You cannot specify
CLUSTERwith eitherROWDEPENDENCIESorNOROWDEPENDENCIESunless the cluster has been created with the sameROWDEPENDENCIESorNOROWDEPENDENCIESsetting. -
A cluster table cannot contain
INVISIBLEcolumns.
table_properties
The table_properties further define the characteristics of the table.
column_properties
Use the column_properties clauses to specify the storage attributes of a column.
object_type_col_properties
The object_type_col_properties determine storage characteristics of an object column or attribute or of an element of a collection column or attribute.
column
For column, specify an object column or attribute.
substitutable_column_clause
The substitutable_column_clause indicates whether object columns or attributes in the same hierarchy are substitutable for each other. You can specify that a column is of a particular type, or whether it can contain instances of its subtypes, or both.
-
If you specify
ELEMENT, then you constrain the element type of a collection column or attribute to a subtype of its declared type. -
The
ISOF[TYPE](ONLYtype)clause constrains the type of the object column to a subtype of its declared type. -
NOTSUBSTITUTABLEATALLLEVELSindicates that the object column cannot hold instances corresponding to any of its subtypes. Also, substitution is disabled for any embedded object attributes and elements of embedded nested tables and varrays. The default isSUBSTITUTABLEATALLLEVELS.
Restrictions on the substitutable_column_clause
This clause is subject to the following restrictions:
-
You cannot specify this clause for an attribute of an object column. However, you can specify this clause for a object type column of a relational table and for an object column of an object table if the substitutability of the object table itself has not been set.
-
For a collection type column, the only part of this clause you can specify is
[NOT]SUBSTITUTABLEATALLLEVELS.
LOB_storage_clause
The LOB_storage_clause lets you specify the storage attributes of LOB data segments. You must specify at least one clause after the STORE AS keywords. If you specify more than one clause, then you must specify them in the order shown in the syntax diagram, from top to bottom.
For a nonpartitioned table, this clause specifies the storage attributes of LOB data segments of the table.
For a partitioned table, Oracle Database implements this clause depending on where it is specified:
-
For a partitioned table specified at the table level—when specified in the
physical_propertiesclause along with one of the partitioning clauses—this clause specifies the default storage attributes for LOB data segments associated with each partition or subpartition. These storage attributes apply to all partitions or subpartitions unless overridden by aLOB_storage_clauseat the partition or subpartition level. -
For an individual partition of a partitioned table—when specified as part of a
table_partition_description—this clause specifies the storage attributes of the data segments of the partition or the default storage attributes of any subpartitions of the partition. A partition-levelLOB_storage_clauseoverrides a table-levelLOB_storage_clause. -
For an individual subpartition of a partitioned table—when specified as part of
subpartition_by_hashorsubpartition_by_list—this clause specifies the storage attributes of the data segments of the subpartition. A subpartition-levelLOB_storage_clauseoverrides both partition-level and table-levelLOB_storage_clauses.
Restriction on the LOB_storage_clause:
Only the TABLESPACE clause is allowed when specifying the LOB_storage_clause in a subpartition.
See Also:
-
Oracle Database SecureFiles and Large Objects Developer's Guide for detailed information about LOBs, including guidelines for creating gigabyte LOBs
LOB_item
Specify the LOB column name or LOB object attribute for which you are explicitly defining tablespace and storage characteristics that are different from those of the table. Oracle Database automatically creates a system-managed index for each LOB_item you create.
SECUREFILE | BASICFILE
Use this clause to specify the type of LOB storage, either high-performance LOB (SecureFiles), or the traditional LOB (BasicFiles).
See Also:
Oracle Database SecureFiles and Large Objects Developer's Guide for more information about SecureFiles LOBs
Note:
You cannot convert a LOB from one type of storage to the other. Instead you must migrate to SecureFiles or BasicFiles by using online redefinition or partition exchange.
LOB_segname
Specify the name of the LOB data segment. You cannot use LOB_segname if you specify more than one LOB_item.
LOB_storage_parameters
The LOB_storage_parameters clause lets you specify various elements of LOB storage.
TABLESPACE Clause
Use this clause to specify the tablespace in which LOB data is to be stored.
TABLESPACE SET Clause
This clause is valid only when creating a sharded table by specifying the SHARDED keyword of CREATE TABLE. Use this clause to specify the tablespace set in which LOB data is to be stored.
storage_clause
Use the storage_clause to specify various aspects of LOB segment storage. Of particular interest in the context of LOB storage is the MAXSIZE clause of the storage_clause, which can be used in combination with the LOB_retention_clause of LOB_parameters. Refer to storage_clause for more information.
LOB_parameters
Several of the LOB_parameters are no longer needed if you are using SecureFiles for LOB storage. The PCTVERSION and FREEPOOLS parameters are valid and useful only if you are using BasicFiles LOB storage.
If you enable storage in row, then the LOB value is stored in the row (inline) if its length is less than approximately 4000 bytes minus system control information. This is the default.
Restriction on Enabling Storage in Row
For an index-organized table, you cannot specify this parameter unless you have specified an OVERFLOW segment in the index_org_table_clause.
If you disable storage in row, then the LOB value is stored outside of the row out of line regardless of the length of the LOB value.
The LOB locator is always stored inline regardless of where the LOB value is stored. You cannot change the value of STORAGE IN ROW once it is set except by moving the table. See the move_table_clause in the ALTER TABLE documentation for more information.
Specify the number of bytes to be allocated for LOB manipulation. If integer is not a multiple of the database block size, then the database rounds up in bytes to the next multiple. For example, if the database block size is 2048 and integer is 2050, then the database allocates 4096 bytes (2 blocks). The maximum value is 32768 (32K), which is the largest Oracle Database block size allowed. The default CHUNK size is one Oracle Database block.
The value of CHUNK must be less than or equal to the value of NEXT, either the default value or that specified in the storage_clause. If CHUNK exceeds the value of NEXT, then the database returns an error. You cannot change the value of CHUNK once it is set.
Specify the maximum percentage of overall LOB storage space used for maintaining old versions of the LOB. If the database is running in manual undo mode, then the default value is 10, meaning that older versions of the LOB data are not overwritten until they consume 10% of the overall LOB storage space.
You can specify the PCTVERSION parameter whether the database is running in manual or automatic undo mode. PCTVERSION is the default in manual undo mode. RETENTION is the default in automatic undo mode. You cannot specify both PCTVERSION and RETENTION.
This clause is not valid if you have specified SECUREFILE. If you specify both SECUREFILE and PCTVERSION, then the database silently ignores the PCTVERSION parameter.
Use this clause to specify whether you want the LOB segment retained for flashback purposes, consistent-read purposes, both, or neither.
You can specify the RETENTION parameter only if the database is running in automatic undo mode. Oracle Database uses the value of the UNDO_RETENTION initialization parameter to determine the amount of committed undo data to retain in the database. In automatic undo mode, RETENTION is the default value unless you specify PCTVERSION. You cannot specify both PCTVERSION and RETENTION.
You can specify the optional settings after RETENTION only if you are using SecureFiles. The SECUREFILE parameter of the LOB_storage_clause indicates that the database will use SecureFiles to manage storage dynamically, taking into account factors such as the undo mode of the database.
-
Specify
MAXto signify that the undo should be retained until the LOB segment has reachedMAXSIZE. If you specifyMAX, then you must also specify theMAXSIZEclause in thestorage_clause. -
Specify
MINif the database is in flashback mode to limit the undo retention duration for the specific LOB segment tonseconds. -
Specify
AUTOif you want to retain undo sufficient for consistent read purposes only. -
Specify
NONEif no undo is required for either consistent read or flashback purposes.
If you do not specify the RETENTION parameter, or you specify RETENTION with no optional settings, then RETENTION is set to DEFAULT, which is functionally equivalent to AUTO.
See Also:
-
To set the
UNDO_RETENTIONinitialization parameter, see Setting the Minimum Undo Retention Period -
CREATETABLEclause LOB_storage_parameters for more information on simplified LOB storage using SecureFiles -
Oracle Database SecureFiles and Large Objects Developer's Guide for more information on using SecureFiles
-
flashback_mode_clause of
ALTERDATABASEfor information on putting a database in flashback mode
Specify the number of groups of free lists for the LOB segment. Normally integer will be the number of instances in an Oracle Real Application Clusters environment or 1 for a single-instance database.
You can specify this parameter only if the database is running in automatic undo mode. In this mode, FREEPOOLS is the default unless you specify the FREELIST GROUPS parameter of the storage_clause. If you specify neither FREEPOOLS nor FREELIST GROUPS, then the database uses a default of FREEPOOLS 1 if the database is in automatic undo management mode and a default of FREELIST GROUPS 1 if the database is in manual undo management mode.
This clause is not valid if you have specified SECUREFILE. If you specify both SECUREFILE and FREEPOOLS, then the database silently ignores the FREEPOOLS parameter.
Restriction on FREEPOOLS
You cannot specify both FREEPOOLS and the FREELIST GROUPS parameter of the storage_clause.
This clause is valid only for SecureFiles LOBs. Use the LOB_deduplicate_clause to enable or disable LOB deduplication, which is the elimination of duplicate LOB data.
The DEDUPLICATE keyword instructs the database to eliminate duplicate copies of LOBs. Using a secure hash index to detect duplication, the database coalesces LOBs with identical content into a single copy, reducing storage consumption and simplifying storage management.
If you omit this clause, then LOB deduplication is disabled by default.
This clause implements LOB deduplication for the entire LOB segment. To enable or disable deduplication for an individual LOB, use the DBMS_LOB.SETOPTIONS procedure.
See Also:
Oracle Database SecureFiles and Large Objects Developer's Guide for more information about LOB deduplication and Oracle Database PL/SQL Packages and Types Reference for information about about the DBMS_LOB package
This clause is valid only for SecureFiles LOBs, not for BasicFiles LOBs. Use the LOB_compression_clause to instruct the database to enable or disable server-side LOB compression. Random read/write access is possible on server-side compressed LOB segments. LOB compression is independent from table compression or index compression. If you omit this clause, then the default is NOCOMPRESS.
You can specify HIGH, MEDIUM, or LOW to vary the degree of compression. The HIGH degree of compression incurs higher latency than MEDIUM but provides better compression. The LOW degree results in significantly higher decompression and compression speeds, at the cost of slightly lower compression ratio than either HIGH or MEDIUM. If you omit this optional parameter, then the default is MEDIUM.
This clause implements server-side LOB compression for the entire LOB segment. To enable or disable compression on an individual LOB, use the DBMS_LOB.SETOPTIONS procedure.
See Also:
Oracle Database SecureFiles and Large Objects Developer's Guide for more information on server-side LOB storage and Oracle Database PL/SQL Packages and Types Reference for information about client-side LOB compression using the UTL_COMPRESS supplied package and for information about the DBMS_LOB package
These clauses are valid only for LOBs that are using SecureFiles for LOB storage. Specify ENCRYPT to encrypt all LOBs in the column. Specify DECRYPT to keep the LOB in cleartext. If you omit this clause, then DECRYPT is the default.
Refer to encryption_spec for general information on that clause. When applied to a LOB column, encryption_spec is specific to the individual LOB column, so the encryption algorithm can differ from that of other LOB columns and other non-LOB columns. Use the encryption_spec as part of the column_definition to encrypt the entire LOB column. Use the encryption_spec as part of the LOB_storage_clause in the table_partition_description to encrypt a LOB partition.
Restriction on encryption_spec for LOBs
You cannot specify the SALT or NO SALT clauses of encryption_spec for LOB encryption.
See Also:
Oracle Database SecureFiles and Large Objects Developer's Guide for more information on LOB encryption and Oracle Database PL/SQL Packages and Types Reference for information the DBMS_LOB package
CACHE | NOCACHE | CACHE READS
Refer to CACHE | NOCACHE | CACHE READS for information on these clauses.
LOB_partition_storage
The LOB_partition_storage clause lets you specify a separate LOB_storage_clause or varray_col_properties clause for each partition. You must specify the partitions in the order of partition position. You can find the order of the partitions by querying the PARTITION_NAME and PARTITION_POSITION columns of the USER_IND_PARTITIONS view.
If you do not specify a LOB_storage_clause or varray_col_properties clause for a particular partition, then the storage characteristics are those specified for the LOB item at the table level. If you also did not specify any storage characteristics for the LOB item at the table level, then Oracle Database stores the LOB data partition in the same tablespace as the table partition to which it corresponds.
Restrictions on LOB_partition_storage
LOB_partition_storage is subject to the following restrictions:
-
In the
LOB_parametersof theLOB_storage_clause, you cannot specifyencryption_spec, because it is invalid to specify an encryption algorithm for partitions and subpartitions. -
You can only specify the
TABLESPACEclause for hash partitions and all types of subpartitions.
varray_col_properties
The varray_col_properties let you specify separate storage characteristics for the LOB in which a varray will be stored. If varray_item is a multilevel collection, then the database stores all collection items nested within varray_item in the same LOB in which varray_item is stored.
-
For a nonpartitioned table—when specified in the
physical_propertiesclause without any of the partitioning clauses—this clause specifies the storage attributes of the LOB data segments of the varray. -
For a partitioned table specified at the table level—when specified in the
physical_propertiesclause along with one of the partitioning clauses—this clause specifies the default storage attributes for the varray LOB data segments associated with each partition (or its subpartitions, if any). -
For an individual partition of a partitioned table—when specified as part of a
table_partition_description—this clause specifies the storage attributes of the varray LOB data segments of that partition or the default storage attributes of the varray LOB data segments of any subpartitions of this partition. A partition-levelvarray_col_propertiesoverrides a table-levelvarray_col_properties. -
For an individual subpartition of a partitioned table—when specified as part of
subpartition_by_hashorsubpartition_by_list—this clause specifies the storage attributes of the varray data segments of this subpartition. A subpartition-levelvarray_col_propertiesoverrides both partition-level and table-levelvarray_col_properties.
STORE AS [SECUREFILE | BASICFILE] LOB Clause
If you specify STORE AS LOB, then:
-
If the maximum varray size is less than approximately 4000 bytes, then the database stores the varray as an inline LOB unless you have disabled storage in row.
-
If the maximum varray size is greater than approximately 4000 bytes or if you have disabled storage in row, then the database stores in the varray as an out-of-line LOB.
If you do not specify STORE AS LOB, then storage is based on the maximum possible size of the varray rather than on the actual size of a varray column. The maximum size of the varray is the number of elements times the element size, plus a small amount for system control information. If you omit this clause, then:
-
If the maximum size of the varray is less than approximately 4000 bytes, then the database does not store the varray as a LOB, but as inline data.
-
If the maximum size is greater than approximately 4000 bytes, then the database always stores the varray as a LOB.
-
If the actual size is less than approximately 4000 bytes, then it is stored as an inline LOB
-
If the actual size is greater than approximately 4000 bytes, then it is stored as an out-of-line LOB, as is true for other LOB columns.
-
substitutable_column_clause
The substitutable_column_clause has the same behavior as described for object_type_col_properties.
See Also:
Restriction on Varray Column Properties
You cannot specify this clause on an interval partitioned table.
nested_table_col_properties
The nested_table_col_properties let you specify separate storage characteristics for a nested table, which in turn enables you to define the nested table as an index-organized table. Unless you explicitly specify otherwise in this clause:
-
For a nonpartitioned table, the storage table is created in the same schema and the same tablespace as the parent table.
-
For a partitioned table, the storage table is created in the default tablespace of the schema. By default, nested tables are equipartitioned with the partitioned base table.
-
In either case, the storage table uses default storage characteristics, and stores the nested table values of the column for which it was created.
You must include this clause when creating a table with columns or column attributes whose type is a nested table. Clauses within nested_table_col_properties that function the same way they function for the parent table are not repeated here.
nested_item
Specify the name of a column, or of a top-level attribute of the object type of the tables, whose type is a nested table.
If the nested table is a multilevel collection, then the inner nested table or varray may not have a name. In this case, specify COLUMN_VALUE in place of the nested_item name.
See Also:
"Creating a Table: Multilevel Collection Example" for examples using nested_item and COLUMN_VALUE
LOCAL | GLOBAL
Specify LOCAL to equipartition the nested table with the base table. This is the default. Oracle Database automatically creates a local partitioned index for the partitioned nested table.
Specify GLOBAL to indicate that the nested table is a nonpartitioned nested table of a partitioned base table.
storage_table
Specify the name of the table where the rows of nested_item reside.
You cannot query or perform DML statements on storage_table directly, but you can modify its storage characteristics by specifying its name in an ALTER TABLE statement.
See Also:
ALTER TABLE for information about modifying nested table column storage characteristics
RETURN [AS]
Specify what Oracle Database returns as the result of a query.
-
VALUEreturns a copy of the nested table itself. -
LOCATORreturns a collection locator to the copy of the nested table.The locator is scoped to the session and cannot be used across sessions. Unlike a LOB locator, the collection locator cannot be used to modify the collection instance.
If you do not specify the segment_attributes_clause or the LOB_storage_clause, then the nested table is heap organized and is created with default storage characteristics.
Restrictions on Nested Table Column Properties
Nested table column properties are subject to the following restrictions:
-
You cannot specify this clause for a temporary table.
-
You cannot specify this clause on an interval partitioned table.
-
You cannot specify the
oid_clause. -
At create time, you cannot use
object_propertiesto specify anout_of_line_ref_constraint,inline_ref_constraint, or foreign key constraint for the attributes of a nested table.
See Also:
-
ALTER TABLE for information about modifying nested table column storage characteristics
-
"Nested Table Example" and "Creating a Table: Multilevel Collection Example"
XMLType_column_properties
The XMLType_column_properties let you specify storage attributes for an XMLTYPE column.
XMLType_storage
XMLType tables and columns data can be stored as transportable binary XML, binary XML, or a set of objects in object-relational storage.
-
Specify
TRANSPORTABLE BINARY XMLto store XML data in a transportable format that is scalable and distributed. See Create Tables and Columns as Transportable Binary XML for examples.-
TRANSPORTABLE BINARY XMLcan only be stored inSECUREFILE. -
Any LOB parameters you specify are applied to the underlying BLOB column created for storing the transportable binary XML encoded value. .
-
You can not specify the
XMLSchema_specclause forTRANSPORTABLE BINARY XML.
-
-
Specify
BINARYXMLto store the XML data in compact binary XML format.Any LOB parameters you specify are applied to the underlying
BLOBcolumn created for storing the binary XML encoded value.In earlier releases, binary XML data is stored by default in a BasicFiles LOB. Beginning with Oracle Database 11g Release 2 (11.2.0.2), if the
COMPATIBLEinitialization parameter is 11.2 or higher and you do not specifyBASICFILEorSECUREFILE, then binary XML data is stored in a SecureFiles LOB whenever possible. If SecureFiles LOB storage is not possible then the binary XML data is stored in a BasicFiles LOB. This can occur if either of the following is true:-
The tablespace for the
XMLTypetable does not use automatic segment space management. -
A setting in file
init.oraprevents SecureFiles LOB storage. For example, see parameterDB_SECUREFILEin Oracle Database Reference.
-
-
Specify
CLOBif you want the database to store theXMLTypedata in aCLOBcolumn. Storing data in aCLOBcolumn preserves the original content and enhances retrieval time.If you specify LOB storage, then you can specify either LOB parameters or the
XMLSchema_specclause, but not both. Specify theXMLSchema_specclause if you want to restrict the table or column to particular schema-based XML instances.If you do not specify
BASICFILEorSECUREFILEwith this clause, then theCLOBcolumn is stored in a BasicFiles LOB.Note:
Oracle recommends against storing
XMLTypedata in aCLOBcolumn.CLOBstorage ofXMLTypeis deprecated. Use binary XML storage ofXMLTypeinstead. -
Specify
OBJECTRELATIONALif you want the database to store theXMLTypedata in object-relational columns. Storing data objects relationally lets you define indexes on the relational columns and enhances query performance.If you specify object-relational storage, then you must also specify the
XMLSchema_specclause.Use the
ALLVARRAYSASclause if you want the database to store all varrays in anXMLTypecolumn.
In earlier releases, XMLType data is stored in a CLOB column in a BasicFiles LOB by default. Beginning with Oracle Database 11g Release 2 (11.2.0.2), if the COMPATIBLE initialization parameter is 11.2 or higher and you do not specify the XMLType_storage clause, then XMLType data is stored in a binary XML column in a SecureFiles LOB. If SecureFiles LOB storage is not possible, then it is stored in a binary XML column in a BasicFiles LOB.
See Also:
Oracle Database SecureFiles and Large Objects Developer's Guide for more information on SecureFiles LOBs
XMLSchema_spec
Refer to the XMLSchema_spec for the full semantics of this clause.
See Also:
-
LOB_storage_clause for information on the
LOB_segnameandLOB_parametersclauses -
"XMLType Column Examples" for examples of
XMLTypecolumns in object-relational tables and "Using XML in SQL Statements" for an example of creating an XMLSchema -
Oracle XML DB Developer's Guide for more information on
XMLTypecolumns and tables and on creating XMLSchemas -
Oracle Database PL/SQL Packages and Types Reference for information on the
DBMS_XMLSCHEMApackage
XMLType_virtual_columns
This clause is valid only for XMLType tables with binary XML storage, which you designate in the XMLType_storage clause. Specify the VIRTUAL COLUMNS clause to define virtual (expression) columns, which can be used as in a function-based index or in the definition of a constraint. You cannot define a constraint on such a virtual (expression) column during creation of the table, but you can use a subsequent ALTER TABLE statement to add a constraint to the column.
See Also:
Oracle XML DB Developer's Guide for examples of how to use this clause in an XML environment
json_storage_clause
With support for JSON data type you can define a column of JSON data type using the JSON_storage_clause.
You can specify the JSON type modifier when you specify a JSON type column definition as follows:
Create a Table with a JSON Type Column: Example
This example creates table j_purchaseorder with JSON data type column po_document. Oracle recommends that you store JSON data as JSON type.
CREATE TABLE j_purchaseorder
(id VARCHAR2 (32) NOT NULL PRIMARY KEY,
date_loaded TIMESTAMP (6) WITH TIME ZONE,
po_document JSON );See Also:
For more information on creating a JSON column see Creating a Table with a JSON Column of the JSON developer's Guide.
read_only_clause
This clause lets you specify whether to create a table, partition, or subpartition in read-only or read/write mode.
-
Use
READONLYto specify read-only mode. When an object is in read-only mode, you cannot issue any DML statements that affect the object or anySELECT...FORUPDATE... statements on the object. You can issue DDL statements as long as they do not modify any table data. See Oracle Database Administrator’s Guide for the complete list of operations that are allowed and disallowed on read-only objects. -
Use
READWRITEto specify read/write mode. This is the default.
When you specify this clause for a partitioned table, you specify the default read-only or read/write mode for the table. This mode is assigned to all partitions in the table at creation time, as well as any partitions that are subsequently added to the table, unless you override this behavior by specifying the mode at the partition level.
When you specify this clause for a composite-partitioned table, you specify the default read-only or read/write mode for all partitions in the table. You can override this behavior by specifying this clause for a particular partition. The default mode of a partition is assigned to all subpartitions in the partition at creation time, as well as any subpartitions that are subsequently added to the partition, unless you override this behavior by specifying the mode at the subpartition level.
indexing_clause
The indexing_clause is valid only for partitioned tables. Use this clause to set the indexing property for a table, table partition, or table subpartition.
-
Specify
INDEXINGONto set the indexing property toON. This is the default. -
Specify
INDEXINGOFFto set the indexing property toOFF.
The indexing property determines whether table partitions and subpartitions are included in partial indexes on the table.
-
For simple partitioned tables, partitions with an indexing property of
ONare included in partial indexes on the table. Partitions with an indexing property ofOFFare excluded. -
For composite-partitioned tables, subpartitions with an indexing property of
ONare included in partial indexes on the table. Subpartitions with an indexing property ofOFFare excluded.
You can specify the indexing_clause at the table, partition, or subpartition level. When you specify the indexing_clause at the table level, in the table_properties clause, you set the default indexing property for the table. Interval partitions, which are automatically created by the database, always inherit the default indexing property for the table. Other types of partitions and subpartitions inherit the default indexing property as follows:
-
For simple partitioned tables, partitions inherit the default indexing property for the table. You can override this behavior by specifying the
indexing_clausefor an individual partition:-
For a range partition, in the
table_partition_descriptionof therange_partitionsclause -
For a hash partition, in the
individual_hash_partitionsclause of thehash_partitionsclause -
For a list partition, in the
table_partition_descriptionof thelist_partitionsclause -
For a reference partition, in the
table_partition_descriptionof thereference_partition_descclause of thereference_partitioningclause -
For a system partition, in the
table_partition_descriptionof thereference_partition_descclause of thesystem_partitioningclause
-
-
For composite-partitioned tables, subpartitions inherit the default indexing property for the table. You can override this behavior by specifying the
indexing_clausefor an individual partition or subpartition.If you specify the
indexing_clausefor a partition, then its subpartitions inherit the indexing property of the partition:-
For composite range partitions, in the
table_partition_descriptionof thecomposite_range_partitionsclause -
For composite list partitions, in the
table_partition_descriptionof thecomposite_list_partitionsclause -
For composite hash partitions, in the
individual_hash_partitionsclause of thecomposite_hash_partitionsclause
You can set the indexing property of a subpartition by specifying the
indexing_clausefor the subpartition:-
For range subpartitions, in the
range_subpartition_descclause of thecomposite_range_partitionsclause -
For list subpartitions, in the
list_subpartition_descclause of thecomposite_list_partitionsclause -
For hash subpartitions, in the
individual_hash_subpartsclause of thecomposite_hash_partitionsclause
-
See Also:
Oracle Database Reference for information on viewing the indexing property of a table, table partition, or table subpartition.
-
To view the default indexing property of a table, query the
DEF_INDEXINGcolumn of the*_PART_TABLESviews. -
To view the indexing property of a table partition, query the
INDEXINGcolumn of the*_TAB_PARTITIONSviews. -
To view the indexing property of a table subpartition, query the
INDEXINGcolumn of the*_TAB_SUBPARTITIONSviews.
Restrictions on the indexing_clause
The indexing_clause is subject to the following restrictions:
-
You cannot specify the
indexing_clausefor nonpartitioned tables. -
You cannot specify the
indexing_clausefor index-organized tables.
See Also:
The partial_index_clause of CREATE INDEX for more information on partial indexes
table_partitioning_clauses
Use the table_partitioning_clauses to create a partitioned table.
Notes on Partitioning in General
The following notes pertain to all types of partitioning:
-
You can specify up to a total of 1024K-1 partitions and subpartitions.
-
You can create a partitioned table with just one partition. A table with one partition is different from a nonpartitioned table. For example, you cannot add a partition to a nonpartitioned table.
-
You can specify a name for every table and LOB partition and for every table and LOB subpartition, but you need not do so. If you specify a name, then it must conform to the rules for naming schema objects and their parts as described in Database Object Naming Rules. If you omit the name, then the database generates names as follows:
-
If you omit a partition name, then the database generates a name of the form
SYS_Pn. System-generated names for LOB data and LOB index partitions take the formSYS_LOB_PnandSYS_IL_Pn, respectively. -
If you specify a subpartition name in
subpartition_template, then for each subpartition created with that template, the database generates a name by concatenating the partition name with the template subpartition name. For LOB subpartitions, the generated LOB subpartition name is a concatenation of the partition name and the template LOB segment name. If theCOMPATIBLEinitialization parameter is set to12.2or higher, then the maximum length of the concatenation is 128 bytes; otherwise, the maximum length is 30 bytes. If the concatenation exceeds the maximum length, then the database returns an error and the statement fails. -
If you omit a subpartition name when specifying an individual subpartition, and you have not specified
subpartition_template, then the database generates a name of the formSYS_SUBPn. The corresponding system-generated names for LOB data and index subpartitions areSYS_LOB_SUBPnandSYS_IL_SUBPn, respectively.
-
-
Tablespace storage can be specified at various levels in the
CREATETABLEstatement for both table segments and LOB segments. The number of tablespaces does not have to equal the number of partitions or subpartitions. If the number of partitions or subpartitions is greater than the number of tablespaces, then the database cycles through the names of the tablespaces.The database evaluates tablespace storage in the following order of descending priority:
-
Tablespace storage specified at the individual table subpartition or LOB subpartition level has the highest priority, followed by storage specified for the partition or LOB in the
subpartition_template. -
Tablespace storage specified at the individual table partition or LOB partition level. Storage parameters specified here take precedence over the
subpartition_template. -
Tablespace storage specified for the table
-
Default tablespace storage specified for the user
-
-
By default, nested tables are equipartitioned with the partitioned base table.
Restrictions on Partitioning in General
All partitioning is subject to the following restrictions:
-
You cannot partition a table that is part of a cluster.
-
You cannot partition a nested table or varray that is defined as an index-organized table.
-
You cannot partition a table containing any
LONGorLONGRAWcolumns.
Restrictions on Hybrid Partitioned Tables
-
Restrictions that apply to external tables also apply to hybrid partitioned tables unless explicitly noted. Only DML operations are supported on internal partitions of a hybrid partitioned table (external partitions are treated as read-only partitions).
-
Only single level
LIST,RANGE, interval and autolist partitioning are supported. -
The following DDLs are supported:
ADD PARTITION,ADD SUBPARTITION,DROP PARTITION,DROP SUBPARTITION,EXCHANGE PARTITION,EXCHANGE SUBPARTITIONon internal and external partitions and subpartitions. Partitions and subpartitions can also be renamed. -
The DDLs
MOVE,SPLITandMERGEare supported on internal partition and subpartitions only. -
Existing DMLs are supported on internal partitions only. External partitions are treated as read-only. All triggers are supported.
-
Table level non-enforced constraints in mandatory
RELY DISABLEmode are supported. The only supported enforced constraint isNOT NULLconstraint. -
Unique indexes and global unique indexes are not supported. Only non-unique partial indexes are supported on internal partitions. External partitions are not indexable.
-
Only single level list partitioning is supported for HIVE.
-
Attribute clustering (
CLUSTERINGclause) is not allowed. -
In-memory defined on the table level only has an effect on internal partitions of the hybrid partitioned table.
-
No column default value is allowed.
-
Invisible columns are not allowed.
-
The
CELLMEMORYclause is not allowed. -
SPLIT,MERGE, andMOVEmaintenance operations are not allowed on external partitions.
The storage of partitioned database entities in tablespaces of different block sizes is subject to several restrictions. Refer to Oracle Database VLDB and Partitioning Guide for a discussion of these restrictions.
See Also:
range_partitions
Use the range_partitions clause to partition the table on ranges of values from the column list. For an index-organized table, the column list must be a subset of the primary key columns of the table.
Restrictions on Range Partitioning
Range partitioning is subject to the restrictions listed in "Restrictions on Partitioning in General". The following additional restrictions apply:
-
You cannot specify more than 16 partitioning key columns.
-
Partitioning key columns must be of type
CHAR,NCHAR,VARCHAR2,NVARCHAR2,VARCHAR,NUMBER,FLOAT,DATE,TIMESTAMP,TIMESTAMPWITHLOCALTIMEZONE, orRAW. -
Each range partitioning key column with a character data type that belongs to an
XMLTypetable or a table with anXMLTypecolumn, or that is used as a sharding key column must have one of the following declared collations:BINARY,USING_NLS_COMP,USING_NLS_SORT, orUSING_NLS_SORT_CS. For all these collations, partition bounds are checked using the collationBINARY. -
You cannot specify NULL in the
VALUESclause.
column
Specify an ordered list of columns used to determine into which partition a row belongs. These columns are the partitioning key. You can specify virtual (expression) columns and INVISIBLE columns as partitioning key columns.
Use this clause to establish interval partitioning for the table. Interval partitions are partitions based on a numeric range or datetime interval. They extend range partitioning by instructing the database to create partitions of the specified range or interval automatically when data inserted into the table exceeds all of the range partitions. For each automatically created partition, the database generates a name of the form SYS_Pn. The database guarantees that automatically generated partition names are unique and do not violate namespace rules.
-
For
expr, specify a valid number or interval expression. -
The optional
STOREINclause lets you specify one or more tablespaces into which the database will store interval partition data. -
You must also specify at least one range partition using the
PARTITIONclause ofrange_partitions. The range partition key value determines the high value of the range partitions, which is called the transition point, and the database creates interval partitions for data beyond that transition point.
Restrictions on Interval Partitioning
The INTERVAL clause is subject to the restrictions listed in "Restrictions on Partitioning in General" and "Restrictions on Range Partitioning". The following additional restrictions apply:
-
You can specify only one partitioning key column, and it must be of type
NUMBER,DATE,FLOAT,TIMESTAMP, orTIMESTAMP WITH LOCAL TIME ZONE. -
This clause is not supported for index-organized tables.
-
This clause is not supported for tables containing varray columns.
-
You cannot create an interval-partitioned table with equipartitioned nested tables. If you create an interval-partitioned table using nested tables or XML object-relational data types, then the nested tables will be created as nonpartitioned tables.
-
This clause is supported for tables containing
XMLTypecolumns only if the XML data is stored as binary XML. -
Interval partitioning is not supported at the subpartition level.
-
Serializable transactions do not work with interval partitioning. Trying to insert data into a partition of an interval partitioned table that does not yet have a segment causes an error.
-
In the
VALUESclause:-
You cannot specify
MAXVALUE(an infinite upper bound), because doing so would defeat the purpose of the automatic addition of partitions as needed. -
You cannot specify
NULLvalues for the partitioning key column.
-
See Also:
Oracle Database VLDB and Partitioning Guide for more information on interval partitioning
PARTITION partition
If you specify a partition name, then the name partition must conform to the rules for naming schema objects and their part as described in "Database Object Naming Rules". If you omit partition, then the database generates a name as described in "Notes on Partitioning in General".
range_values_clause
Specify the noninclusive upper bound for the current partition. The value list is an ordered list of literal values corresponding to the column list in the range_partitions clause. You can substitute the keyword MAXVALUE for any literal in the value list. MAXVALUE specifies a maximum value that will always sort higher than any other value, including null.
Specifying a value other than MAXVALUE for the highest partition bound imposes an implicit integrity constraint on the table.
Note:
If table is partitioned on a DATE column, and if the date format does not specify the first two digits of the year, then you must use the TO_DATE function with the YYYY 4-character format mask for the year. The RRRR format mask is not supported in this clause. The date format is determined implicitly by NLS_TERRITORY or explicitly by NLS_DATE_FORMAT. Refer to Oracle Database Globalization Support Guide for more information on these initialization parameters.
See Also:
Oracle Database Concepts for more information about partition bounds and "Range Partitioning Example"
table_partition_description
Use the table_partition_description to define the physical and storage characteristics of the table.
The clauses deferred_segment_creation, segment_attributes_clause, table_compression, inmemory_clause, and ilm_clause have the same function as described for the physical_properties of the table as a whole.
Use the indexing_clause to set the indexing property for a range, list, system, or reference table partition. Refer to the indexing_clause for more information.
The prefix_compression clause and OVERFLOW clause, have the same function as described for the index_org_table_clause.
LOB_storage_clause
The LOB_storage_clause lets you specify LOB storage characteristics for one or more LOB items in this partition or in any range or list subpartitions of this partition. If you do not specify the LOB_storage_clause for a LOB item, then the database generates a name for each LOB data partition as described in "Notes on Partitioning in General".
varray_col_properties
The varray_col_properties let you specify storage characteristics for one or more varray items in this partition or in any range or list subpartitions of this partition.
nested_table_col_properties
The nested_table_col_properties let you specify storage characteristics for one or more nested table storage table items in this partition or in any range or list subpartitions of this partition. Storage characteristics specified in this clause override any storage attributes specified at the table level.
partitioning_storage_clause
Use the partitioning_storage_clause to specify storage characteristics for hash partitions and for range, hash, and list subpartitions.
Restrictions on partitioning_storage_clause
This clause is subject to the following restrictions:
-
The
TABLESPACESETclause is valid only when creating a sharded table by specifying theSHARDEDkeyword ofCREATETABLE. Use this clause to specify the tablespace set in which table partition data is to be stored. -
The
OVERFLOWclause is relevant only for index-organized partitioned tables and is valid only within theindividual_hash_partitionsclause. It is not valid for range or hash partitions or for subpartitions of any type. -
You cannot specify the
advanced_index_compressionclause of theindex_compressionclause. -
You can specify the
prefix_compressionclause of theindexing_clauseonly for partitions of index-organized tables and you can specifyCOMPRESSorNOCOMPRESS, but you cannot specify the prefix length withinteger.
list_partitions
Use the list_partitions clause to partition the table on a list of literal values for each column in the column list. List partitioning is useful for controlling how individual rows map to specific partitions.
Restrictions on List Partitioning
List partitioning is subject to the restrictions listed in "Restrictions on Partitioning in General". The following additional restrictions apply:
-
You cannot specify more than 16 partitioning key columns.
-
You cannot specify more than one partitioning key column when partitioning an index-organized table.
-
The partitioning key columns must be of type
CHAR,NCHAR,VARCHAR2,NVARCHAR2,VARCHAR,NUMBER,FLOAT,DATE,TIMESTAMP,TIMESTAMPWITHLOCALTIMEZONE, orRAW. -
Each list partitioning key column with a character data type that belongs to an
XMLTypetable or a table with anXMLTypecolumn, or that is used as a sharding key column must have one of theBINARYfollowing declared collations:BINARY,USING_NLS_COMP,USING_NLS_SORT, orUSING_NLS_SORT_CS. For all these collations, partitions are matched using the collation BINARY.
AUTOMATIC
Specify AUTOMATIC to create an automatic list-partitioned table. This type of table enables the database to create additional partitions on demand.
When you create an automatic list-partitioned table, you specify partitions and partitioning key values just as you would when creating a regular list-partitioned table. However, you do not specify a DEFAULT partition. As data is loaded into the table, the database automatically creates a new partition when the loaded partitioning key values do not correspond to any of the existing partitions. If list partitioning is defined with a single partitioning key value, then the database creates a new partition for each new partitioning key value. If list partitioning is defined with multiple partitioning key columns, then the database creates a new partition for each new and unique set of partitioning key values. For each automatically created partition, the database generates a name of the form SYS_Pn. The database guarantees that automatically generated partition names are unique and do not violate namespace rules.
You can specify the AUTOMATIC keyword for list-partitioned tables, and list-range, list-list, list-hash, and list-interval composite-partitioned tables. For composite-partitioned tables, each automatically created list partition will have one subpartition, unless a subpartition template is defined for the table.
If a local partitioned index is defined on an automatic list-partitioned table, then local index partitions will be created when the corresponding table partitions are created.
Restrictions on Automatic List Partitioning
Automatic list partitioning is subject to the restrictions listed in "Restrictions on List Partitioning". The following additional restrictions apply:
-
An automatic list-partitioned table must have at least one partition when created. Because new partitions are automatically created for new, and unknown, partitioning key values, an automatic list-partitioned table cannot have a
DEFAULTpartition. -
Automatic list partitioning is not supported for index-organized tables or external tables.
-
Automatic list partitioning is not supported for tables containing varray columns.
-
You cannot create a local domain index on an automatic list-partitioned table. You can create a global domain index on an automatic list-partitioned table.
-
An automatic list-partitioned table cannot be a child table or a parent table for reference partitioning.
-
Automatic list partitioning is not supported at the subpartition level.
STORE IN
The optional STORE IN clause lets you specify one or more tablespaces into which the database will store data for the automatically created list partitions.
Note:
You can change an automatic list-partitioned table to a regular list-partitioned table, and vice versa. You can also change the tablespaces into which the database will store data for automatically created list partitions. See the clause alter_automatic_partitioning of ALTER TABLE for more information.
list_values_clause
The list_values_clause of each partition must have at least one value. If the table is partitioned on one key column, then use the upper branch of the list_values syntax to specify a list of values for that column. In this case, no value, including NULL, can appear in more than one partition. If the table is partitioned on multiple key columns, then use the lower branch of the list_values syntax to specify a list of value lists. Each value list is enclosed in parentheses and represents a list of values for the key columns. In this case, individual key column values can appear in more than one partition; however, no complete value list can appear in more than one partition. List partitions are not ordered.
If you specify the literal NULL for a partition value in the VALUES clause, then to access data in that partition in subsequent queries, you must use an IS NULL condition in the WHERE clause, rather than a comparison condition.
The DEFAULT keyword creates a partition into which the database will insert any row that does not map to another partition. Therefore, you can specify DEFAULT for only one partition, and you cannot specify any other values for that partition. Further, the default partition must be the last partition you define. The use of DEFAULT is similar to the use of MAXVALUE for range partitions.
The string comprising the list of values for each partition can be up to 4K bytes. The total number of values for all partitions cannot exceed 64K-1.
The partitioning key column for a list partition can be an extended data type column, which has a maximum size of 32767 bytes. In this case, the list of values that you want to specify for a partition may exceed the 4K byte limit. You can work around this limitation by using one of the following methods:
-
Use the
DEFAULTpartition for values that exceed the 4K byte limit. -
Use a hash function, such as
STANDARD_HASH, in the partition key column to create unique identifiers of lengths less than 4K bytes. See STANDARD_HASH for more information.
Restriction on the list_values_clause
You cannot specify a DEFAULT partition for an automatic list-partitioned table.
See Also:
"Extended Data Types" for more information on extended data types
table_partition_description
The subclauses of the table_partition_description have the same behavior as described for range partitions in table_partition_description.
hash_partitions
Use the hash_partitions clause to specify that the table is to be partitioned using the hash method. Oracle Database assigns rows to partitions using a hash function on values found in columns designated as the partitioning key. You can specify individual hash partitions, or you can specify how many hash partitions the database should create.
Restrictions on Hash Partitioning
Hash partitioning is subject to the restrictions listed in "Restrictions on Partitioning in General". The following additional restrictions apply:
-
You cannot specify more than 16 partitioning key columns.
-
Partitioning key columns must be of type
CHAR,NCHAR,VARCHAR2,NVARCHAR2,VARCHAR,NUMBER,FLOAT,DATE,TIMESTAMP,TIMESTAMPWITHLOCALTIMEZONE, orRAW. -
Each hash partitioning key column with a character data type that belongs to an
XMLTypetable or a table with anXMLTypecolumn, or that is used as a sharding key column must have one of the following declared collations:BINARY,USING_NLS_COMP,USING_NLS_SORT, orUSING_NLS_SORT_CS.
column
Specify an ordered list of columns used to determine into which partition a row belongs (the partitioning key).
individual_hash_partitions
Use this clause to specify individual partitions by name.
Use the indexing_clause to set the indexing property for a hash partition. Refer to the indexing_clause for more information.
Restriction on Specifying Individual Hash Partitions
The only clauses you can specify in the partitioning_storage_clause are the TABLESPACE clause and table compression.
Note:
If your enterprise has or will have databases using different character sets, then use caution when partitioning on character columns. The sort sequence of characters is not identical in all character sets. Refer to Oracle Database Globalization Support Guide for more information on character set support.
hash_partitions_by_quantity
An alternative to defining individual partitions is to specify the number of hash partitions. In this case, the database assigns partition names of the form SYS_Pn. The STORE IN clause lets you specify one or more tablespaces where the hash partition data is to be stored. The number of tablespaces need not equal the number of partitions. If the number of partitions is greater than the number of tablespaces, then the database cycles through the names of the tablespaces.
For both methods of hash partitioning, for optimal load balancing you should specify a number of partitions that is a power of 2. When you specify individual hash partitions, you can specify both TABLESPACE and table compression in the partitioning_storage_clause. When you specify hash partitions by quantity, you can specify only TABLESPACE. Hash partitions inherit all other attributes from table-level defaults.
The table_compression clause has the same function as described for the table_properties of the table as a whole.
The prefix_compression clause and the OVERFLOW clause have the same function as described for the index_org_table_clause.
Tablespace storage specified at the table level is overridden by tablespace storage specified at the partition level, which in turn is overridden by tablespace storage specified at the subpartition level.
In the individual_hash_partitions clause, the TABLESPACE clause of the partitioning_storage_clause determines tablespace storage only for the individual partition being created. In the hash_partitions_by_quantity clause, the STORE IN clause determines placement of partitions as the table is being created and the default storage location for subsequently added partitions.
Restriction on Specifying Hash Partitions by Quantity
You cannot specify the advanced_index_compression clause of the index_compression clause.
See Also:
Oracle Database VLDB and Partitioning Guide for more information on hash partitioning
composite_range_partitions
Use the composite_range_partitions clause to first partition table by range, and then partition the partitions further into range, hash, or list subpartitions.
The INTERVAL clause has the same semantics for composite range partitioning that it has for range partitioning. Refer to "INTERVAL Clause" for more information.
Specify subpartition_by_range, subpartition_by_hash or subpartition_by_list to indicate the type of subpartitioning you want for each composite range partition. Within these clauses you can specify a subpartition template, which establishes default subpartition characteristics for subpartitions created as part of this statement or subsequently created subpartitions.
After establishing the type of subpartitioning you want for the table, and optionally a subpartition template, you must define at least one range partition.
-
You must specify the range_values_clause, which has the same requirements as for noncomposite range partitions.
-
Use the table_partition_description to define the physical and storage characteristics of the each partition.
-
In the
range_partition_desc, userange_subpartition_desc,list_subpartition_desc,individual_hash_subparts, orhash_subparts_by_quantityto specify characteristics for the individual subpartitions of the partition. The values you specify in these clauses supersede for these subpartitions any values you have specified in thesubpartition_template. -
The only characteristics you can specify for a hash or list subpartition or any LOB subpartition are
TABLESPACEandtable_compression.
Restrictions on Composite Range Partitioning
Regardless of the type of subpartitioning, composite range partitioning is subject to the following restrictions:
-
The only physical attributes you can specify at the subpartition level are
TABLESPACEand table compression. -
You cannot specify composite partitioning for an index-organized table. Therefore, the
OVERFLOWclause of thetable_partition_descriptionis not valid for composite-partitioned tables. -
You cannot specify composite partitioning for tables containing
XMLTypecolumns. -
Each range, list, or hash subpartitioning key column with a character data type that belongs to an
XMLTypetable or a table with anXMLTypecolumn must have one of the following declared collations:BINARY,USING_NLS_COMP,USING_NLS_SORT, orUSING_NLS_SORT_CS.
See Also:
"Composite-Partitioned Table Examples" for examples of composite range partitioning and Oracle Database VLDB and Partitioning Guide for examples of composite list partitioning
composite_list_partitions
Use the composite_list_partitions clause to first partition table by list, and then partition the partitions further into range, hash, or list subpartitions.
Specify subpartition_by_range, subpartition_by_hash or subpartition_by_list to indicate the type of subpartitioning you want for each composite list partition. Within these clauses you can specify a subpartition template, which establishes default subpartition characteristics for subpartitions created as part of this statement and for subsequently created subpartitions.
After establishing the type of subpartitioning you want for each composite partition, and optionally defining a subpartition template, you must define at least one list partition.
-
In the
list_partition_desc, you must specify the list_values_clause, which has the same requirements as for noncomposite list partitions. -
Use the table_partition_description to define the physical and storage characteristics of the each partition.
-
In the
list_partition_desc, userange_subpartition_desc,list_subpartition_desc,individual_hash_subparts, orhash_subparts_by_quantityto specify characteristics for the individual subpartitions of the partition. The values you specify in these clauses supersede the for these subpartitions any values you have specified in thesubpartition_template.
Specify AUTOMATIC to create an automatic list-range, list-list, list-hash, or list-interval composite-partitioned table. This type of table enables the database to create additional partitions on demand. The optional STORE IN clause lets you specify one or more tablespaces into which the database will store data for the automatically created partitions. The AUTOMATIC and STORE IN clauses have the same semantics here as they have for noncomposite list partitions. Refer to AUTOMATIC and STORE IN in the documentation on list_partitions for the full semantics of these clauses. Automatic composite-partitioned tables are subject to the restrictions listed in Restrictions on Composite List Partitioning and Restrictions on Automatic List Partitioning.
Restrictions on Composite List Partitioning
Composite list partitioning is subject to the same restrictions as described in "Restrictions on Composite Range Partitioning".
composite_hash_partitions
Use the composite_hash_partitions clause to first partition table using the hash method, and then partition the partitions further into range, hash, or list subpartitions.
Specify subpartition_by_range, subpartition_by_hash or subpartition_by_list to indicate the type of subpartitioning you want for each composite range partition. Within these clauses you can specify a subpartition template, which establishes default subpartition characteristics for subpartitions created as part of this statement or subsequently created subpartitions.
After establishing the type of subpartitioning you want for the table, you must specify individual_hash_partitions or hash_partitions_by_quantity.
Restrictions on Composite Hash Partitioning
Composite hash partitioning is subject to the same restrictions as described in "Restrictions on Composite Range Partitioning".
subpartition_template
The subpartition_template is an optional element of range, list, and hash subpartitioning. The template lets you define default subpartitions for each table partition. Oracle Database will create these default subpartition characteristics in any partition for which you do not explicitly define subpartitions. This clause is useful for creating symmetric partitions. You can override this clause by explicitly defining subpartitions at the partition level, in the range_subpartition_desc, list_subpartition_desc, individual_hash_subparts, or hash_subparts_by_quantity clause.
When defining subpartitions with a template, you can explicitly define range, list, or hash subpartitions, or you can define a quantity of hash subpartitions.
-
To explicitly define subpartitions, use
range_subpartition_desc,list_subpartition_desc, orindividual_hash_subparts. You must specify a name for each subpartition. If you specify theLOB_partitioning_clauseof thepartitioning_storage_clause, then you must specifyLOB_segname. -
To define a quantity of hash subpartitions, specify a positive integer for
hash_subpartition_quantity. The database creates that number of subpartitions in each partition and assigns subpartition names of the formSYS_SUBPn.
Note:
When you specify tablespace storage for the subpartition template, it does not override any tablespace storage you have specified explicitly for the partitions of table. To specify tablespace storage for subpartitions, do one of these things:
-
Omit tablespace storage at the partition level and specify tablespace storage in the subpartition template.
-
Define individual subpartitions with specific tablespace storage.
Restrictions on Subpartition Templates
Subpartition templates are subject to the following restrictions:
-
If you specify
TABLESPACEfor one LOB subpartition, then you must specifyTABLESPACEfor all of the LOB subpartitions of that LOB column. You can specify the same tablespace for more than one LOB subpartition. -
If you specify separate LOB storage for list subpartitions using the
partitioning_storage_clause, either in thesubpartition_templateor when defining individual subpartitions, then you must specifyLOB_segnamefor both LOB and varray columns.
subpartition_by_range
Use the subpartition_by_range clause to indicate that the database should subpartition by range each partition in table. The subpartitioning column list is unrelated to the partitioning key but is subject to the same restrictions (see column).
You can use the subpartition_template to specify default subpartition characteristic values. See subpartition_template. The database uses these values for any subpartition in this partition for which you do not explicitly specify the characteristic.
You can also define range subpartitions individually for each partition using the range_subpartition_desc of range_partition_desc or list_partition_desc. If you omit both subpartition_template and the range_subpartition_desc, then the database creates a single MAXVALUE subpartition.
subpartition_by_list
Use the subpartition_by_list clause to indicate that the database should subpartition each partition in the table on lists of literal values from the column list. You can specify a maximum of 16 list subpartitioning key columns.
You can use the subpartition_template to specify default subpartition characteristic values. See subpartition_template. The database uses these values for any subpartition in this partition for which you do not explicitly specify the characteristic.
You can also define list subpartitions individually for each partition using the list_subpartition_desc of range_partition_desc or list_partition_desc. If you omit both subpartition_template and the list_subpartition_desc, then the database creates a single DEFAULT subpartition.
Restrictions on List Subpartitioning
List subpartitioning is subject to the same restrictions as described in Restrictions on Composite Range Partitioning.
subpartition_by_hash
Use the subpartition_by_hash clause to indicate that the database should subpartition by hash each partition in table. The subpartitioning column list is unrelated to the partitioning key but is subject to the same restrictions (see column).
You can define the subpartitions using the subpartition_template or the SUBPARTITIONS integer clause. See subpartition_template. In either case, for optimal load balancing you should specify a number of partitions that is a power of 2.
If you specify SUBPARTITIONS integer, then you determine the default number of subpartitions in each partition of table, and optionally one or more tablespaces in which they are to be stored. The default value is 1. If you omit both this clause and subpartition_template, then the database will create each partition with one hash subpartition.
Notes on Composite Partitions
The following notes apply to composite partitions:
-
For all subpartitions, you can use the
range_subpartition_desc,list_subpartition_desc,individual_hash_subparts, orhash_subparts_by_quantityto specify individual subpartitions by name, and optionally some other characteristics. -
Alternatively, for hash and list subpartitions:
-
You can specify the number of subpartitions and optionally one or more tablespaces where they are to be stored. In this case, Oracle Database assigns subpartition names of the form
SYS_SUBPn. -
If you omit the subpartition description and if you have created a subpartition template, then the database uses the template to create subpartitions. If you have not created a subpartition template, then the database creates one hash subpartition or one
DEFAULTlist subpartition.
-
-
For all types of subpartitions, if you omit the subpartitions description entirely, then the database assigns subpartition names as follows:
-
If you have specified a subpartition template and you have specified partition names, then the database generates subpartition names of the form
partition_nameunderscore (_)subpartition_name(for example,P1_SUB1). -
If you have not specified a subpartition template or if you have specified a subpartition template but did not specify partition names, then the database generates subpartition names of the form
SYS_SUBPn.
-
reference_partitioning
Use this clause to partition the table by reference. Partitioning by reference is a method of equipartitioning the table being created (the child table) by a referential constraint to an existing partitioned table (the parent table). When you partition a table by reference, partition maintenance operations subsequently performed on the parent table automatically cascade to the child table. Therefore, you cannot perform partition maintenance operations on a reference-partitioned table directly.
If the parent table is an interval-partitioned table, then partitions in the reference-partitioned child table that correspond to interval partitions in the parent table will be created during inserts into the child table. When an interval partition in a child table is created, the partition name is inherited from the associated parent table partition. If the child table has a table-level default tablespace, then it will be used as the tablespace for the new interval partition. Otherwise, the tablespace will be inherited from the parent table partition. Refer to Oracle Database VLDB and Partitioning Guide for more information on referencing an interval-partitioned table.
The partitioning referential constraint must meet the following conditions:
-
You must specify a referential integrity constraint defined on the table being created, which must refer to a primary key or unique constraint on the parent table. The constraint must be in
ENABLEVALIDATENOTDEFERRABLEstate, which is the default when you specify a referential integrity constraint during table creation. -
All foreign key columns referenced in the constraint must be
NOTNULL. -
When you specify the constraint, you cannot specify the
ONDELETESETNULLclause of thereferences_clause. -
The parent table referenced in the constraint must be an existing partitioned table. It can be partitioned by any method.
-
The foreign and parent keys cannot contain any virtual (expression) columns that reference PL/SQL functions or LOB columns.
reference_partition_desc
Use this optional clause to specify partition names and to define the physical and storage characteristics of the partition. The subclauses of the table_partition_description have the same behavior as described for range partitions in table_partition_description.
If you specify this clause when creating a reference-partitioned child table whose parent is an interval-partitioned table, then the partition descriptors are used for the child table's non-interval partitions. Partition descriptors cannot be specified for interval partitions.
Restrictions on Reference Partitioning
Reference partitioning is subject to the restrictions listed in Restrictions on Partitioning in General. The following additional restrictions apply:
-
Restrictions for reference partitioning are derived from the partitioning strategy of the parent table.
-
Neither the parent table nor the child table can be an automatic list-partitioned table.
-
You cannot specify this clause for an index-organized table, an external table, or a domain index storage table.
-
The parent table can be partitioned by reference, but
constraintcannot be self-referential. The table being created cannot be partitioned based on a reference to itself. -
If
ROWMOVEMENTis enabled for the parent table, it must also be enabled for the child table.
See Also:
Oracle Database VLDB and Partitioning Guide for more information on partitioning by reference and "Reference Partitioning Example"
system_partitioning
Use this clause to create system partitions. System partitioning does not entail any partitioning key columns, nor do system partitions have any range or list bounds or hash algorithms. Rather, they provide a way to equipartition dependent tables such as nested table or domain index storage tables with partitioned base tables.
-
If you specify only
PARTITIONBYSYSTEM, then the database creates one partition with a system-generated name of the formSYS_Pn. -
If you specify
PARTITIONBYSYSTEMPARTITIONSinteger, then the database creates as many partitions as you specify ininteger, which can range from 1 to 1024K-1. -
The description of the partition takes the same syntax as reference partitions, so they share the
reference_partition_desc. You can specify additional partition attributes with thereference_partition_descsyntax. However, within thetable_partition_description, you cannot specify theOVERFLOWclause.
Restrictions on System Partitioning
System partitioning is subject to the following restrictions:
-
You cannot system partition an index-organized table or a table that is part of a cluster.
-
Composite partitioning is not supported with system partitioning.
-
You cannot split a system partition.
-
You cannot specify system partitioning in a
CREATETABLE...ASSELECTstatement. -
To insert data into a system-partitioned table using an
INSERTINTO...ASsubquerystatement, you must use partition-extended syntax to specify the partition into which the values returned by the subquery will be inserted.
See Also:
Refer to Oracle Database Data Cartridge Developer's Guide for information on the uses for system partitioning and "References to Partitioned Tables and Indexes"
consistent_hash_partitions
This clause is valid only for sharded tables. Use this clause to create consistent hash partitions.
Each sharding key column with a character data type must have one of the following declared collations: BINARY, USING_NLS_COMP, USING_NLS_SORT, or USING_NLS_SORT_CS.
directory_based_partitions
Use this clause to create a sharded table with directory-based sharding.
The restrictions that apply to sharded tables apply to tables sharded by directory.
Example: Create Sharded Table and Partition by Directory
CREATE SHARDED TABLE departments
( department_id NUMBER(6)
, department_name VARCHAR2(30) CONSTRAINT dept_name_nn NOT NULL
, manager_id NUMBER(6)
, location_id NUMBER(4)
, CONSTRAINT dept_id_pk PRIMARY KEY(department_id)
)
PARTITION BY DIRECTORY (department_id)
(
PARTITION p_1 TABLESPACE tbs1,
PARTITION p_2 TABLESPACE tbs2
);In the example above, when you partition by directory the partition names p_1 and p_2 do not a have value list after them. This is different from partition by list.
consistent_hash_with_subpartitions
This clause is valid only for sharded tables. Use this clause to create consistent hash with subpartitions.
Each sharding key column with a character data type must have one of the following declared collations: BINARY, USING_NLS_COMP, USING_NLS_SORT, or USING_NLS_SORT_CS.
range_partitionset_clause
Use this clause to create a range partition set.
In the SUBPARTITION BY clause, within the subpartition_template clause, you cannot specify a tablespace for a subpartition. That is, for range, list, and individual hash subpartitions, you cannot specify the TABLESPACE clause of the partitioning_storage_clause, and in the hash_subpartitions_by_quantity clause, you cannot specify the STORE IN (tablespace) clause.
In the PARTITIONS AUTO clause, within the subpartition_template clause of the range_partitionset_desc clause, you can specify a tablespace for a subpartition.
Each super sharding or sharding key column with a character data type must have one of the following declared collations: BINARY, USING_NLS_COMP, USING_NLS_SORT, or USING_NLS_SORT_CS.
list_partitionset_clause
Use this clause to create a list partition set.
In the SUBPARTITION BY clause, within the subpartition_template clause, you cannot specify a tablespace for a subpartition. That is, for range, list, and individual hash subpartitions, you cannot specify the TABLESPACE clause of the partitioning_storage_clause, and in the hash_subpartitions_by_quantity clause, you cannot specify the STORE IN (tablespace) clause.
In the PARTITIONS AUTO clause, within the subpartition_template clause of the list_partitionset_desc clause, you can specify a tablespace for a subpartition.
Each super sharding or sharding key column with a character data type must have one of the following declared collations: BINARY, USING_NLS_COMP, USING_NLS_SORT, or USING_NLS_SORT_CS.
attribute_clustering_clause
Use this clause to enable the table for attribute clustering. Attribute clustering lets you cluster data in close physical proximity based on the content of specified columns.
Attribute clustering can be based only on columns in table or on joined values from other tables. The latter is called join attribute clustering.
See Also:
Oracle Database Data Warehousing Guide for more information on attribute clustering
clustering_join
Use this clause to specify join attribute clustering. Use the JOIN clause to specify the joined values from other tables on which to base the attribute clustering. You can specify a maximum of four JOIN clauses.
cluster_clause
Use this clause to specify the type of ordering to use for the table: linear ordering or interleaved ordering. If you do not specify the LINEAR or INTERLEAVED keyword, then the default is LINEAR.
BY LINEAR ORDER
Use this clause to specify linear ordering. This type of ordering stores data according to the order of the specified columns. If you specify this clause, then you can specify only one clustering column group, which can contain at most 10 columns.
BY INTERLEAVED ORDER
Use this clause to specify interleaved ordering. This type of ordering uses a special multidimensional clustering technique, similar to z-ordering, that permits multicolumn clustering. If you specify this clause, then you can specify at most four clustering column groups, with a maximum of 40 columns across all groups.
clustering_columns
Use this clause to specify one or more clustering column groups.
clustering_column_group
Use this clause to specify one or more columns to be included in the clustering column group.
Restriction on Attribute Clustering Columns
Each character column in the clustering column group must have one of the following declared collations: BINARY or USING_NLS_COMP.
clustering_when
Use these clauses to allow or disallow attribute clustering during direct-path insert operations and data movement operations.
ON LOAD
Specify YES ON LOAD to allow, or NO ON LOAD to disallow, attribute clustering during direct-path inserts (serial or parallel) resulting either from an INSERT or a MERGE operation.
The default is YES ON LOAD.
ON DATA MOVEMENT
Specify YES ON DATA MOVEMENT to allow, or NO ON DATA MOVEMENT to disallow, attribute clustering for data movement that occurs during the following operations:
-
Data redefinition using the
DBMS_REDEFINITIONpackage -
Table partition maintenance operations that are specified by the following clauses of
ALTERTABLE:coalesce_table,merge_table_partitions,move_table_partition, andsplit_table_partition
The default is YES ON DATA MOVEMENT.
zonemap_clause
Use this clause to create a zone map on the table. The zone map tracks the columns specified in the clustering_columns clause.
-
Specify
WITHMATERIALIZEDZONEMAPto create a zone map. Forzonemap_name, specify the name of the zone map to be created. If you omitzonemap_name, then the name of the zone map isZMAP$_table. -
Specify
WITHOUTMATERIALIZEDZONEMAPto not create a zone map. This is the default.
If you subsequently drop the table or use the ALTER TABLE statement to DROP CLUSTERING or MODIFY CLUSTERING ... WITHOUT MATERIALIZED ZONEMAP, then the zone map will be dropped.
See Also:
CREATE MATERIALIZED ZONEMAP for more information on zone maps
Restrictions on Attribute Clustering
The following restrictions apply to attribute clustering:
-
Attribute clustering is not supported for temporary tables or external tables.
-
The table being created must be a heap-organized table. However, tables specified in the
clustering_joinclause can be heap-organized or index-organized tables. -
Clustering columns must be of a scalar data type and cannot be encrypted.
-
If you specify
BYLINEARORDER, then you can specify only one clustering column group, which can contain at most 10 columns. -
If you specify
BYINTERLEAVEDORDER, then you can specify at most four clustering column groups, with a maximum of 40 columns across all groups. -
For join attribute clustering:
-
The number of dimension tables cannot exceed four.
-
The join to the table or tables providing the attribute clustering columns must be on a unique key or primary key column to avoid row duplication.
-
-
Attribute clustering will not order rows that are inserted using
MERGEstatements or multitable insert operations.
CACHE | NOCACHE | CACHE READS
Use these clauses to indicate how Oracle Database should store blocks in the buffer cache. For LOB storage, you can specify CACHE, NOCACHE, or CACHE READS. For other types of storage, you can specify only CACHE or NOCACHE.
If you omit these clauses, then:
-
In a
CREATETABLEstatement,NOCACHEis the default. -
In an
ALTERTABLEstatement, the existing value is not changed.
The behavior of CACHE and NOCACHE described in this section does not apply when Oracle Database chooses to use direct reads or to perform table scans using parallel query.
For data that is accessed frequently, this clause indicates that the blocks retrieved for this table are placed at the most recently used end of the least recently used (LRU) list in the buffer cache when a full table scan is performed. This attribute is useful for small lookup tables.
See Also:
Oracle Database Concepts for more information on how the database maintains the least recently used (LRU) list
As a parameter in the LOB_storage_clause, CACHE specifies that the database places LOB data values in the buffer cache for faster access. The database evaluates this parameter in conjunction with the logging_clause. If you omit this clause, then the default value for both BasicFiles and SecureFiles LOBs is NOCACHE LOGGING.
Restriction on CACHE
You cannot specify CACHE for an index-organized table. However, index-organized tables implicitly provide CACHE behavior.
For data that is not accessed frequently, this clause indicates that the blocks retrieved for this table are placed at the least recently used end of the LRU list in the buffer cache when a full table scan is performed. NOCACHE is the default for LOB storage.
As a parameter in the LOB_storage_clause, NOCACHE specifies that the LOB values are not brought into the buffer cache. NOCACHE is the default for LOB storage.
Restriction on NOCACHE
You cannot specify NOCACHE for an index-organized table.
CACHE READS applies only to LOB storage. It specifies that LOB values are brought into the buffer cache only during read operations but not during write operations.
logging_clause
Use this clause to indicate whether the storage of data blocks should be logged or not.
See Also:
logging_clause for a description of the logging_clause when specified as part of LOB_parameters
result_cache_clause
Use this clause to determine whether the results of statements or query blocks that name this table are considered for storage in the result cache.
You can use mode DEFAULT or mode FORCE for result caching, with STANDBY enabled or disabled.
-
DEFAULT: Result caching is not determined at the table level. The query is considered for result caching if theRESULT_CACHE_MODEinitialization parameter is set toFORCE, or if that parameter is set toMANUALand theRESULT_CACHEhint is specified in the query. This is the default if you omit this clause. -
FORCE: If all tables names in the query have this setting, then the query is always considered for caching unless theNO_RESULT_CACHEhint is specified for the query. If one or more tables named in the query are set toDEFAULT, then the effective table annotation for that query is considered to beDEFAULT, with the semantics described above. -
The default value of
STANDBYisDISABLE. -
You must enable
STANDBYon all the dependent objects of a query to save the result of the query into the result cache. -
A transaction must enable
STANDBYon an object in order to generate a redo marker at transaction commit time on the primary.
You can query the RESULT_CACHE column of the DBA_, ALL_, and USER_TABLES data dictionary views to learn the result cache mode of the table.
Precedence
The RESULT_CACHE and NO_RESULT_CACHE SQL hints take precedence over these result cache table annotations and the RESULT_CACHE_MODE initialization parameter.
The RESULT_CACHE_MODE setting of FORCE in turn takes precedence over this table annotation clause.
If you set the initialization parameter RESULT_CACHE_INTEGRITY to ENFORCED, then only deterministic constructs will be eligible for result caching. The ENFORCED setting overrides the setting of RESULT_CACHE_MODE or specified hints.
If you set RESULT_CACHE_INTEGRITY to TRUSTED, then the database honors the setting of RESULT_CACHE_MODE and specified hints and considers queries using non-deterministic constructs as candidates for result caching.
Note:
The RESULT_CACHE_MODE setting of FORCE is not recommended, as it can cause significant performance and latching overhead, as database and clients will try to cache all queries.
See Also:
-
Oracle Call Interface Programmer's Guide and Oracle Database Concepts for general information about result caching
-
Oracle Database Performance Tuning Guide for information about using this clause
-
Oracle Database Reference for information about the
RESULT_CACHE_MODEinitialization parameter and the*_TABLESdata dictionary views -
"RESULT_CACHE Hint" and "NO_RESULT_CACHE Hint" for information about the hints
parallel_clause
The parallel_clause lets you parallelize creation of the table and set the default degree of parallelism for queries and the DML INSERT, UPDATE, DELETE, and MERGE after table creation.
Note:
The syntax of the parallel_clause supersedes syntax appearing in earlier releases of Oracle. The superseded syntax is still supported for backward compatibility, but may result in slightly different behavior from that documented.
Specify NOPARALLEL for serial execution. This is the default.
PARALLEL
Specify PARALLEL if you want Oracle to select a degree of parallelism equal to the number of CPUs available on all participating instances times the value of the PARALLEL_THREADS_PER_CPU initialization parameter.
PARALLEL integer
Specification of integer indicates the degree of parallelism, which is the number of parallel threads used in the parallel operation. Each parallel thread may use one or two parallel execution servers. Normally Oracle calculates the optimum degree of parallelism, so it is not necessary for you to specify integer.
See Also:
parallel_clause for more information on this clause
NOROWDEPENDENCIES | ROWDEPENDENCIES
This clause lets you specify whether table will use row-level dependency tracking. With this feature, each row in the table has a system change number (SCN) that represents a time greater than or equal to the commit time of the last transaction that modified the row. You cannot change this setting after table is created.
ROWDEPENDENCIES
Specify ROWDEPENDENCIES if you want to enable row-level dependency tracking. This setting is useful primarily to allow for parallel propagation in replication environments. It increases the size of each row by 6 bytes.
Restriction on the ROWDEPENDENCIES Clause
Oracle does not support table compression for tables that use row-level dependency tracking. If you specify both the ROWDEPENDENCIES clause and the table_compression clause, then the table_compression clause is ignored. To remove the ROWDEPENDENCIES attribute, you must redefine the table using the DBMS_REDEFINITION package or recreate the table.
NOROWDEPENDENCIES
Specify NOROWDEPENDENCIES if you do not want table to use the row-level dependency tracking feature. This is the default.
enable_disable_clause
The enable_disable_clause lets you specify whether Oracle Database should apply a constraint. By default, constraints are created in ENABLE VALIDATE state.
Restrictions on Enabling and Disabling Constraints
Enabling and disabling constraints are subject to the following restrictions:
-
To enable or disable any integrity constraint, you must have defined the constraint in this or a previous statement.
-
You cannot enable a foreign key constraint unless the referenced unique or primary key constraint is already enabled.
-
In the
index_propertiesclause of theusing_index_clause, theINDEXTYPEIS... clause is not valid in the definition of a constraint.
See Also:
constraint for more information on constraints and "Creating a Table: ENABLE/DISABLE Examples"
ENABLE Clause
Use this clause if you want the constraint to be applied to the data in the table. This clause is described fully in "ENABLE Clause" in the documentation on constraints.
DISABLE Clause
Use this clause if you want to disable the integrity constraint. This clause is described fully in "DISABLE Clause" in the documentation on constraints.
The UNIQUE clause lets you enable or disable the unique constraint defined on the specified column or combination of columns.
The PRIMARY KEY clause lets you enable or disable the primary key constraint defined on the table.
The CONSTRAINT clause lets you enable or disable the integrity constraint named constraint_name.
KEEP | DROP INDEX
This clause lets you either preserve or drop the index Oracle Database has been using to enforce a unique or primary key constraint.
Restriction on Preserving and Dropping Indexes
You can specify this clause only when disabling a unique or primary key constraint.
using_index_clause
The using_index_clause lets you specify an index for Oracle Database to use to enforce a unique or primary key constraint, or lets you instruct the database to create the index used to enforce the constraint.
See Also:
-
CREATE INDEX for a description of index_attributes, the global_partitioned_index and local_partitioned_index clauses,
NOSORT, and thelogging_clausein relation to indexes -
constraint for information on the
using_index_clauseand onPRIMARYKEYandUNIQUEconstraints -
"Explicit Index Control Example" for an example of using an index to enforce a constraint
CASCADE
Specify CASCADE to disable any integrity constraints that depend on the specified integrity constraint. To disable a primary or unique key that is part of a referential integrity constraint, you must specify this clause.
Restriction on CASCADE
You can specify CASCADE only if you have specified DISABLE.
row_movement_clause
The row_movement_clause lets you specify whether the database can move a table row. It is possible for a row to move, for example, during table compression or an update operation on partitioned data.
Note:
If you need static rowids for data access, then do not enable row movement. For a normal (heap-organized) table, moving a row changes the rowid of the row. For a moved row in an index-organized table, the logical rowid remains valid, although the physical guess component of the logical rowid becomes inaccurate.
-
Specify
ENABLEto allow the database to move a row, thus changing the rowid. -
Specify
DISABLEif you want to prevent the database from moving a row, thus preventing a change of rowid.
If you omit this clause, then the database disables row movement.
Restriction on Row Movement
You cannot specify this clause for a nonpartitioned index-organized table.
logical_replication_clause
Use this clause to perform partial database replication for users such as Oracle GoldenGate, and reduce the supplemental logging overhead of uninteresting tables in interesting schema where supplemental logging is enabled.
ENABLE LOGICAL REPLICATION
You can specify ENABLE LOGICAL REPLICATION with ALLKEYS, ALLOW NOVALIDATE KEYS, and [NO] PARTIAL JOSN in any order. The supplemtental log settings of all levels (database, the container, schema, table) are honored. No additional ID or scheduling-key supplemental logging is added for this table.
DISABLE LOGICAL REPLICATION
When logical replication is disabled for a table, it means that only database level supplemental logging is honored. This provides a way for partial database replication users (who will not enable database level column data supplemental logging) to disable supplemental logging for uninteresting tables, so that even when supplemental logging is enabled at the schema level, there is no column data supplemental logging for uninteresting tables.
If you create a table with DISABLE LOGICAL REPLICATION, logical replication is disabled for the table. Database and container level supplemental log settings are honored but table-level and schema-level supplemental log settings are ignored.
ENABLE LOGICAL REPLICATION ALL KEYS
Use this option to enable the table for Golden Gate AUTO_CAPTURE.
ID and scheduling keys, primary key (PK), foreign key ( FK), unique index (UI ), and all key supplemental logging ( ALLKEYS) are implicitly enabled for the table.
ENABLE LOGICAL REPLICATION ALLOW NOVALIDATE KEYS
Use this option to enable the table for Golden Gate AUTO_CAPTURE.
ID and scheduling keys, primary key (PK), foreign key ( FK), unique index (UI ), and all key supplemental logging ( ALLKEYS) are implicitly enabled for the table. The primary key constraint in NOVALIDATE mode can be supplementally logged as a unique identifier for the table. NOVALIDATE KEYS are allowed as a row identification key.
If you create a table with ENABLE LOGICAL REPLICATION ALLOW NOVALIDATE KEYS, ID and scheduling-key is implicitly enabled for the table. The primary key constraint in NOVALIDATE mode can be supplementally logged as a unique identifier for the table.
NO PARTIAL JSON
Use this clause if your replication target database does not support native JSON, partial JSON or JSON DIFF . This includes non-Oracle target databases and Oracle target databases with DB compatible lower than 23.
You can specify NO PARTIAL JSON whether a column of type JSON exists or not.
When you enable column-level data supplemental logging on the table or schema, partial JSON update is disabled. This means that the JSON update will always generate a new JSON instance with full JSON document. This is the default when [NO] PARTIAL JSON is not specified.
In order to use NO PARTIAL JSON without errors, you must set the database compatible initialization parameter must be set to 23 or higher.
PARTIAL JSON
Use this option if your replication target database is Oracle Database with the database compatible initialization parameter set to 23 or higher and where partial JSON and JSON DIFF can be supported at the target database.
You can specify PARTIAL JSON whether a column of type JSON exists or not.
With PARTIAL JSON you can enable a partial JSON update for the table. A JSON column updated using JSON_TRANSFORM may internally partially update the existing JSON instance, even when column-level data supplemental logging has been added for the table or schema.
In order to use PARTIAL JSON without errors, you must set the database compatible initialization parameter must be set to 23 or higher.
flashback_archive_clause
You must have the FLASHBACK ARCHIVE object privilege on the specified flashback archive to specify this clause. Use this clause to enable or disable historical tracking for the table.
-
Specify
FLASHBACKARCHIVEto enable tracking for the table. You can specifyflashback_archiveto designate a particular flashback archive for this table. The flashback archive you specify must already exist.If you omit
flashback_archive, then the database uses the default flashback archive designated for the system. If no default flashback archive has been designated for the system, then you must specifyflashback_archive. -
Specify
NOFLASHBACKARCHIVEto disable tracking for the table. This is the default.
Restrictions on flashback_archive_clause
Flashback data archives are subject to the following restrictions:
-
You cannot specify this clause for a nested table, clustered table, temporary table, remote table, or external table.
-
You cannot specify this clause for a table compressed with Hybrid Columnar Compression.
-
The table for which you are specifying this clause cannot contain any
LONGor nested table columns. -
If you specify this clause and subsequently copy the table to a different database—using the export and import utilities or the transportable tablespace feature—then the copied table will not be enabled for tracking and the archived data for the original table will not be available for the copied table.
See Also:
-
Oracle Database Development Guide for general information on using Flashback Time Travel
-
ALTER FLASHBACK ARCHIVE for information on changing the quota and retention attributes of the flashback archive, as well as adding or changing tablespace storage for the flashback archive
ROW ARCHIVAL
Specify this clause to enable table for row archival. This clause lets you implement In-Database Archiving, which allows you to designate table rows as active or archived. You can then perform queries on only the active rows within the table.
When you specify this clause, a hidden column ORA_ARCHIVE_STATE is created in the table. The column is of data type VARCHAR2. You can specify a value of 0 or 1 for this column to indicate whether a row is active (0) or archived (1). If you do not specify a value for ORA_ARCHIVE_STATE when inserting data into the table, then the value is set to 0.
-
If
ROWARCHIVEVISIBILITY=ACTIVEfor the session, then the database will consider only active rows when performing queries on the table. -
If
ROWARCHIVEVISIBILITY=ALLfor the session, then the database will consider all rows when performing queries on the table.
See Also:
-
The
ALTERSESSIONSemantics clause to learn how to configure row archival visibility for a session -
The
ALTERTABLE[NO] ROW ARCHIVAL clause to learn how to enable or disable an existing table for row archival -
Oracle Database VLDB and Partitioning Guide for more information on In-Database Archiving
FOR EXCHANGE WITH TABLE
This clause lets you create a table that matches the structure of an existing partitioned table. The two tables are then eligible for exchanging partitions and subpartitions. For table, specify an existing partitioned table. For schema, specify the schema that contains the existing partitioned table. If you omit schema, then the database assumes the table is in your own schema.
This operation creates a metadata clone, without data, of the partitioned table. The clone has the same column ordering and column properties of the original table. Column properties copied to the clone during this operation include unusable columns, invisible columns, virtual expression columns, functional index expression columns, and other internal settings and attributes. Indexes on the existing partitioned table are not created on the clone table.
You can subsequently use the exchange_partition_subpart clause of ALTER TABLE to exchange partitions or subpartitions between the two tables. Refer to exchange_partition_subpart in the documentation on ALTER TABLE for more information.
Each super sharding or sharding key column with a character data type must have one of the following declared collations: BINARY, USING_NLS_COMP, USING_NLS_SORT, or USING_NLS_SORT_CS.
Restrictions on FOR EXCHANGE WITH TABLE
The following restrictions apply to the FOR EXCHANGE WITH TABLE clause:
-
If you specify this clause, then you cannot specify the
relational_propertiesclause. -
If you specify this clause, then within the
table_propertiesclause, you can specify only thetable_partitioning_clause. -
Within the table_partitioning_clause each key column with a character data type must have one of the following declared collations:
BINARY,USING_NLS_COMP,USING_NLS_SORT, orUSING_NLS_SORT_CS. -
When you create a clone for a partition of a composite-partitioned table, you must explicitly specifying the appropriate
table_partitioning_clausethat matches exactly the subpartitioning of the partition you want to exchange. -
Oracle does not clone the statistics setup of the partitioned table. For example, if you plan to perform an exchange with a partitioned table for which incremental statistics are enabled, you must manually enable the creation of a table synopsis on the clone table. See Oracle Database SQL Tuning Guide for more information on maintaining incremental statistics on partitioned tables.
-
You cannot create a clone of an external table.
-
If the table specified in the
FOR EXCHANGE WITH TABLEclause is protected by a fine-grained audit (FGA) policy, then theCREATE TABLEstatement will fail, if the user who is creating it is not theSYSuser. -
You cannot use this clause if you have VPD policies enabled on the target table.
AS subquery
Specify a subquery to determine the contents of the table. The rows returned by the subquery are inserted into the table upon its creation.
For object tables, subquery can contain either one expression corresponding to the table type, or the number of top-level attributes of the table type. Refer to SELECT for more information.
If subquery returns the equivalent of part or all of an existing materialized view, then the database may rewrite the query to use the materialized view in place of one or more tables specified in subquery.
See Also:
Oracle Database Data Warehousing Guide for more information on materialized views and query rewrite
Oracle Database derives data types and lengths from the subquery. Oracle Database follows the following rules for integrity constraints and other column and table attributes:
-
Oracle Database automatically defines on columns in the new table any
NOTNULLconstraints that have a state ofNOTDEFERRABLEandVALIDATE, and were explicitly created on the corresponding columns of the selected table if the subquery selects the column rather than an expression containing the column. If any rows violate the constraint, then the database does not create the table and returns an error. -
NOTNULLconstraints that were implicitly created by Oracle Database on columns of the selected table (for example, for primary keys) are not carried over to the new table. -
In addition, primary keys, unique keys, foreign keys, check constraints, partitioning criteria, indexes, and column default values are not carried over to the new table.
-
If the selected table is partitioned, then you can choose whether the new table will be partitioned the same way, partitioned differently, or not partitioned. Partitioning is not carried over to the new table. Specify any desired partitioning as part of the
CREATETABLEstatement before theASsubqueryclause. -
A column that is encrypted using Transparent Data Encryption in the selected table will not be encrypted in the new table unless you define the column in the new table as encrypted at create time.
Note:
Oracle recommends that you encrypt sensitive columns before populating them with data. This will avoid creating clear text copies of sensitive data.
If each column returned by subquery has a column name or is an expression with a specified column alias, then you can omit the columns from the table definition entirely. In this case, the names of the columns of table are the same as the columns in subquery. The exception is creating an index-organized table, for which you must specify the columns in the table definition because you must specify a primary key column.
You can use subquery in combination with the TO_LOB function to convert the values in a LONG column in another table to LOB values in a column of the table you are creating.
See Also:
-
Oracle Database SecureFiles and Large Objects Developer's Guide for a discussion of why and when to copy
LONGdata to a LOB -
"Conversion Functions" for a description of how to use the
TO_LOBfunction -
SELECT for more information on the
order_by_clause -
Oracle Database SQL Tuning Guide for information on statistics gathering when using the
ASsubqueryclause
parallel_clause
If you specify the parallel_clause in this statement, then the database will ignore any value you specify for the INITIAL storage parameter and will instead use the value of the NEXT parameter.
See Also:
storage_clause for information on these parameters
ORDER BY
The ORDER BY clause lets you order rows returned by the subquery.
When specified with CREATE TABLE, this clause does not necessarily order data across the entire table. For example, it does not order across partitions. Specify this clause if you intend to create an index on the same key as the ORDER BY key column. Oracle Database will cluster data on the ORDER BY key so that it corresponds to the index key.
Restrictions on the Defining Query of a Table
The table query is subject to the following restrictions:
-
The number of columns in the table must equal the number of expressions in the subquery.
-
The column definitions can specify only column names, default values, and integrity constraints, not data types.
-
You cannot define a foreign key constraint in a
CREATETABLEstatement that containsASsubqueryunless the table is reference partitioned and the constraint is the table's partitioning referential constraint. In all other cases, you must create the table without the constraint and then add it later with anALTERTABLEstatement.
FOR STAGING
Specify FOR STAGING to create a staging table optimized for staging data in Oracle Database. Staging tables are typically shortlived and volatile with constantly changing data.
You can create a staging table with or without partitions with CREATE TABLE t FOR STAGING or you can convert an exisiting table into a staging table with ALTER TABLE t FOR STAGING.
Examples: Create a Staging Table
CREATE TABLE staging_table (col1 number, col2 varchar2(100)) FOR STAGING;
Examples: Create a Staging Table With Partitions
CREATE TABLE part_staging_table (col1 number, col2 varchar2(100)) PARTITION BY RANGE (col1) (PARTITION p1 VALUES LESS THAN (100), PARTITION pmax VALUES LESS THAN (MAXVALUE)) FOR STAGING;
A staging table with or without partitions has the following characteristics:
-
Compression is explicitly turned off and disallowed for any future data load on the table and its partitions and subpartitions. Changing existing tables into staging tables will not impact the storage of existing data but only impact future data loads.
-
You cannot change the default attritbutes of a staging table, its partitions or subpartitions, or future data loads using
ALTER TABLE. - You cannot perform any partition maintenance operations that will move the data and compress it using
ALTER TABLE. -
You cannot partition a staging table and specify compression on any of its partitions.
-
Dynamic sampling is used for queries on a staging table. This means that you cannot gather statistics on a staging table or any of its partitions.
-
If you drop a staging table it will be dropped immediately, bypassing the recyclebin irrespective of your setting.
The dictionary views USER_TABLES, ALL_TABLES, and DBA_TABLES have a staging table property in a new column STAGING. The value of STAGING is YES for a staged table, and NO otherwise.
object_table
The OF clause lets you explicitly create an object table of type object_type. The columns of an object table correspond to the top-level attributes of type object_type. Each row will contain an object instance, and each instance will be assigned a unique, system-generated object identifier when a row is inserted. If you omit schema, then the database creates the object table in your own schema.
Object tables, as well as XMLType tables, object views, and XMLType views, do not have any column names specified for them. Therefore, Oracle defines a system-generated pseudocolumn OBJECT_ID. You can use this column name in queries and to create object views with the WITH OBJECT IDENTIFIER clause.
See Also:
object_table_substitution
Use the object_table_substitution clause to specify whether row objects corresponding to subtypes can be inserted into this object table.
NOT SUBSTITUTABLE AT ALL LEVELS
NOT SUBSTITUTABLE AT ALL LEVELS indicates that the object table being created is not substitutable. In addition, substitution is disabled for all embedded object attributes and elements of embedded nested tables and arrays. The default is SUBSTITUTABLE AT ALL LEVELS.
See Also:
-
CREATE TYPE for more information about creating object types
-
"User-Defined Types", "About User-Defined Functions", "About SQL Expressions", CREATE TYPE, and Oracle Database Object-Relational Developer's Guide for more information about using
REFtypes
object_properties
The properties of object tables are essentially the same as those of relational tables. However, instead of specifying columns, you specify attributes of the object.
For attribute, specify the qualified column name of an item in an object.
oid_clause
The oid_clause lets you specify whether the object identifier of the object table should be system generated or should be based on the primary key of the table. The default is SYSTEM GENERATED.
Restrictions on the oid_clause
This clause is subject to the following restrictions:
-
You cannot specify
OBJECTIDENTIFIERISPRIMARYKEYunless you have already specified aPRIMARYKEYconstraint for the table. -
You cannot specify this clause for a nested table.
Note:
A primary key object identifier is locally unique but not necessarily globally unique. If you require a globally unique identifier, then you must ensure that the primary key is globally unique.
oid_index_clause
This clause is relevant only if you have specified the oid_clause as SYSTEM GENERATED. It specifies an index, and optionally its storage characteristics, on the hidden object identifier column.
For index, specify the name of the index on the hidden system-generated object identifier column. If you omit index, then the database generates a name.
physical_properties and table_properties
The semantics of these clauses are documented in the corresponding sections under relational tables. See physical_properties and table_properties.
XMLType_table
Use the XMLType_table syntax to create a table of data type XMLType. Most of the clauses used to create an XMLType table have the same semantics that exist for object tables. The clauses specific to XMLType tables are described in this section.
Object tables, as well as XMLType tables, object views, and XMLType views, do not have any column names specified for them. Therefore, Oracle defines a system-generated pseudocolumn OBJECT_ID. You can use this column name in queries and to create object views with the WITH OBJECT IDENTIFIER clause.
XMLSchema_spec
This clause lets you specify the URL of a registered XMLSchema, either in the XMLSCHEMA clause or as part of the ELEMENT clause, and an XML element name.
You must specify an element, although the XMLSchema URL is optional. If you do specify an XMLSchema URL, then you must already have registered the XMLSchema using the DBMS_XMLSCHEMA package.
The optional STORE ALL VARRAYS AS clause lets you specify how all varrays in the XMLType table or column are to be stored.
-
STOREALLVARRAYSASLOBSindicates that all varrays are to be stored as LOBs. -
STOREALLVARRAYSASTABLESindicates that all varrays are to be stored as tables.
The optional ALLOW | DISALLOW clauses are valid only if you have specified BINARY XML storage.
-
ALLOWNONSCHEMAindicates that non-schema-based documents can be stored in theXMLTypecolumn. -
DISALLOWNONSCHEMAindicates that non-schema-based documents cannot be stored in theXMLTypecolumn. This is the default. -
ALLOWANYSCHEMAindicates that any schema-based document can be stored in theXMLTypecolumn. -
DISALLOWANYSCHEMAindicates that any schema-based document cannot be stored in theXMLTypecolumn. This is the default.
See Also:
-
Oracle Database PL/SQL Packages and Types Reference for information on the
DBMS_XMLSCHEMApackage -
Oracle XML DB Developer's Guide for information on creating and working with XML data
JSON_Collection_table
Specify JSON COLLECTION to create a special table that stores JSON documents in a single column called DATA. The column DATA is of type JSON.
Each document in a collection table automatically has a document-identifier field, _id, at the top level, whose value is unique for the collection.
You can perform SELECTs, JOINs, UPDATEs and all the normal table operations with JSON collections that you do in other tables.
-
WITH ETAG: If specified, then each JSON document contains a document-handling field_metadata, whose value is an object withetagas its only field.The default is not to use
ETAG. -
expression_column: Use to create one or more virtual (expression) column expressions on theDATAcolumn that you can use for partitioning.DATAis the only visible column. User-defined expression columns are alwaysINVISIBLE, whether or not you explictly specifyINVISIBLEin the definition. -
constraints: Use to add constraints on theDATAcolumn or other user-defined expression columns that you create.
Use ALTER TABLE to modify the JSON collection table. You can add or drop constraints, user defined virtual (expression) columns, or partitions.
Restrictions
You can only add virtual (expression) columns.
You can only drop user defined virtual (expression) columns.
You cannot drop internally generated columns like DATA, RESID, or ETAG. Columns RESID and ETAG are internal Oracle-managed columns that are not relevant to working with JSON collection tables. These columns should not be used in customer applications. They are used internally to enforce uniqueness and provide lock-free concurrency control.
Note:
JSON Collections of the JSON Developer's Guide.
MEMOPTIMIZE FOR READ
Use this clause to enable fast lookup. Fast lookup improves the performance high frequency data query operations. The MEMOPTIMIZE_POOL_SIZE initialization parameter controls the size of the memoptimize pool. Note that the feature uses additional memory from the SGA.
-
You must specify this clause as a top-level attribute of the table, it cannot be specified at the partition or subpartition level.
-
You must explicitly enable the table for
MEMOPTIMIZE FOR READbefore you can read data from the table.
MEMOPTIMIZE FOR WRITE
Use this clause to enable fast ingest. Fast ingest optimizes memory processing of high frequency single row data inserts from Internet of Things (IoT) applications.
-
MEMOPTIMZE FOR WRITEis a top-level attribute and cannot be used at the partition or subpartition level. -
A table must be enabled for
MEMOPTIMIZE FOR WRITEbefore data for that table can be written to the IGA.
Restrictions
Blockchain and immutable tables do not support MEMOPTIMZE FOR WRITE.
Columns of BFILE data type do not support MEMOPTIMZE FOR WRITE .
PARENT
You can use this clause to create a child table in a sharded table family.
A sharded table family is a set of tables that are sharded in the same way. Corresponding partitions of all tables in a table family are stored in the same shard. This enables you to minimize the number of multishard joins when querying data in the table family.
There are two methods for creating a sharded table family. The recommended method involves using reference partitioning. However, if it is impossible or undesirable to create the primary and foreign key constraints that are required for reference partitioning, then you can use the PARENT clause to create a sharded table family.
The rules for creating a sharded table family differ depending on which method you use. When you create a sharded table family by using the PARENT clause, the following rules apply:
-
The sharded table family can contain only two levels of tables: a parent table, and one or more child tables.
-
All tables in the family must be explicitly partitioned using the same partitioning scheme. Each table can use a different subpartitioning scheme, or none at all.
-
You must first create the parent table, and it must be a sharded table.
-
You can then use the
CREATESHARDEDTABLE...PARENT... statement to create each child table. Fortable, specify the name of the parent table. Forschema, specify the schema that contains the parent table. If you omitschema, then the database assumes the parent table is in your own schema.
You can create multiple sharded table families with system sharding but at most one with composite or user-defined sharding.
See Also:
Examples
Creating Tables: General Examples
This statement shows how the employees table owned by the sample human resources (hr) schema was created. A hypothetical name is given to the table and constraints so that you can duplicate this example in your test database:
CREATE TABLE employees_demo
( employee_id NUMBER(6)
, first_name VARCHAR2(20)
, last_name VARCHAR2(25)
CONSTRAINT emp_last_name_nn_demo NOT NULL
, email VARCHAR2(25)
CONSTRAINT emp_email_nn_demo NOT NULL
, phone_number VARCHAR2(20)
, hire_date DATE DEFAULT SYSDATE
CONSTRAINT emp_hire_date_nn_demo NOT NULL
, job_id VARCHAR2(10)
CONSTRAINT emp_job_nn_demo NOT NULL
, salary NUMBER(8,2)
CONSTRAINT emp_salary_nn_demo NOT NULL
, commission_pct NUMBER(2,2)
, manager_id NUMBER(6)
, department_id NUMBER(4)
, dn VARCHAR2(300)
, CONSTRAINT emp_salary_min_demo
CHECK (salary > 0)
, CONSTRAINT emp_email_uk_demo
UNIQUE (email)
) ;
This table contains twelve columns. The employee_id column is of data type NUMBER. The hire_date column is of data type DATE and has a default value of SYSDATE. The last_name column is of type VARCHAR2 and has a NOT NULL constraint, and so on.
Creating a Table: Storage Example
To define the same employees_demo table in the example tablespace with a small storage capacity, issue the following statement:
CREATE TABLE employees_demo
( employee_id NUMBER(6)
, first_name VARCHAR2(20)
, last_name VARCHAR2(25)
CONSTRAINT emp_last_name_nn_demo NOT NULL
, email VARCHAR2(25)
CONSTRAINT emp_email_nn_demo NOT NULL
, phone_number VARCHAR2(20)
, hire_date DATE DEFAULT SYSDATE
CONSTRAINT emp_hire_date_nn_demo NOT NULL
, job_id VARCHAR2(10)
CONSTRAINT emp_job_nn_demo NOT NULL
, salary NUMBER(8,2)
CONSTRAINT emp_salary_nn_demo NOT NULL
, commission_pct NUMBER(2,2)
, manager_id NUMBER(6)
, department_id NUMBER(4)
, dn VARCHAR2(300)
, CONSTRAINT emp_salary_min_demo
CHECK (salary > 0)
, CONSTRAINT emp_email_uk_demo
UNIQUE (email)
)
TABLESPACE example
STORAGE (INITIAL 8M);Creating a Table with a DEFAULT ON NULL Column Value: Example
The following statement creates a table myemp, which can be used to store employee data. The department_id column is defined with a DEFAULT ON NULL column value of 50. Therefore, if a subsequent INSERT statement attempts to assign a NULL value to department_id, then the value of 50 will be assigned instead.
CREATE TABLE myemp (employee_id number, last_name varchar2(25),
department_id NUMBER DEFAULT ON NULL 50 NOT NULL);
In the employees table, employee_id 178 has a NULL value for department_id:
SELECT employee_id, last_name, department_id
FROM employees
WHERE department_id IS NULL;
EMPLOYEE_ID LAST_NAME DEPARTMENT_ID
----------- ------------------------- -------------
178 Grant
Populate the myemp table with the employee_id, last_name, and department_id column data from the employees table:
INSERT INTO myemp (employee_id, last_name, department_id) (SELECT employee_id, last_name, department_id from employees);
In the myemp table, employee_id 178 has a value of 50 for department_id:
SELECT employee_id, last_name, department_id
FROM myemp
WHERE employee_id = 178;
EMPLOYEE_ID LAST_NAME DEPARTMENT_ID
----------- ------------------------- -------------
178 Grant 50Creating a Table with an Identity Column: Examples
The following statement creates a table t1 with an identity column id. The sequence generator will always assign increasing integer values to id, starting with 1.
CREATE TABLE t1 (id NUMBER GENERATED AS IDENTITY);
The following statement creates a table t2 with an identity column id. The sequence generator will, by default, assign increasing integer values to id in increments of 10 starting with 100.
CREATE TABLE t2 (id NUMBER GENERATED BY DEFAULT AS IDENTITY (START WITH 100 INCREMENT BY 10));
Creating a Table: Temporary Table Example
The following statement creates a temporary table today_sales for use by sales representatives in the sample database. Each sales representative session can store its own sales data for the day in the table. The temporary data is deleted at the end of the session.
CREATE GLOBAL TEMPORARY TABLE today_sales ON COMMIT PRESERVE ROWS AS SELECT * FROM orders WHERE order_date = SYSDATE;
Creating a Table with Deferred Segment Creation: Example
The following statement creates a table with deferred segment creation. Oracle Database will not create a segment for the data of this table until data is inserted into the table:
CREATE TABLE later (col1 NUMBER, col2 VARCHAR2(20)) SEGMENT CREATION DEFERRED;
Substitutable Table and Column Examples
The following statements create a type hierarchy, which can be used to create a substitutable table. Type employee_t inherits the name and ssn attributes from type person_t and in addition has department_id and salary attributes. Type part_time_emp_t inherits all of the attributes from employee_t and, through employee_t, those of person_t and in addition has a num_hrs attribute. Type part_time_emp_t is final by default, so no further subtypes can be created under it.
CREATE TYPE person_t AS OBJECT (name VARCHAR2(100), ssn NUMBER) NOT FINAL; / CREATE TYPE employee_t UNDER person_t (department_id NUMBER, salary NUMBER) NOT FINAL; / CREATE TYPE part_time_emp_t UNDER employee_t (num_hrs NUMBER); /
The following statement creates a substitutable table from the person_t type:
CREATE TABLE persons OF person_t;
The following statement creates a table with a substitutable column of type person_t:
CREATE TABLE books (title VARCHAR2(100), author person_t);
When you insert into persons or books, you can specify values for the attributes of person_t or any of its subtypes. Examples of insert statements appear in "Inserting into a Substitutable Tables and Columns: Examples".
You can extract data from such tables using built-in functions and conditions. For examples, see the functions TREAT and SYS_TYPEID, and the "IS OF type Condition" condition.
Creating a Table: Parallelism Examples
The following statement creates a table using an optimum number of parallel execution servers to scan employees and to populate dept_80:
CREATE TABLE dept_80 PARALLEL AS SELECT * FROM employees WHERE department_id = 80;
Using parallelism speeds up the creation of the table, because the database uses parallel execution servers to create the table. After the table is created, querying the table is also faster, because the same degree of parallelism is used to access the table.
The following statement creates the same table serially. Subsequent DML and queries on the table will also be serially executed.
CREATE TABLE dept_80 AS SELECT * FROM employees WHERE department_id = 80;
Creating a Table: ENABLE/DISABLE Examples
The following statement shows how the sample table departments was created. The example defines a NOT NULL constraint, and places it in ENABLE VALIDATE state:
CREATE TABLE departments_demo
( department_id NUMBER(4)
, department_name VARCHAR2(30)
CONSTRAINT dept_name_nn NOT NULL
, manager_id NUMBER(6)
, location_id NUMBER(4)
, dn VARCHAR2(300)
) ;
The following statement creates the same departments_demo table but also defines a disabled primary key constraint:
CREATE TABLE departments_demo
( department_id NUMBER(4) PRIMARY KEY DISABLE
, department_name VARCHAR2(30)
CONSTRAINT dept_name_nn NOT NULL
, manager_id NUMBER(6)
, location_id NUMBER(4)
, dn VARCHAR2(300)
) ;Nested Table Example
The following statement shows how the sample table pm.print_media was created with a nested table column ad_textdocs_ntab:
CREATE TABLE print_media
( product_id NUMBER(6)
, ad_id NUMBER(6)
, ad_composite BLOB
, ad_sourcetext CLOB
, ad_finaltext CLOB
, ad_fltextn NCLOB
, ad_textdocs_ntab textdoc_tab
, ad_photo BLOB
, ad_graphic BFILE
, ad_header adheader_typ
) NESTED TABLE ad_textdocs_ntab STORE AS textdocs_nestedtab;Creating a Table: Multilevel Collection Example
The following example shows how an account manager might create a table of customers using two levels of nested tables:
CREATE TYPE phone AS OBJECT (telephone NUMBER); / CREATE TYPE phone_list AS TABLE OF phone; / CREATE TYPE my_customers AS OBJECT ( cust_name VARCHAR2(25), phones phone_list); / CREATE TYPE customer_list AS TABLE OF my_customers; / CREATE TABLE business_contacts ( company_name VARCHAR2(25), company_reps customer_list) NESTED TABLE company_reps STORE AS outer_ntab (NESTED TABLE phones STORE AS inner_ntab);
The following variation of this example shows how to use the COLUMN_VALUE keyword if the inner nested table has no column or attribute name:
CREATE TYPE phone AS TABLE OF NUMBER; / CREATE TYPE phone_list AS TABLE OF phone; / CREATE TABLE my_customers ( name VARCHAR2(25), phone_numbers phone_list) NESTED TABLE phone_numbers STORE AS outer_ntab (NESTED TABLE COLUMN_VALUE STORE AS inner_ntab);
Creating a Table: LOB Column Example
The following statement is a variation of the statement that created the print_media table with some added LOB storage characteristics:
CREATE TABLE print_media_new
( product_id NUMBER(6)
, ad_id NUMBER(6)
, ad_composite BLOB
, ad_sourcetext CLOB
, ad_finaltext CLOB
, ad_fltextn NCLOB
, ad_textdocs_ntab textdoc_tab
, ad_photo BLOB
, ad_graphic BFILE
, ad_header adheader_typ
) NESTED TABLE ad_textdocs_ntab STORE AS textdocs_nestedtab_new
LOB (ad_sourcetext, ad_finaltext) STORE AS
(TABLESPACE example
STORAGE (INITIAL 6144)
CHUNK 4000
NOCACHE LOGGING);
In the example above, the database rounds the value of CHUNK up to 4096 (the nearest multiple of the block size of 2048).
Index-Organized Table Example
The following statement is a variation of the sample table hr.countries, which is index organized:
CREATE TABLE countries_demo
( country_id CHAR(2)
CONSTRAINT country_id_nn_demo NOT NULL
, country_name VARCHAR2(40)
, currency_name VARCHAR2(25)
, currency_symbol VARCHAR2(3)
, region VARCHAR2(15)
, CONSTRAINT country_c_id_pk_demo
PRIMARY KEY (country_id ) )
ORGANIZATION INDEX
INCLUDING country_name
PCTTHRESHOLD 2
STORAGE
( INITIAL 4K )
OVERFLOW
STORAGE
( INITIAL 4K ); External Table Example
The following statement creates an external table that represents a subset of the sample table hr.departments. The TYPE clause specifies that the access driver type for the table is ORACLE_LOADER. The ACCESS PARAMETERS() clause specifies parameter values for the ORACLE_LOADER access driver. These parameters are shown in italics and form the opaque_format_spec. The syntax for opaque_format_spec depends on the access driver type and is outside the scope of this document. Refer to Oracle Database Utilities for details on the ORACLE_LOADER access driver and the opaque_format_spec syntax.
CREATE TABLE dept_external ( deptno NUMBER(6), dname VARCHAR2(20), loc VARCHAR2(25) ) ORGANIZATION EXTERNAL (TYPE oracle_loader DEFAULT DIRECTORY admin ACCESS PARAMETERS ( RECORDS DELIMITED BY newline BADFILE 'ulcase1.bad' DISCARDFILE 'ulcase1.dis' LOGFILE 'ulcase1.log' SKIP 20 FIELDS TERMINATED BY "," OPTIONALLY ENCLOSED BY '"' ( deptno INTEGER EXTERNAL(6), dname CHAR(20), loc CHAR(25) ) ) LOCATION ('ulcase1.ctl') ) REJECT LIMIT UNLIMITED;
See Also:
"Creating a Directory: Examples" to see how the admin directory was created
This section contains brief examples of creating an XMLType table or XMLType column. For a more expanded version of these examples, refer to "Using XML in SQL Statements".
XMLType Table Examples
The following example creates a very simple XMLType table with one implicit binary XML column:
CREATE TABLE xwarehouses OF XMLTYPE;
The following example creates an XMLSchema-based table. The XMLSchema must already have been created (see "Using XML in SQL Statements" for more information):
CREATE TABLE xwarehouses OF XMLTYPE XMLSCHEMA "http://www.example.com/xwarehouses.xsd" ELEMENT "Warehouse";
You can define constraints on an XMLSchema-based table, and you can also create indexes on XMLSchema-based tables, which greatly enhance subsequent queries. You can create object-relational views on XMLType tables, and you can create XMLType views on object-relational tables.
See Also:
-
"Using XML in SQL Statements" for an example of adding a constraint
-
"Creating an Index on an XMLType Table: Example" for an example of creating an index
-
"Creating an XMLType View: Example" for an example of creating an
XMLTypeview
XMLType Column Examples
The following example creates a table with an XMLType column stored as a CLOB. This table does not require an XMLSchema, so the content structure is not predetermined:
CREATE TABLE xwarehouses (
warehouse_id NUMBER,
warehouse_spec XMLTYPE)
XMLTYPE warehouse_spec STORE AS CLOB
(TABLESPACE example
STORAGE (INITIAL 6144)
CHUNK 4000
NOCACHE LOGGING);
The following example creates a similar table, but stores XMLType data in an object relational XMLType column whose structure is determined by the specified schema:
CREATE TABLE xwarehouses (
warehouse_id NUMBER,
warehouse_spec XMLTYPE)
XMLTYPE warehouse_spec STORE AS OBJECT RELATIONAL
XMLSCHEMA "http://www.example.com/xwarehouses.xsd"
ELEMENT "Warehouse";
The following example creates another similar table with an XMLType column stored as a SecureFiles CLOB. This table does not require an XMLSchema, so the content structure is not predetermined. SecureFiles LOBs require a tablespace with automatic segment-space management, so the example uses the tablespace created in "Specifying Segment Space Management for a Tablespace: Example".
CREATE TABLE xwarehouses ( warehouse_id NUMBER, warehouse_spec XMLTYPE) XMLTYPE warehouse_spec STORE AS SECUREFILE CLOB (TABLESPACE auto_seg_ts STORAGE (INITIAL 6144) CACHE);
Partitioning Examples
Range Partitioning Example
The sales table in the sample schema sh is partitioned by range. The following example shows an abbreviated variation of the sales table. Constraints and storage elements have been omitted from the example.
CREATE TABLE range_sales
( prod_id NUMBER(6)
, cust_id NUMBER
, time_id DATE
, channel_id CHAR(1)
, promo_id NUMBER(6)
, quantity_sold NUMBER(3)
, amount_sold NUMBER(10,2)
)
PARTITION BY RANGE (time_id)
(PARTITION SALES_Q1_1998 VALUES LESS THAN (TO_DATE('01-APR-1998','DD-MON-YYYY')),
PARTITION SALES_Q2_1998 VALUES LESS THAN (TO_DATE('01-JUL-1998','DD-MON-YYYY')),
PARTITION SALES_Q3_1998 VALUES LESS THAN (TO_DATE('01-OCT-1998','DD-MON-YYYY')),
PARTITION SALES_Q4_1998 VALUES LESS THAN (TO_DATE('01-JAN-1999','DD-MON-YYYY')),
PARTITION SALES_Q1_1999 VALUES LESS THAN (TO_DATE('01-APR-1999','DD-MON-YYYY')),
PARTITION SALES_Q2_1999 VALUES LESS THAN (TO_DATE('01-JUL-1999','DD-MON-YYYY')),
PARTITION SALES_Q3_1999 VALUES LESS THAN (TO_DATE('01-OCT-1999','DD-MON-YYYY')),
PARTITION SALES_Q4_1999 VALUES LESS THAN (TO_DATE('01-JAN-2000','DD-MON-YYYY')),
PARTITION SALES_Q1_2000 VALUES LESS THAN (TO_DATE('01-APR-2000','DD-MON-YYYY')),
PARTITION SALES_Q2_2000 VALUES LESS THAN (TO_DATE('01-JUL-2000','DD-MON-YYYY')),
PARTITION SALES_Q3_2000 VALUES LESS THAN (TO_DATE('01-OCT-2000','DD-MON-YYYY')),
PARTITION SALES_Q4_2000 VALUES LESS THAN (MAXVALUE))
;For information about partitioned table maintenance operations, see Oracle Database VLDB and Partitioning Guide.
Range Partitioning Live SQL Example
The following statement creates a table partitioned by range:
CREATE TABLE empl_h
(
employee_id NUMBER(6) PRIMARY KEY,
first_name VARCHAR2(20),
last_name VARCHAR2(25),
email VARCHAR2(25),
phone_number VARCHAR2(20),
hire_date DATE DEFAULT SYSDATE,
job_id VARCHAR2(10),
salary NUMBER(8, 2),
part_name VARCHAR2(25)
) PARTITION BY RANGE (hire_date) (
PARTITION hire_q1 VALUES less than(to_date('01-APR-2014', 'DD-MON-YYYY')),
PARTITION hire_q2 VALUES less than(to_date('01-JUL-2014', 'DD-MON-YYYY')),
PARTITION hire_q3 VALUES less than(to_date('01-OCT-2014', 'DD-MON-YYYY')),
PARTITION hire_q4 VALUES less than(to_date('01-JAN-2015', 'DD-MON-YYYY'))
);The following statements insert rows into the partitions:
INSERT INTO empl_h (employee_id, first_name, last_name, email, phone_number, hire_date, job_id, salary, Part_name) VALUES (1, 'Jane', 'Doe', 'example.com', '415.555.0100', '10-Feb-2014', '1001', 5001,'HIRE_Q1'); INSERT INTO empl_h (employee_id, first_name, last_name, email, phone_number, hire_date, job_id, salary, Part_name) VALUES (2, 'John', 'Doe', 'example.net', '415.555.0101', '10-Apr-2014', '1002', 7001,'HIRE_Q2'); INSERT INTO empl_h (employee_id, first_name, last_name, email, phone_number, hire_date, job_id, salary, Part_name) VALUES (3, 'Isabelle', 'Owl', 'example.org', '415.555.0102', '10-Sep-2014', '1003', 10001,'HIRE_Q3'); INSERT INTO empl_h (employee_id, first_name, last_name, email, phone_number, hire_date, job_id, salary, Part_name) VALUES (4, 'Smith', 'Jones', 'example.in', '415.555.0103', '10-Dec-2014', '1004', 12001,'HIRE_Q4');
The following statements display the partition names using data dictionary tables:
SELECT PARTITION_NAME FROM USER_TAB_PARTITIONS WHERE TABLE_NAME = 'EMPL_H'; PARTITION_NAME ---------------- HIRE_Q1 HIRE_Q2 HIRE_Q3 HIRE_Q4 SELECT TABLE_NAME, PARTITIONING_TYPE, STATUS FROM USER_PART_TABLES WHERE TABLE_NAME = 'EMPL_H'; TABLE_NAME PARTITIONING_TYPE STATUS ---------- ----------------- ------ EMPL_H RANGE VALID
The following statement creates a table named parts by selecting a particular column from the data dictionary table user_tab_partitions:
CREATE TABLE parts (p_name) AS SELECT PARTITION_NAME FROM USER_TAB_PARTITIONS WHERE TABLE_NAME = 'EMPL_H';
The following statement displays the table data:
select * from parts; P_NAME ----------- HIRE_Q1 HIRE_Q2 HIRE_Q3 HIRE_Q4
The following statement compares the columns from the two tables and displays the information based on the comparison:
select E.HIRE_DATE,E.JOB_ID,P.p_name from empl_h E, parts P where E.Part_name = P.p_name; HIRE_DATE JOB_ID P_NAME --------- ---------- ------------ 10-FEB-14 1001 HIRE_Q1 10-APR-14 1002 HIRE_Q2 10-SEP-14 1003 HIRE_Q3 10-DEC-14 1004 HIRE_Q4
Interval Partitioning Example
The following example creates a variation of the oe.customers table that is partitioned by interval on the credit_limit column. One range partition is created to establish the transition point. All of the original data in the table is within the bounds of the range partition. Then data is added that exceeds the range partition, and the database creates a new interval partition.
CREATE TABLE customers_demo ( customer_id number(6), cust_first_name varchar2(20), cust_last_name varchar2(20), credit_limit number(9,2)) PARTITION BY RANGE (credit_limit) INTERVAL (1000) (PARTITION p1 VALUES LESS THAN (5001)); INSERT INTO customers_demo (customer_id, cust_first_name, cust_last_name, credit_limit) (select customer_id, cust_first_name, cust_last_name, credit_limit from customers);
Query the USER_TAB_PARTITIONS data dictionary view before the database creates the interval partition:
SELECT partition_name, high_value FROM user_tab_partitions WHERE table_name = 'CUSTOMERS_DEMO'; PARTITION_NAME HIGH_VALUE ------------------------------ --------------- P1 5001
Insert data into the table that exceeds the high value of the range partition:
INSERT INTO customers_demo VALUES (699, 'Fred', 'Flintstone', 5500);
Query the USER_TAB_PARTITIONS view again after the insert to learn the system-generated name of the interval partition created to accommodate the inserted data. (The system-generated name will vary for each session.)
SELECT partition_name, high_value FROM user_tab_partitions WHERE table_name = 'CUSTOMERS_DEMO' ORDER BY partition_name; PARTITION_NAME HIGH_VALUE ------------------------------ --------------- P1 5001 SYS_P44 6001
List Partitioning Example
The following statement shows how the sample table oe.customers might have been created as a list-partitioned table. Some columns and all constraints of the sample table have been omitted in this example.
CREATE TABLE list_customers
( customer_id NUMBER(6)
, cust_first_name VARCHAR2(20)
, cust_last_name VARCHAR2(20)
, cust_address CUST_ADDRESS_TYP
, nls_territory VARCHAR2(30)
, cust_email VARCHAR2(40))
PARTITION BY LIST (nls_territory) (
PARTITION asia VALUES ('CHINA', 'THAILAND'),
PARTITION europe VALUES ('GERMANY', 'ITALY', 'SWITZERLAND'),
PARTITION west VALUES ('AMERICA'),
PARTITION east VALUES ('INDIA'),
PARTITION rest VALUES (DEFAULT));Partitioned Table with LOB Columns Example
This statement creates a partitioned table print_media_demo with two partitions p1 and p2, and a number of LOB columns. The statement uses the sample table pm.print_media.
CREATE TABLE print_media_demo
( product_id NUMBER(6)
, ad_id NUMBER(6)
, ad_composite BLOB
, ad_sourcetext CLOB
, ad_finaltext CLOB
, ad_fltextn NCLOB
, ad_textdocs_ntab textdoc_tab
, ad_photo BLOB
, ad_graphic BFILE
, ad_header adheader_typ
) NESTED TABLE ad_textdocs_ntab STORE AS textdocs_nestedtab_demo
LOB (ad_composite, ad_photo, ad_finaltext)
STORE AS(STORAGE (INITIAL 20M))
PARTITION BY RANGE (product_id)
(PARTITION p1 VALUES LESS THAN (3000) TABLESPACE tbs_01
LOB (ad_composite, ad_photo)
STORE AS (TABLESPACE tbs_02 STORAGE (INITIAL 10M))
NESTED TABLE ad_textdocs_ntab STORE AS nt_p1 (TABLESPACE example),
PARTITION P2 VALUES LESS THAN (MAXVALUE)
LOB (ad_composite, ad_finaltext)
STORE AS SECUREFILE (TABLESPACE auto_seg_ts)
NESTED TABLE ad_textdocs_ntab STORE AS nt_p2
)
TABLESPACE tbs_03;
Partition p1 will be in tablespace tbs_01. The LOB data partitions for ad_composite and ad_photo will be in tablespace tbs_02. The LOB data partition for the remaining LOB columns will be in tablespace tbs_01. The storage attribute INITIAL is specified for LOB columns ad_composite and ad_photo. Other attributes will be inherited from the default table-level specification. The default LOB storage attributes not specified at the table level will be inherited from the tablespace tbs_02 for columns ad_composite and ad_photo and from tablespace tbs_01 for the remaining LOB columns. LOB index partitions will be in the same tablespaces as the corresponding LOB data partitions. Other storage attributes will be based on values of the corresponding attributes of the LOB data partitions and default attributes of the tablespace where the index partitions reside. The nested table partition for ad_textdocs_ntab will be stored as nt_p1 in tablespace example.
Partition p2 will be in the default tablespace tbs_03. The LOB data for ad_composite and ad_finaltext will be in tablespace auto_seg_ts as SecureFiles LOBs. The LOB data for the remaining LOB columns will be in tablespace tbs_03. The LOB index for columns ad_composite and ad_finaltext will be in tablespace auto_seg_ts. The LOB index for the remaining LOB columns will be in tablespace tbs_03. The nested table partition for ad_textdocs_ntab will be stored as nt_p2 in the default tablespace tbs_03.
Hash Partitioning Example
The sample table oe.product_information is not partitioned. However, you might want to partition such a large table by hash for performance reasons, as shown in this example. The tablespace names are hypothetical in this example.
CREATE TABLE hash_products
( product_id NUMBER(6) PRIMARY KEY
, product_name VARCHAR2(50)
, product_description VARCHAR2(2000)
, category_id NUMBER(2)
, weight_class NUMBER(1)
, warranty_period INTERVAL YEAR TO MONTH
, supplier_id NUMBER(6)
, product_status VARCHAR2(20)
, list_price NUMBER(8,2)
, min_price NUMBER(8,2)
, catalog_url VARCHAR2(50)
, CONSTRAINT product_status_lov_demo
CHECK (product_status in ('orderable'
,'planned'
,'under development'
,'obsolete')
) )
PARTITION BY HASH (product_id)
PARTITIONS 4
STORE IN (tbs_01, tbs_02, tbs_03, tbs_04); Reference Partitioning Example
The next statement uses the hash_products partitioned table created in the preceding example. It creates a variation of the oe.order_items table that is partitioned by reference to the hash partitioning on the product id of hash_products. The resulting child table will be created with five partitions. For each row of the child table part_order_items, the database evaluates the foreign key value (product_id) to determine the partition number of the parent table hash_products to which the referenced key belongs. The part_order_items row is placed in its corresponding partition.
CREATE TABLE part_order_items (
order_id NUMBER(12) PRIMARY KEY,
line_item_id NUMBER(3),
product_id NUMBER(6) NOT NULL,
unit_price NUMBER(8,2),
quantity NUMBER(8),
CONSTRAINT product_id_fk
FOREIGN KEY (product_id) REFERENCES hash_products(product_id))
PARTITION BY REFERENCE (product_id_fk);Composite-Partitioned Table Examples
The table created in the "Range Partitioning Example" divides data by time of sale. If you plan to access recent data according to distribution channel as well as time, then composite partitioning might be more appropriate. The following example creates a copy of that range_sales table but specifies range-hash composite partitioning. The partitions with the most recent data are subpartitioned with both system-generated and user-defined subpartition names. Constraints and storage attributes have been omitted from the example.
CREATE TABLE composite_sales
( prod_id NUMBER(6)
, cust_id NUMBER
, time_id DATE
, channel_id CHAR(1)
, promo_id NUMBER(6)
, quantity_sold NUMBER(3)
, amount_sold NUMBER(10,2)
)
PARTITION BY RANGE (time_id)
SUBPARTITION BY HASH (channel_id)
(PARTITION SALES_Q1_1998 VALUES LESS THAN (TO_DATE('01-APR-1998','DD-MON-YYYY')),
PARTITION SALES_Q2_1998 VALUES LESS THAN (TO_DATE('01-JUL-1998','DD-MON-YYYY')),
PARTITION SALES_Q3_1998 VALUES LESS THAN (TO_DATE('01-OCT-1998','DD-MON-YYYY')),
PARTITION SALES_Q4_1998 VALUES LESS THAN (TO_DATE('01-JAN-1999','DD-MON-YYYY')),
PARTITION SALES_Q1_1999 VALUES LESS THAN (TO_DATE('01-APR-1999','DD-MON-YYYY')),
PARTITION SALES_Q2_1999 VALUES LESS THAN (TO_DATE('01-JUL-1999','DD-MON-YYYY')),
PARTITION SALES_Q3_1999 VALUES LESS THAN (TO_DATE('01-OCT-1999','DD-MON-YYYY')),
PARTITION SALES_Q4_1999 VALUES LESS THAN (TO_DATE('01-JAN-2000','DD-MON-YYYY')),
PARTITION SALES_Q1_2000 VALUES LESS THAN (TO_DATE('01-APR-2000','DD-MON-YYYY')),
PARTITION SALES_Q2_2000 VALUES LESS THAN (TO_DATE('01-JUL-2000','DD-MON-YYYY'))
SUBPARTITIONS 8,
PARTITION SALES_Q3_2000 VALUES LESS THAN (TO_DATE('01-OCT-2000','DD-MON-YYYY'))
(SUBPARTITION ch_c,
SUBPARTITION ch_i,
SUBPARTITION ch_p,
SUBPARTITION ch_s,
SUBPARTITION ch_t),
PARTITION SALES_Q4_2000 VALUES LESS THAN (MAXVALUE)
SUBPARTITIONS 4)
;The following examples creates a partitioned table of customers based on the sample table oe.customers. In this example, the table is partitioned on the credit_limit column and list subpartitioned on the nls_territory column. The subpartition template determines the subpartitioning of any subsequently added partitions, unless you override the template by defining individual subpartitions. This composite partitioning makes it possible to query the table based on a credit limit range within a specified region:
CREATE TABLE customers_part (
customer_id NUMBER(6),
cust_first_name VARCHAR2(20),
cust_last_name VARCHAR2(20),
nls_territory VARCHAR2(30),
credit_limit NUMBER(9,2))
PARTITION BY RANGE (credit_limit)
SUBPARTITION BY LIST (nls_territory)
SUBPARTITION TEMPLATE
(SUBPARTITION east VALUES
('CHINA', 'JAPAN', 'INDIA', 'THAILAND'),
SUBPARTITION west VALUES
('AMERICA', 'GERMANY', 'ITALY', 'SWITZERLAND'),
SUBPARTITION other VALUES (DEFAULT))
(PARTITION p1 VALUES LESS THAN (1000),
PARTITION p2 VALUES LESS THAN (2500),
PARTITION p3 VALUES LESS THAN (MAXVALUE));Object Column and Table Examples
Creating Object Tables: Examples
Consider object type department_typ:
CREATE TYPE department_typ AS OBJECT
( d_name VARCHAR2(100),
d_address VARCHAR2(200) );
/
Object table departments_obj_t holds department objects of type department_typ:
CREATE TABLE departments_obj_t OF department_typ;
The following statement creates object table salesreps with a user-defined object type, salesrep_typ:
CREATE OR REPLACE TYPE salesrep_typ AS OBJECT
( repId NUMBER,
repName VARCHAR2(64));
CREATE TABLE salesreps OF salesrep_typ;Creating a Table with a User-Defined Object Identifier: Example
This example creates an object type and a corresponding object table whose object identifier is primary key based:
CREATE TYPE employees_typ AS OBJECT (e_no NUMBER, e_address CHAR(30)); / CREATE TABLE employees_obj_t OF employees_typ (e_no PRIMARY KEY) OBJECT IDENTIFIER IS PRIMARY KEY;
You can subsequently reference the employees_obj_t object table using either inline_ref_constraint or out_of_line_ref_constraint syntax:
CREATE TABLE departments_t
(d_no NUMBER,
mgr_ref REF employees_typ SCOPE IS employees_obj_t);
CREATE TABLE departments_t (
d_no NUMBER,
mgr_ref REF employees_typ
CONSTRAINT mgr_in_emp REFERENCES employees_obj_t);Specifying Constraints on Type Columns: Example
The following example shows how to define constraints on attributes of an object type column:
CREATE TYPE address_t AS OBJECT
( hno NUMBER,
street VARCHAR2(40),
city VARCHAR2(20),
zip VARCHAR2(5),
phone VARCHAR2(10) );
/
CREATE TYPE person AS OBJECT
( name VARCHAR2(40),
dateofbirth DATE,
homeaddress address_t,
manager REF person );
/
CREATE TABLE persons OF person
( homeaddress NOT NULL,
UNIQUE (homeaddress.phone),
CHECK (homeaddress.zip IS NOT NULL),
CHECK (homeaddress.city <> 'San Francisco') );Add Annotations at Table Creation: Example
The following example adds two operations with values Sort and Group, and a standalone Hidden without a value, to table table t1.
CREATE TABLE t1 (T NUMBER) ANNOTATIONS(Operations 'Sort', Operations 'Group', Hidden);
The annotation can be preceded by the keyword ADD which is the default operation if nothing is specified as the following example shows:
CREATE TABLE t1 (T NUMBER) ANNOTATIONS (ADD Hidden);
Add Annotations to Table Columns
CREATE TABLE t1 (T NUMBER ANNOTATIONS(Operations 'Sort' , Hidden) );
Add Annotations to Table and Columns
CREATE TABLE Employee ( Id NUMBER(5) ANNOTATIONS(Identity, Display ’Employee ID’, Group ’Emp_Info’), Ename VARCHAR2(50) ANNOTATIONS(Display ’Employee Name’, Group ’Emp_Info’), Sal NUMBER TAG ANNOTATIONS(Display ’Employee Salary’, UI_Hidden) ) ANNOTATIONS (Display ’Employee Table’);
Associating Table Columns to Domains Using CREATE TABLE: Example
You can associate table columns with a domain with CREATE TABLE or with ALTER TABLE MODIFY.
You must specify domain associations at the end of the statement, after all columns have been defined.
The DOMAIN keyword, when specified, must be followed by the domain name.
Associate Table Columns With a Domain: Example
The following example creates domain dn1:
CREATE DOMAIN dn1 AS NUMBER;
The following example creates domain dn2:
CREATE DOMAIN dn2 AS (c1 AS NUMBER NOT NULL, c2 as NUMBER DEFAULT 1);
The following example creates domain dm1:
CREATE DOMAIN dm1 AS (ann AS NUMBER NOT NULL , bnnpos AS NUMBER NOT NULL CONSTRAINT CHECK (bnnpos > 0), c AS VARCHAR2(10) DEFAULT 'abc', ddon AS NUMBER DEFAULT ON NULL 10) CONSTRAINT CHECK (ann+ddon < = 100) CONSTRAINT CHECK (length(c) > bnnpos);
The following example associates columns c1, c2, c3 , c4 with domain dm1, columns c5 and c6 with domain dn2, and column c7 with dn1.
CREATE TABLE tm1 (c1 NUMBER, c2 NUMBER, c3 VARCHAR2(15),c4 NUMBER, c5 NUMBER,
c6 NUMBER, c7 NUMBER, DOMAIN dm1 (c1, c2, c3, c4),
DOMAIN dn2(c5, c6), DOMAIN dn1(c7));
Create Tables and Columns as Transportable Binary XML
Create Tables Stored as Transportable Binary XML
CREATE TABLE t1 OF XMLTYPE XMLTYPE STORE AS TRANSPORTABLE BINARY XML;
Create Columns Stored as Transportable Binary XML
CREATE TABLE t2 (id NUMBER, doc XMLTYPE) XMLTYPE doc STORE AS TRANSPORTABLE BINARY XML;
Add Columns Stored as Transportable Binary XML to Tables
ALTER TABLE t3 ADD (doc XMLTYPE) XMLTYPE doc STORE AS TRANSPORTABLE BINARY XML;















































































































































